Abstract
Fenugreek (Trigonella foenum-graecum L.), a valuable legume with economic and nutritional importance, holds significant potential for genetic improvement. This study evaluated 204 fenugreek accessions, comprising 145 exotic and 55 indigenous germplasms, over two growing seasons at the NBPGR Regional Station, Jodhpur, India, using an augmented block design. Phenotypic traits assessed included days to 50% flowering (DTF), days to maturity (DTM), plant height (PH), number of leaves at 30 and 60 days (NL30, NL60), seed yield (SY), pod length (PL), and thousand-seed weight (TSW). Analysis of variance (ANOVA) revealed highly significant differences (p < 0.01) among accessions, indicating substantial genetic diversity. Genetic parameter analysis highlighted high heritability and genetic advance for traits like the number of leaves, pods per plant, seed yield, and thousand seed weight, suggesting strong additive genetic control. Conversely, traits such as days to maturity and number of branches per plant exhibited low heritability, indicating greater environmental influence. Cluster analysis identified four distinct groups: Cluster I included high-yielding genotypes such as IC-590,113 (71.67 g SY); Cluster II comprised early-maturing lines like EC-510,678; Cluster III focused on pod production, and Cluster IV featured genotypes excelling in seed quality traits, such as EC-510,579 (20.15 g TSW). Principal Component Analysis (PCA) explained 54.1% of total variability through the first two components, with DTF, TSW, and NPPP as significant contributors. This study is novel in integrating large-scale agro-morphological characterization of 204 diverse fenugreek accessions including both exotic and indigenous lines with advanced statistical analyses to reveal the extent of genetic diversity in economic traits of leaves and seeds. The findings identified high heritability and genetic advance for key yield-related traits and distinguished superior multi-trait genotypes such as EC-510,579 and EC-510,613, offering valuable resources for developing dual-purpose, high-yielding, and climate-resilient fenugreek varieties.
Similar content being viewed by others
Introduction
Fenugreek (Trigonella foenum-graecum L.), a member of the Fabaceae family, is one of the most significant spice and medicinal crops globally, with India being its largest producer and exporter1. India is a significant producer of fenugreek, with its cultivation area and production increasing substantially over the past decades2. In 2023-24, India produced 228,649 tons of fenugreek across 145,366 hectares (1.57 tons/ha), with Madhya Pradesh, Rajasthan, and Gujarat contributing the highest production3. The crop is valued not only for its culinary uses as a spice but also for its therapeutic properties, including anti-diabetic, anti-inflammatory, and cholesterol-lowering effects4. Despite its economic and medicinal importance, the genetic potential of fenugreek remains underexplored, necessitating systematic characterization and conservation of its germplasm4,5.
In India, the National Bureau of Plant Genetic Resources (NBPGR) is leading institutions, housing extensive collections of the accessions of various crops, including of fenugreek. These collections serve as a vital resource for preserving genetic diversity and facilitating crop improvement programs6. However, comprehensive agro-morphological characterization of these germplasm collections is often limited, hindering their effective utilization in breeding initiatives7. The cornerstone of any successful crop improvement program lies in the availability of genetically diverse germplasm and the heritability of key morphological and agronomic traits. Genetic diversity provides the basis for selecting genotypes with desirable attributes, which can be harnessed to develop improved varieties8,9. Systematic characterization of germplasm for agronomic and morphological traits plays a crucial role in facilitating its utilization in breeding programs10,11. Estimating coefficients of phenotypic, genotypic, and environmental variation is critical for quantifying genetic diversity within germplasm collections7. Heritability estimates provide breeders with valuable insights into the stability of phenotypic traits across generations, enabling the selection of accessions with superior agronomic performance7,9,12. Furthermore, correlation coefficients help guide breeding strategies by revealing associations between traits such as seed yield, plant height, and disease resistance13. Multivariate analysis techniques, including cluster analysis (CA) and principal component analysis (PCA), are widely employed to study genetic divergence and classify germplasm based on morphological and agronomic traits14,15. These methods simplify complex datasets by identifying key variables and grouping genotypes with similar characteristics, thereby facilitating the selection of parental lines for hybridization14,16. For instance, Qadir et al.7,used PCA and cluster analysis to evaluate genetic diversity among 167 fenugreek accessions, identifying distinct groups based on yield-related traits. Similarly17, assessed 75 fenugreek genotypes using PCA.
In India, the NBPGR and allied institutions maintain a germplasm collection of fenugreek accessions, representing diverse agro-climatic regions6. However, detailed agro-morphological characterization of this collection remains limited, underscoring the need for systematic evaluation. This study provides the most comprehensive agromorphological characterization of fenugreek germplasm to date, encompassing 204 accessions (including both exotic and indigenous lines) evaluated over two consecutive growing seasons using an augmented block design. Unlike previous reports that focused on limited trait sets or smaller populations, this research integrates genetic parameter estimation (GCV, PCV, heritability, and GAM) with multivariate analyses (PCA and cluster analysis) to elucidate patterns of genetic diversity in economically important traits. The inclusion of both vegetative (leaf) and reproductive (seed) traits as economic targets represents a novel approach for dual-purpose breeding, enabling the development of fenugreek varieties suited for both leafy vegetable and seed spice production.
