Fig. 13

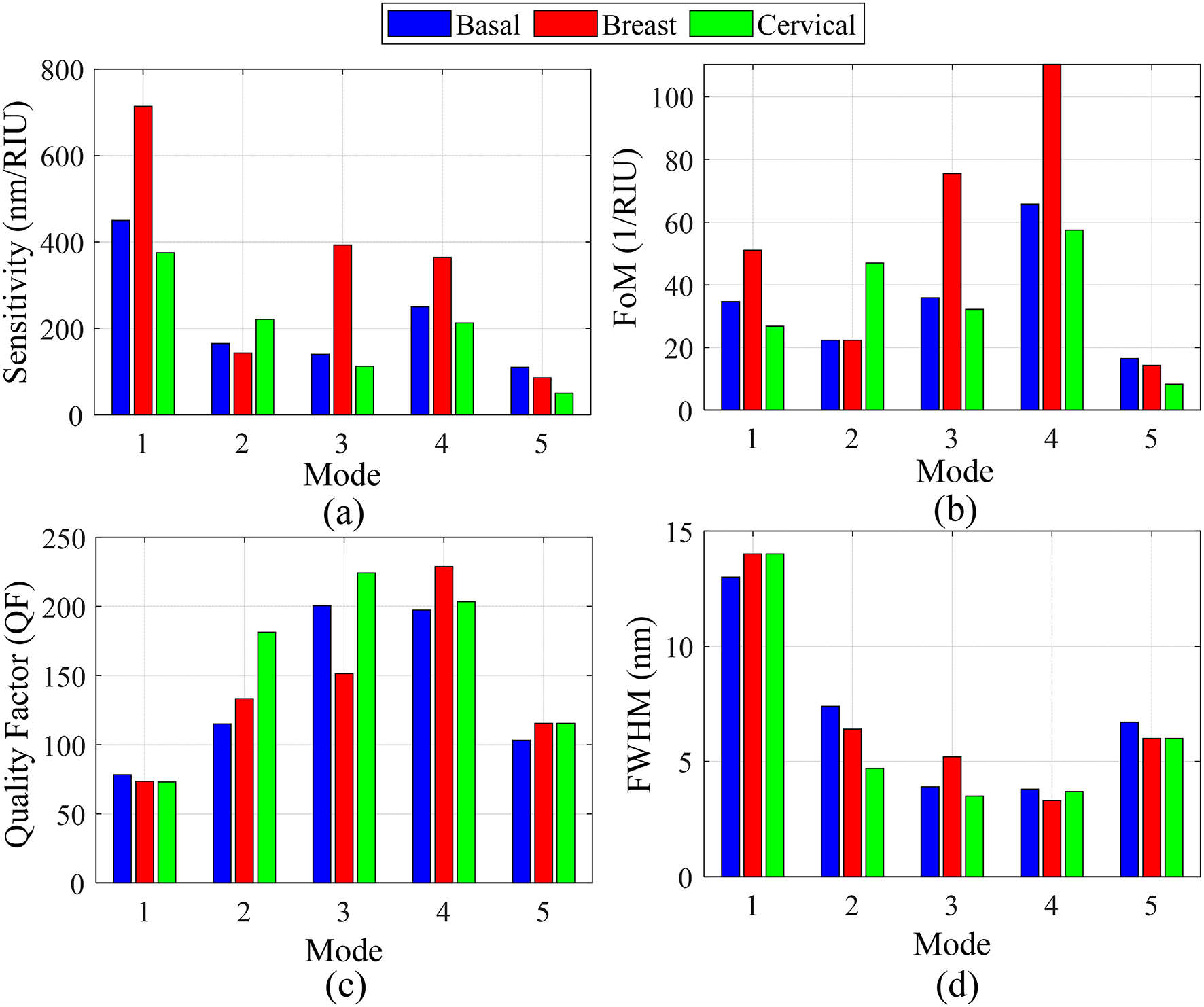
Sensing parameters of the proposed biosensor for various cancer cell types: (a) Sensitivity, (b) FoM, (c) QF, and (d) FWHM.

Sensing parameters of the proposed biosensor for various cancer cell types: (a) Sensitivity, (b) FoM, (c) QF, and (d) FWHM.