Abstract
To systematically quantify the morphological characteristics of normal meniscus in children and establish age-specific reference data to support accurate diagnosis and surgical decision-making for pediatric meniscal disorders. This retrospective study analyzed knee images of 877 children who underwent 3.0T plain magnetic resonance imaging (MRI) scans. The researchers categorized participants into four age groups: Group A (≤ 5 years), Group B (5 < age ≤ 10 years), Group C (10 < age ≤ 15 years), and Group D (15 < age ≤ 18 years) and randomly selected fifty children from each group for detailed morphological analysis. Measurements on coronal images included the width and thickness of the meniscal body, the width and height of the tibial intercondylar ridge, and the width of the tibial plateau. Measurements on sagittal images assessed the width and thickness of the anterior and posterior meniscal horns, along with the sagittal diameter of the meniscus. Morphological parameters across the four age groups were compared to evaluate developmental trends. This study collected and analyzed the morphological parameters of the normal meniscus in children across four age groups, including measurements of the anterior horn, body, and posterior horn, as well as the tibial plateau and tibial intercondylar ridge. The results showed that, except for the lateral meniscal anterior horn thickness (P = 0.223), nearly all measurements in Group B were significantly greater than those in Group A (P < 0.05). Similarly, most parameters in Group C were higher than those in Group B, except tibial intercondylar ridge width, which showed no significant difference (P = 0.988). When comparing Group C and Group D, most measurements showed no significant difference (P > 0.05); however, specific parameters were unexpectedly greater in Group C than in Group D, including the lateral meniscal anterior horn width, medial meniscal anterior horn width, medial meniscal body width, and medial meniscal posterior horn width (P < 0.05).In children aged 0 to 15 years, the meniscus demonstrates a progressive increase in size, reflecting normal growth and development. However, after age 15, this growth plateaus, and certain regions of the meniscus exhibit a slight reduction in size.
Similar content being viewed by others
Introduction
With the development of sports medicine, the vital role of the meniscus in the knee joint has become increasingly clear. The meniscus is essential in lubricating joints, transmitting loads, and cushioning shocks1,2,3. A normal meniscus is a prerequisite for coordinated and stable activities of the knee joint. Understanding the normal morphology of the knee meniscus is fundamental to diagnosing and treating meniscal diseases. For instance, accurate meniscal width and thickness assessment is essential for diagnosing discoid meniscus and planning procedures such as partial meniscectomy. In cases of severe meniscal injury, allograft transplantation is often required, and the graft must closely replicate the recipient’s native meniscal anatomy4. A mismatch in graft size—whether too large or too small—may result in suboptimal load distribution, joint instability, or early graft failure5. Therefore, detailed morphological knowledge of the meniscus is a prerequisite for both surgical precision and long-term therapeutic success.
While some studies have investigated meniscal morphology in adults, pediatric data remain scarce. Yet, with the rising participation of children in sports and an increasing incidence of sports-related injuries, this knowledge gap has become clinically significant6. Notably, conditions such as discoid meniscus—a common congenital malformation in children—require age-specific diagnostic benchmarks and tailored treatment strategies7. However, the current diagnostic criteria for discoid meniscus are primarily based on adult data and may not be directly applicable to skeletally immature patients.
Children are not simply small adults8,9. Their musculoskeletal system is dynamically developing, and the morphology of key joint structures evolves with age. Understanding these developmental trajectories is critical for refining diagnostic thresholds and enabling precision surgical planning in pediatric patients. For example, customized surgical approaches to meniscus repair or resection demand normative references across different age groups. Moreover, as guideline development in pediatric orthopedics increasingly calls for evidence-based parameters, comprehensive data on normal meniscal growth patterns are urgently needed.