Materials and methods
Plant material and experimental design
The experimental material consisted of 204 fenugreek accessions, including 145 exotic germplasms from the USA, 55 indigenous germplasms and 4 national check varieties (Table S1). All experimental research and field studies on fenugreek were conducted in accordance with institutional, national, and international guidelines and regulations. The germplasm used in this study was obtained from the ICAR-National Bureau of Plant Genetic Resources (NBPGR), New Delhi, India, which provided the material following established protocols and regulatory frameworks. This diverse collection, with a significant proportion of exotic germplasms, is likely to harbor valuable genes for enhancing crop yield and resilience against pests and environmental stresses. It presents an opportunity to identify beneficial genetic variations that can be directly applied or incorporated into Indian fenugreek breeding programs. The experiments were conducted at the National Plant Genetic Resources (NBPGR), Regional Station, Jodhpur (26°15’25.6"N, 73°00’01.9"E), India, which comes under Agro-climatic Zone IA (Arid Western Plain Zone) of Rajasthan. The region has an arid to semi-arid climate with sandy loam soil, mild winters, and hot summers. During the rabi seasons 2022–23 and 2023–24, very low rainfall was received, which is characteristic of this arid region, where 85–90% of the annual average rainfall (367 mm, CV 52%) occurs during June to September with the southwest monsoon. Based on weekly meteorological observations recorded at the station, maximum temperatures ranged from 23.9 °C to 35.9 °C in 2022–23 and 18.1 °C to 39.1 °C in 2023–24, while minimum temperatures varied between 2.1 °C and 25.4 °C and 4.7 °C and 27.3 °C, respectively. Morning relative humidity ranged from 63 to 90%, and afternoon humidity from 31 to 77% across both years (Table S5). The experimental field soil was loamy sand with a pH of 7.95, organic carbon 0.25%, electrical conductivity 0.24 dS m⁻¹, and available phosphorus 47 kg ha⁻¹ and potassium 573.75 kg ha⁻¹, typical of the arid western Rajasthan environment. Characterization of the germplasms was performed using an augmented block design with four national checks (RMT-1, AFG-1, Pusa Early Bunching, and AFG-3). The experiment included four blocks, each with 50 accessions uniformly sown per block alongside replicated checks. Each accession was planted in paired rows, 2 m in length, with a 30 cm distance between rows.
Phenotypic evaluation for various agronomic traits
We evaluated 204 fenugreek germplasms over two seasons (2022–23 and 2023–24) at the National Plant Genetic Resources (NBPGR) Regional Station in Jodhpur, India (26°15’25.6"N, 73°00’01.9"E). Phenotypic data were recorded on five randomly selected plants per accession for morphological traits, including number of leaves at 30 days (NL30), number of leaves at 60 days (NL60), plant height (PH, cm), and number of primary branches per plant (NBPP). Yield and yield-related traits, such as number of pods per plant (NPPP), pod length (PL), thousand seed weight (TSW, g), and seed yield per plant (SY, g), were also measured. Phenological traits, including days to 50% flowering (DTF) and days to maturity (DTM), were recorded on a plot basis.
Statistical analysis
Phenotypic data collected from two environments was used to estimate BLUP (best linear unbiased prediction) values through the Meta-R software18, which allowed for the estimation of random effects. The calculated BLUP values were then used in subsequent analyses. Data normality was assessed using the Shapiro–Wilk test and supported by skewness and kurtosis statistics before conducting ANOVA. Analysis of variance (ANOVA) was performed using the ‘augmented RCBD’ package in R19. Correlation analysis was conducted and visualized with the ‘ggplot2’ and ‘ggcorrplot’ packages in R20. Additionally, the BoxPlotR web tool21 was used to create boxplots for all phenological and agronomic traits, illustrating the distribution of the phenotypic data. Principal component analysis (PCA) was carried out using the ‘factoextra’ package in R22. Hierarchical clustering based on the UPGMA method was performed with the ‘dendextend’ and ‘factoextra’ packages in R. BLUPs were estimated using the mixed model.
where β represents fixed effects (checks), u random genotypic effects, and e residual errors. Variance components were estimated via REML.
Path analysis was conducted using Structural Equation Modeling (SEM) to partition the correlations among traits into direct and indirect effects on Seed Yield (SY). The analysis was performed on the adjusted means using the lavaan package. Prior to modeling, multicollinearity among predictor variables was assessed by calculating Variance Inflation Factors (VIFs). The significance of all path coefficients (direct and indirect) was assessed. To obtain robust confidence intervals for the indirect (mediation) effects, the model was fitted using bootstrapping with 2000 replications. Standardized path coefficients were used for interpretation to allow for direct comparison of the magnitude of effects.
