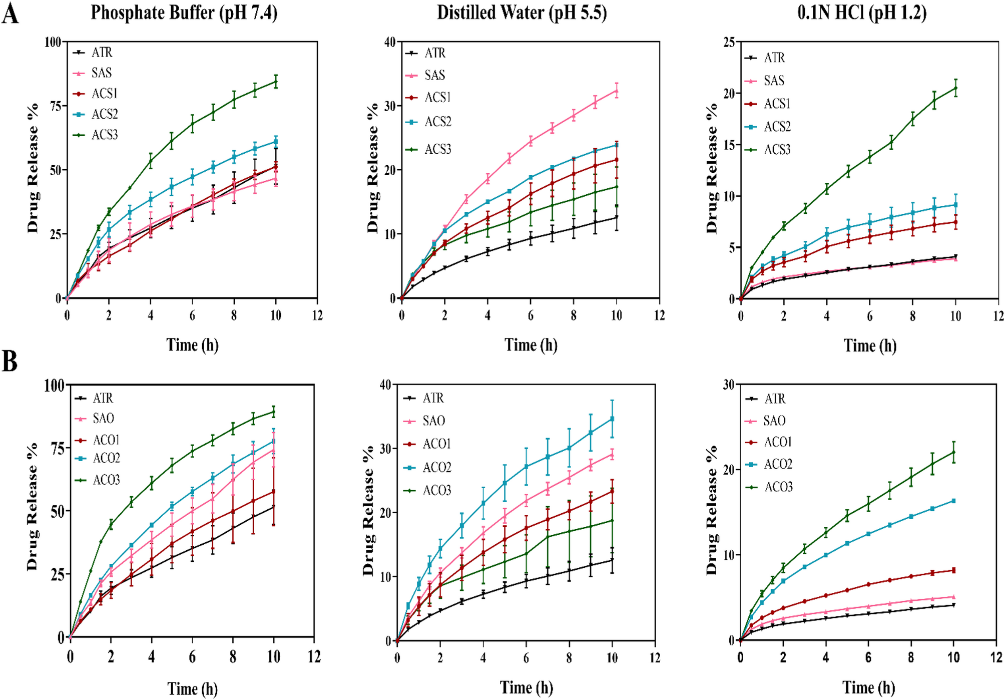
Fig. 3

In vitro drug release of spray-dried ATR-Chitosan nanoparticles compared to pure drug in phosphate buffer (pH 7.4), distilled water (pH 5.5), and 0.1 N HCl (pH 1.2) prepared using 0.7 mm nozzle size (A) and 1 mm nozzle size (B).

In vitro drug release of spray-dried ATR-Chitosan nanoparticles compared to pure drug in phosphate buffer (pH 7.4), distilled water (pH 5.5), and 0.1 N HCl (pH 1.2) prepared using 0.7 mm nozzle size (A) and 1 mm nozzle size (B).