In this context, the tibial plateau and tibial intercondylar ridge—integral to meniscal attachment and knee joint biomechanics—also warrant careful evaluation. The tibial plateau determines meniscal coverage, a factor implicated in osteoarthritis progression10. Meanwhile, the intercondylar ridge serves as a critical landmark for both meniscal roots and the anterior cruciate ligament11. Together, these structures provide a more complete anatomical framework for assessing meniscal health and guiding intervention.
Magnetic resonance imaging (MRI) offers high-resolution visualization of the meniscus, articular cartilage, and surrounding soft tissues, making it the preferred modality for assessing knee joint structures, particularly in the pediatric population where radiation-free imaging is crucial. This study systematically measured the morphological data of the normal meniscus in a large cohort of children and adolescents of different ages. The key parameters include the width and thickness of the anterior horn, body, and posterior horn, along with relevant skeletal landmarks including the tibial plateau and tibial intercondylar ridge.
The primary objective of this study was to quantitatively describe age-related morphological changes of the normal meniscus in children and adolescents using MRI and to establish normative reference values across different stages of development. The secondary objective was to comprehensively evaluate morphological differences of the meniscus between sexes and between the medial and lateral compartments, and to investigate the developmental patterns of key osseous structures of the knee. These data aimed to provide an evidence-based anatomical foundation to support accurate diagnosis and long-term management of pediatric meniscal disorders.
Methods
Subjects and sampling
The ethics committee of Shenzhen Children’s Hospital approved this study (NO.202009102). This was a retrospective, single-center study conducted at a tertiary pediatric hospital. From January 1, 2018, to December 31, 2022, the researchers collected data from 877 children who underwent 3.0T knee MRI in this tertiary children’s hospital. The study categorized participants into four age groups, as follows: Group A, age ≤ 5 years; Group B, 5 < age ≤ 10 years; Group C, 10 < age ≤ 15 years; Group D, 15 < age ≤ 18 years. The researchers randomly selected fifty children from each age group using a computer-generated simple random sampling method, resulting in a total of 200 participants (400 menisci: 200 medial and 200 lateral) (Fig. 1).
Flowchart of Participant Enrollment.
The study included participants who were under 18 years of age and whose MRI scans met quality standards, without significant motion artifacts or other technical issues that could obscure meniscal margins or compromise the accuracy of morphological measurements. Minor motion artifacts that did not affect visualization or measurement were acceptable. The exclusion criteria were as follows: individuals with a history of knee surgery were excluded, as were those with systemic diseases that could affect the structure or function of the knee joint, such as rheumatoid arthritis or ankylosing spondylitis. Participants were also excluded if MRI examinations revealed knee lesions (e.g., osteochondroma, non-ossifying fibroma), fractures, or evident deformities. In addition, cases with knee infections, meniscal tears or displacements resulting in morphological abnormalities, and those with a discoid meniscus were excluded from the study.
Magnetic resonance examination method
MRI examinations were performed on a MAGNETOM Skyra 3 T system (Siemens Healthineers, Germany) using a dedicated knee Tx/Rx phased-array coil to optimize signal-to-noise ratio and spatial resolution. Participants were positioned supine with the knees in a neutral alignment and slightly flexed (10°–15°) to reduce joint space overlap and improve structural visualization. The imaging volume extended from the distal femur to the proximal tibia, ensuring complete coverage of the menisci, tibial plateau, femoral condyles, and surrounding soft tissues. Image acquisition included routine coronal and sagittal sequences, encompassing T1-weighted imaging (T1WI), T2-weighted imaging (T2WI), and fat-suppressed sequences, with a slice thickness of 3–4 mm. These sequences provided high contrast for clear delineation of the menisci and adjacent soft tissue structures. For younger children unable to cooperate, mild sedation was administered prior to scanning using 10% chloral hydrate (0.5 mL/kg) via enema12, and imaging was performed once the child was asleep.
