Fig. 3
From: A federated transformer-enhanced double Q-network for collaborative intrusion detection

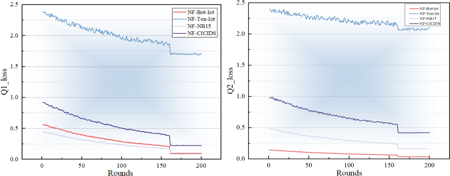
Changes in q1_loss and q2_loss on four clients during the 200 rounds of training.
From: A federated transformer-enhanced double Q-network for collaborative intrusion detection

Changes in q1_loss and q2_loss on four clients during the 200 rounds of training.