Fig. 2
From: STICformer: spatio-temporal intrinsic connections transformer for traffic flow prediction

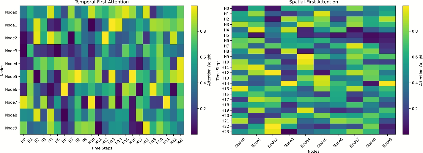
Temporal-First and Spatial-First Attention Heatmaps for selected PEMS08 nodes and time steps. Left: temporal-first module (rows: nodes, columns: time steps). Right: spatial-first module (rows: time steps, columns: nodes). Darker colors indicate higher attention weights. The visualizations reveal temporal synchronization among nodes and spatial coupling patterns, demonstrating the model’s ability to capture meaningful spatio-temporal dependencies.