Measurement methods
On the coronal images of the T2WI sequence, the measurements were as follows: the lateral meniscal body thickness (LMBT), the lateral meniscal body width (LMBW), the medial meniscal body thickness (MMBT), the medial meniscal body width (MMBW), the tibial plateau width (TPW), the lateral tibial plateau width (LTPW), the medial tibial plateau width (MTPW), the tibial intercondylar ridge width (TIRW), and the tibial intercondylar ridge height (TIRH) (Fig. 2). On the sagittal images of the T2WI sequence, the measurements were as follows: the lateral meniscal anterior horn thickness (LMAT), the lateral meniscal anterior horn width (LMAW), the lateral meniscal posterior horn thickness (LMPT), the lateral meniscal posterior horn width (LMPW), the lateral meniscal sagittal diameter (LMSD), the medial meniscal anterior horn thickness (MMAT), the medial meniscal anterior horn width (MMAW), the medial meniscal posterior horn thickness (MMPT), the medial meniscal posterior horn width (MMPW), and the medial meniscal sagittal diameter (MMSD) (Figs. 3 and 4). Although the study performed measurements on T2WI, the researchers reviewed T1WI and fat-suppressed sequences to confirm meniscal boundaries and to exclude abnormalities.
Measurements in the coronal position of MRI.
Measurements of the lateral meniscus in sagittal position of MRI.
Measurements of the medial meniscus in sagittal position of MRI.
Statistical method
All the data were analyzed using SPSS 22.0 statistical software, counting data were represented by frequency, and the quantitative data were presented as the mean ± standard deviation (M ± SD). Counting data were compared by Chi-square test. The comparison between two groups was performed by independent samples t-test for normally distributed data and Mann-Whitney U test for non-normally distributed data. Multiple group comparisons were assessed through one-way analysis of variance (ANOVA) followed by post-hoc Tukey’s HSD test. P < 0.05 is statistically significant.
Result
Demographic characteristics
The study included a total of 200 participants (104 males and 96 females, 94 left and 106 right). There was no significant difference in sex and side among the groups (P = 0.15, P = 0.87) (Table 1).
Morphological data of the medial and lateral meniscus
The researchers divided the meniscus into three regions: anterior horn, body, and posterior horn, and compared the thickness and width of these three regions in each age groups.
The results for the lateral meniscus were as follows. In terms of thickness, the meniscal body was the thickest region across all age groups, followed by the posterior horn, whereas the anterior horn was consistently the thinnest. Regarding width, the body was wider than both the anterior and posterior horns in Groups A and B. In Group C, the posterior horn was narrower than both the anterior horn and the body. In Group D, the anterior horn was narrower than both the body and posterior horn (Table 2, Supplementary Table 1).
The results of the medial meniscus were as follows. In terms of thickness, the anterior horn was thicker than both the body and posterior horn in Group A, whereas in Groups B, C, and D, the body was thicker than both the anterior and posterior horns. Regarding width, the anterior horn was narrower than both the body and posterior horn in all groups (Table 3, Supplementary Table 1).
The results for comparison between age groups
This study compared the four age groups pairwise, the results included A versus B, B versus C, and C versus D.
A versus B
The results showed that, except for the lateral meniscal anterior horn thickness, all other measurements in Group A were smaller than those in Group B (P < 0.0001). The lateral meniscal anterior horn thickness was 3.58 ± 0.43 mm in Group A and 3.79 ± 0.56 mm in Group B, with no statistically significant difference (P = 0.0693) (Table 2 and Supplementary Table 2).
B versus C
The results showed that, except for the tibial intercondylar ridge width, all other measurements in Group B were significantly smaller than those in Group C (P < 0.0001). The tibial intercondylar ridge width was 23.86 ± 2.25 mm in Group B and 23.95 ± 1.92 mm in Group C, with no significant difference (P = 0.9877) (Table 4 and Supplementary Table 2).
