Fig. 10

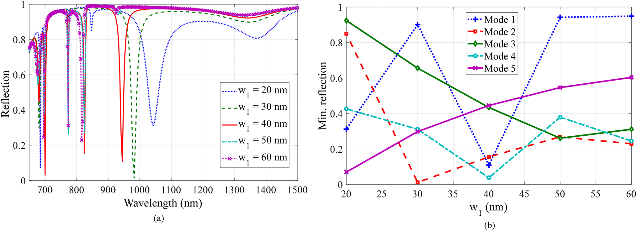
(a) The effect of the inner SER width (w₁) on the reflection spectrum, with w₁ varying from 20 nm to 60 nm. (b) Relationship between the reflection value of the resonance wavelength and different values of w₁.

(a) The effect of the inner SER width (w₁) on the reflection spectrum, with w₁ varying from 20 nm to 60 nm. (b) Relationship between the reflection value of the resonance wavelength and different values of w₁.