C versus D
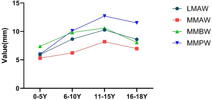
The comparison between Group C and D was the most meaningful result in the between-group analysis. The results showed that some measurements of Group C were greater than those of Group D, including LMAW, MMAW, MMBW, and MMPW (Tables 2 and 3, Supplementary Tables 2 and Fig. 5). Most parameters showed no significant differences between the two groups (Table 2‑4, Supplementary Tables 2 and Fig. 6). Finally, the comparison results of TPW, LTPW, and TIRW between the two groups showed that Group C was smaller than Group D (Table 4, Supplementary Table 2).
The meniscus-related indicators listed in the figure become smaller after the age of 15.
The meniscus-related indicators listed in the figure no longer increase after the age of 15 and enter a plateau period.
The comparison of medial and lateral meniscus
This study compared the medial and lateral menisci in each age group. In the anterior horn measurements, the lateral meniscal anterior horn thickness was smaller than the medial meniscal anterior horn thickness of each group. However, the width of the lateral meniscal anterior horn was greater than that of the medial meniscal anterior horn (Tables 2 and 3, Supplementary Table 3).
In the body measurements, the lateral meniscal body thickness was greater than the medial meniscal body thickness of each group. And the lateral meniscal body width was greater than the medial meniscal body width in Group A and D (Tables 2 and 3, Supplementary Table 3).
In the posterior horn measurements, the lateral meniscal posterior horn thickness was greater than the medial meniscal posterior horn thickness in each group. And the lateral meniscal posterior horn width in Groups B, C and D was smaller than the medial meniscal posterior horn width (Tables 2 and 3, Supplementary Table 3).
The lateral meniscal sagittal diameter in all four groups was smaller than the medial meniscal sagittal diameter (Tables 2 and 3, Supplementary Table 3).
The comparison of male and female
This study compared male and female measurements within each age group. Several isolated and age-specific differences between males and females reached statistical significance; however, the overall analysis did not reveal consistent or systematic sex-based differences in meniscal morphology across the four age groups. These isolated and age-specific differences were as follows: in Group A, males had a greater tibial intercondylar ridge height than females (males: 6.99 ± 0.50 mm vs. females: 6.69 ± 0.48 mm, P = 0.040). In Group B, the medial meniscal body width was significantly larger in males than in females (males: 10.11 ± 1.14 mm vs. females: 9.34 ± 1.06 mm, P = 0.020). In Group C, males had a greater medial meniscal posterior horn width than females (males: 13.20 ± 1.27 mm vs. females: 12.27 ± 1.39 mm, P = 0.029). In Group D, the medial tibial plateau width in males was significantly greater than in females (males: 23.70 ± 1.91 mm vs. females: 22.54 ± 1.90 mm, P = 0.038) (Supplementary Table 4).
Discussion
A precise understanding of normal meniscal morphology during growth is fundamental for two key goals in pediatric orthopedics: optimizing individualized surgical planning and establishing age-appropriate diagnostic criteria. However, current diagnostic standards and surgical references are largely derived from adult data13,14, which may not be applicable to skeletally immature patients. Age-specific anatomical data are therefore essential to guide both clinical decision-making and the development of pediatric meniscal disease management guidelines.
In this study, MRI was used to measure the meniscus, tibial plateau, and intercondylar ridge in children across different age groups. By analyzing these structures across age groups, the researchers obtained data on the normal meniscus and identified age-specific morphological changes, including a notable plateau or even decrease in certain meniscal dimensions after age 15. The analysis also revealed distinct anatomical differences between the medial and lateral menisci, and confirmed that meniscal morphology does not significantly differ between sexes. These findings provided a foundational dataset for the clinical diagnosis, surgical planning, and long-term management of pediatric meniscal disorders. This was the first large-scale MRI-based study to comprehensively characterize the normal developmental anatomy of the knee meniscus in children.
Morphological data of the medial and lateral meniscus
A detailed understanding of normal meniscal morphology is critical for designing precise meniscus transplants and artificial implants. Animal studies have demonstrated that anatomically matched meniscal grafts, particularly those created using 3D printing technology, can effectively slow or prevent the progression of osteoarthritis15,16. Similarly, well-matched, high-strength, hydrogel-based artificial menisci have shown promising biomechanical performance in both cadaveric and animal models17. To replicate native function, such substitutes must not only mimic the microscopic structure of the meniscus but also closely approximate its overall shape and contour. The morphological data in this study provided an essential anatomical reference for pediatric tissue engineering and meniscal reconstruction.
The data from this study also have implications for the diagnosis and surgical treatment of discoid menisci in children. In adults, a meniscal width > 15 mm on coronal MRI or the presence of a “bowtie” sign on three consecutive 5 mm thick sagittal slices is diagnostic of discoid meniscus18,19. However, current diagnostic criteria for discoid meniscus—based on adult anatomy—may not apply to skeletally immature individuals, whose menisci are smaller. Thus, age-specific normative data are essential to establish pediatric-specific diagnostic standards. Furthermore, understanding normal meniscal width at different developmental stages can guide surgeons in determining the appropriate resection margin during partial meniscectomy, helping preserve joint function while treating pathological tissue20,21.
The comparison between age groups
The findings revealed a distinct developmental trajectory of the meniscus from childhood to adolescence. Between ages 0 and 15, both the width and thickness of the meniscus increased progressively, reflecting the growth and mechanical adaptation of the knee joint during skeletal development. Rohde et al.22 measured five horizontal levels in 78 skeletally immature knee cadaver specimens under 12 years of age and found that all radial width measurements increased significantly with specimen age. Their findings are consistent with the MRI-based observations of this study, suggesting that meniscal morphology undergoes continuous developmental changes throughout childhood and adolescence. Compared with the cadaveric study, the MRI analysis of the study provided noninvasive, quantitative evidence from a larger sample, thereby further enhancing the understanding of normal meniscal development in children.
Ferreira Araujo et al.23 highlighted the crucial role of MRI in assessing pediatric meniscal morphology, anatomical variants, and pathological changes, emphasizing its value in differentiating normal developmental features from disease-related alterations. Their findings underscore the importance of MRI as a noninvasive tool for comprehensive evaluation of the pediatric meniscus. In this context, this study extended previous qualitative observations by providing age- and compartment-specific quantitative MRI data, offering normative references that can aid in distinguishing physiological development from pathology.
However, intriguingly, after age 15, the meniscus growth plateaued, and in some subregions, the researchers even observed a subtle decline in meniscal size. This observation was both novel and biologically significant. Although similar findings have not been reported in the literature, recent advances in meniscal biology may offer some clues. Using single-cell RNA sequencing, Sun et al.24,25 identified a population of CD146⁺ progenitor-like cells in the mature meniscus. Further work from the same group uncovered a subpopulation of smooth muscle-like cells as precursors of meniscus progenitor cells26. These discoveries suggest that meniscal growth and remodeling are driven by specific, perhaps transient, cellular subtypes. It is speculated that these cellular subtypes may become depleted or downregulated after adolescence. The reduction in meniscal size observed in adolescents in this study may therefore reflect a natural shift from tissue growth to homeostasis. This phenomenon could be influenced by hormonal changes, reduced progenitor cell activity, or alterations in joint loading patterns that accompany the completion of skeletal maturation.
Future studies integrating imaging, biomechanical data, and genetic analysis across age groups are needed to elucidate the molecular mechanisms underlying this morphological shift. Such insights could open new avenues for age-targeted therapies.
The comparison of medial and lateral meniscus
The results indicated that the morphology of the lateral meniscus differed significantly from that of the medial meniscus. Specifically, the medial meniscus anterior horn was thicker and its sagittal diameter was larger. The lateral meniscus body and posterior horn were thicker, and the anterior horn was wider. These results were consistent with the findings of Shen X et al.27.
From a developmental perspective, these differences may arise from differences in mechanical loading of the medial and lateral regions of the knee as children grow and change with increasing levels of physical activity28. Understanding these regional differences in meniscal morphology is critical in developing strategies for meniscal repair or reconstruction. For example, preserving the thicker medial anterior horn helps maintain hoop stress, while the wider anterior horn and thicker body of the lateral meniscus provide guidance for reconstructing the posterior horn to restore its native biomechanical function.
The comparison of male and female
The results showed that there were no statistically significant differences in meniscal morphology between males and females in any measured parameters. This suggests that the developmental trajectory of the meniscus is largely independent of sex during the growth period before full skeletal maturity. The study by Shen et al.27 has shown that sex differences exist in the size and shape of the meniscus in adults, which are thought to be influenced by factors such as height and weight. In contrast, there were no significant sex differences in the pediatric cohort of this study, which may be due to the relatively small physical differences between the sexes during childhood.
This finding has clinical significance for establishing a normative reference for meniscal morphology in children. In imaging-based diagnosis and surgical planning, especially in cases such as discoid meniscus or meniscal transplantation, the data suggest that sex-specific morphological adjustments may not be necessary in prepubertal children.
Limitation
This study was a single-center retrospective study, which may limit the generalizability of the findings to other populations or regions. Future multi-center, large-sample prospective studies would help validate and further extend the results. In addition, height, weight, and activity-level data were not collected, which could influence meniscal size and morphology. Incorporating these clinical and physiological variables in future research would allow a more comprehensive analysis of pediatric meniscal development. Despite these limitations, this study provided the first comprehensive MRI-based reference for normal pediatric meniscal morphology across different age groups.
Conclusion
This study provides the first comprehensive set of normative MRI-based morphological data for the pediatric meniscus, tibial plateau, and tibial intercondylar ridge. From birth to age 15, the meniscus progressively increases in width and thickness, reflecting its ongoing development. However, after age 15, this growth plateaus, and in some regions, dimensions even decrease, suggesting potential structural remodeling during late adolescence. In contrast, skeletal landmarks such as the tibial plateau and intercondylar ridge continue to enlarge with age.
Comparative analysis reveals distinct anatomical differences between the medial and lateral meniscus: the medial anterior horn is thicker and has a longer sagittal diameter, whereas the lateral body and posterior horn are thicker, and the anterior horn is wider. No significant sex-based differences are observed in any measured parameters.
These findings provide clinicians with age-specific reference values critical for diagnosing pediatric meniscal disorders, guiding surgical interventions, and informing future research on meniscal development and biomechanics.
Data availability
The data sets used and analyzed during the current study are available from the corresponding author on reasonable request.
Abbreviations
- LMBT:
-
Lateral meniscal body thickness
- LMBW:
-
Lateral meniscal body width
- MMBT:
-
Medial meniscal body thickness
- MMBW:
-
Medial meniscal body width
- LMAT:
-
Lateral meniscal anterior horn thickness
- LMAW:
-
Lateral meniscal anterior horn width
- LMPT:
-
Lateral meniscal posterior horn thickness
- LMPW:
-
Lateral meniscal posterior horn width
- LMSD:
-
Lateral meniscal sagittal diameter
- MMAT:
-
Medial meniscal anterior horn thickness
- MMAW:
-
Medial meniscal anterior horn width
- MMPT:
-
Medial meniscal posterior horn thickness
- MMPW:
-
Medial meniscal posterior horn width
- MMSD:
-
Medial meniscal sagittal diameter
- TPW:
-
Tibial plateau width
- MTPW:
-
Medial tibial plateau width
- LTPW:
-
Lateral tibial plateau width
- TIRW:
-
Tibial intercondylar ridge width
- TIRH:
-
Tibial intercondylar ridge height
References
Baro, V. J. et al. Functional characterization of normal and degraded bovine meniscus: rate-dependent indentation and friction studies. Bone 51, 232–240 (2012).
Hunter, D. Degeneration of the meniscus and progression of osteoarthritis. HSS J. 8, 13–14 (2012).
Mandal, B. B., Park, S. H., Gil, E. S. & Kaplan, D. L. Stem cell-based meniscus tissue engineering. Tissue Eng. Part. A. 17, 2749–2761 (2011).
Yoon, J. R. et al. Importance of independent measurement of width and length of lateral meniscus during preoperative sizing for meniscal allograft transplantation. Am. J. Sports Med. 39, 1541–1547 (2011).
Hutchinson, I. D., Moran, C. J., Potter, H. G., Warren, R. F. & Rodeo, S. A. Restoration of the meniscus: form and function. Am. J. Sports Med. 42, 987–998 (2014).
Schneuer, F. J. et al. The burden of hospitalized sports-related injuries in children: an Australian population-based study, 2005–2013. Inj Epidemiol. 5, 45 (2018).
Sun, Y. & Jiang, Q. Review of discoid meniscus. Orthop. Surg. 3, 219–223 (2011).
Moore, P. Children are not small adults. Lancet 352, 630 (1998).
Larcher, V. Children are not small adults: significance of biological and cognitive development in medical practice. In Handbook of the Philosophy of Medicine (eds Schramme, T. & Edwards, S.) 1–23 (Springer Netherlands, 2015). https://doi.org/10.1007/978-94-017-8706-2_16-1.
Roth, M. et al. Changes in medial meniscal Three-Dimensional position and morphology as predictors of knee replacement in rapidly progressing knee osteoarthritis: data from the osteoarthritis initiative. Arthritis Care Res. (Hoboken). 73, 1031–1037 (2021).
Yonetani, Y. et al. Tibial insertion of the anterior cruciate ligament and anterior Horn of the lateral meniscus share the lateral slope of the medial intercondylar ridge: A computed tomography study in a young, healthy population. Knee 26, 612–618 (2019).
Jung, S. M. Drug selection for sedation and general anesthesia in children undergoing ambulatory magnetic resonance imaging. Yeungnam Univ. J. Med. 37, 159–168 (2020).
Atay, Ö. A., Doral, M. N., Leblebicioğlu, G., Tetik, O. & Aydıngöz, Ü. Management of discoid lateral meniscus tears: observations in 34 knees. Arthroscopy: J. Arthroscopic Relat. Surg. 19, 346–352 (2003).
Saavedra, M., Sepúlveda, M., Tuca, M. J. & Birrer, E. Discoid meniscus: current concepts. EFORT open. Reviews. 5, 371–379 (2020).
Lee, C. H. et al. Protein-releasing polymeric scaffolds induce fibrochondrocytic differentiation of endogenous cells for knee meniscus regeneration in sheep. Sci. Transl Med. 6, 266ra171 (2014).
Zhang, Z. Z. et al. 3D-Printed Poly(ε-caprolactone) scaffold augmented with mesenchymal stem cells for total meniscal substitution: A 12- and 24-Week animal study in a rabbit model. Am. J. Sports Med. 45, 1497–1511 (2017).
Gulotta, L. V. et al. What’s new in orthopaedic research. J. Bone Joint Surg. Am. 93, 2136–2141 (2011).
Araki, Y. et al. MR imaging of meniscal tears with discoid lateral meniscus. Eur. J. Radiol. 27, 153–160 (1998).
Silverman, J. M., Mink, J. H. & Deutsch, A. L. Discoid menisci of the knee: MR imaging appearance. Radiology 173, 351–354 (1989).
Shen, X. et al. Effect of residual volume after surgery of the discoid lateral meniscus on tibiofemoral joint biomechanics: a finite element analysis. J. Orthop. Surg. Res. 19, 43 (2024).
Yokoe, T., Ouchi, K., Matsumoto, T., Tajima, T. & Chosa, E. Effect of the volume of resected discoid lateral meniscus on the contact stress of the tibiofemoral joint: A finite element analysis. Knee 42, 57–63 (2023).
Rohde, M. S. et al. Pediatric meniscus morphology varies with age: a cadaveric study. Knee Surg. Sports Traumatol. Arthrosc. 31, 4179–4186 (2023).
Araújo, F. F. et al. Pediatric menisci: normal aspects, anatomical variants, lesions, tears, and postsurgical findings. Insights Imaging. 15, 295 (2024).
Sun, H. et al. Single-cell RNA-seq analysis identifies meniscus progenitors and reveals the progression of meniscus degeneration. Ann. Rheum. Dis. 79, 408–417 (2020).
Sun, H. et al. Single-cell RNA sequencing reveals the cell types heterogenicity of human discoid lateral meniscus cells. J. Cell. Physiol. 237, 2469–2477 (2022).
Sun, H. et al. Silencing of NOTCH3 signaling in meniscus smooth muscle cells inhibits fibrosis and exacerbates degeneration in a HEYL-Dependent manner. Adv. Sci. (Weinh). 10, e2207020 (2023).
Shen, X., Zuo, J., Li, Z., Xiao, J. & Liu, T. Morphological analysis of normal meniscus on magnetic resonance imaging (MRI)-Based Three-Dimensional reconstruction models in healthy Chinese adults. Med. Sci. Monit. 26, e927101 (2020).
Koo, S. & Andriacchi, T. P. A comparison of the influence of global functional loads vs. local contact anatomy on articular cartilage thickness at the knee. J. Biomech. 40, 2961–2966 (2007).
Acknowledgements
Thanks to radiologists Longping Liu and Weibin Zeng for their support in this study. And we would like to express gratitude to all the patients and their families.
Funding
This study was supported by Guangdong High-level Hospital Construction Fund, Sanming Project of Medicine in Shenzhen (SZSM202011012) and Shenzhen Fund for Guangdong Provincial High-level Clinical Key specialties (No. SZXK035).
Author information
Authors and Affiliations
Contributions
TZ, CD, YZ and HD wrote the manuscript. ZW and QY guided the statistical analysis. XZ, YS, JT, and XQ collected the clinical data. CD, GC and CY designed the research protocol and revised the manuscript.
Corresponding authors
Ethics declarations
Competing interests
The authors declare no competing interests.
Ethics approval and consent to participate
All the following procedures were approved by the Medical Ethics Committee of Shenzhen Children’s Hospital (NO.202009102). Informed consent was waived because of the register design of this study, which did not involve any additional risk for patients. The need for written informed consent was waived by this tertiary children’s hospital ethics committee due to retrospective nature of the study. All the methods included in this study are in accordance with the declaration of Helsinki.
Additional information
Publisher’s note
Springer Nature remains neutral with regard to jurisdictional claims in published maps and institutional affiliations.
Supplementary Information
Below is the link to the electronic supplementary material.
Rights and permissions
Open Access This article is licensed under a Creative Commons Attribution-NonCommercial-NoDerivatives 4.0 International License, which permits any non-commercial use, sharing, distribution and reproduction in any medium or format, as long as you give appropriate credit to the original author(s) and the source, provide a link to the Creative Commons licence, and indicate if you modified the licensed material. You do not have permission under this licence to share adapted material derived from this article or parts of it. The images or other third party material in this article are included in the article’s Creative Commons licence, unless indicated otherwise in a credit line to the material. If material is not included in the article’s Creative Commons licence and your intended use is not permitted by statutory regulation or exceeds the permitted use, you will need to obtain permission directly from the copyright holder. To view a copy of this licence, visit http://creativecommons.org/licenses/by-nc-nd/4.0/.
About this article
Cite this article
Zhu, T., Deng, C., Zhou, Y. et al. Age dependent morphological changes of the normal meniscus in children based on large scale MRI analysis. Sci Rep 16, 2157 (2026). https://doi.org/10.1038/s41598-025-31823-3
Received:
Accepted:
Published:
Version of record:
DOI: https://doi.org/10.1038/s41598-025-31823-3