Results
Characterization of Fenugreek germplasm
The analysis of variance (ANOVA) (Table 1) demonstrated significant variation among fenugreek accessions for most phenological and morphological traits, indicating the presence of substantial genetic diversity. Highly significant differences (p < 0.01) were observed for days to 50% flowering (DTF), days to maturity (DTM), number of leaves at 30 days (NL30), number of leaves at 60 days (NL60), plant height (PH), number of pods per plant (NPPP), pod length (PL), number of seeds per pod (NSPP), seed yield per plant (SY), and thousand seed weight (TSW). However, number of basal primary branches per plant (NBPP) showed non-significant variation, reflecting limited genetic differentiation for this trait. The comparison between test and check treatments further highlighted significant differences for most traits, with particularly high mean sum of squares for productivity-related traits such as number of pods per plant (NPPP) and seed yield (SY), suggesting their potential for selection. The block effects were non-significant across traits, indicating low residual errors reflected the precision of the experimental design.
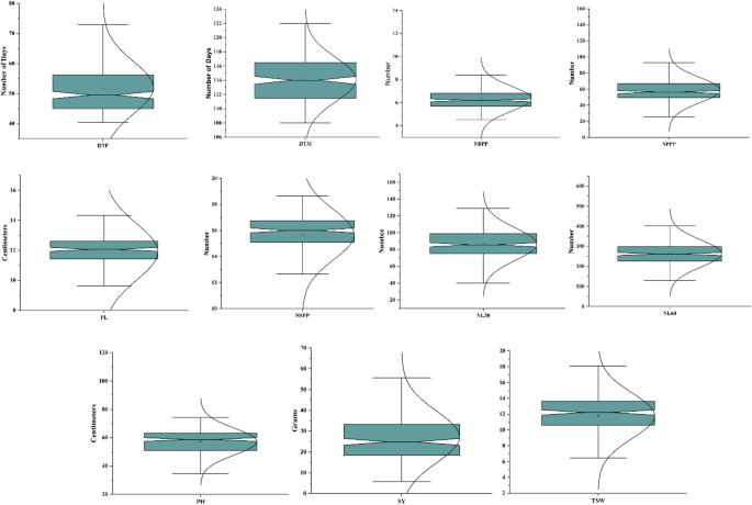
The notched boxplots (Fig. 1) provide a clear visualization of trait distribution and variability. The traits exhibited diverse patterns of spread and central tendency, as revealed by the notch widths and box lengths. Traits like days to 50% flowering (DTF) (mean: 51.94) and days to maturity (DTM) (mean: 114.09) displayed compact distributions with minimal variation, as indicated by narrower boxes and few outliers. In contrast, number of leaves at 30 days (NL30) (mean: 86.46) and number of leaves at 60 days (NL60) (mean: 264.06) showed wider interquartile ranges and more dispersed distributions, signifying greater variability among accessions. For morphological traits, plant height (PH) (mean: 57.22) exhibited moderate variability, while number of primary branches per plant (NBPP) (mean: 6.33) had a symmetric and tightly grouped distribution, consistent with its non-significant ANOVA result. Productivity-related traits such as number of pods per plant (NPPP) (mean: 64.03), seed yield (SY) (mean: 27.22), and thousand seed weight (TSW) (mean: 11.8) exhibited high variability and the presence of several outliers, reflecting a wide genetic range within the evaluated accessions. Notably, pod length (PL) (mean: 11.88) and number of seeds per pod (NSPP) (mean: 15.68) displayed tighter distributions, with few extreme values, suggesting consistent performance for these traits across accessions.
Box-plot showing phenotypic distribution of all eleven agronomic traits in the 204 accessions of fenugreek using calculated BLUPs value. Note: Plant height (PH, cm), number of leaves at thirty days (NL30), number of leaves at sixty days (NL60), number of primary branches (NBPP), days to 50% flowering (DTF), days to maturity (DTM), number of pods per plant (NPPP), pod length (PL, cm), number of seeds per pod (NSPP), thousand seed weight (TSW, g), seed yield (SY, g).
The analysis of skewness (Supplementary Table 2) reveals significant departures from normality across various traits. Plant height (PH) with a skewness of 0.34 (p < 0.05), number of primary branches (NBPP) with a skewness of 2.22 (p < 0.01), number of pods per plant (NPPP) with a skewness of 13.35 (p < 0.01), pod length (PL) with a skewness of −3.58 (p < 0.01), number of seeds per pod (NSPP) with a skewness of −2.91 (p < 0.01), seed yield (SY) with a skewness of 1.18 (p < 0.01), and thousand seed weight (TSW) with a skewness of −1.30 (p < 0.01) exhibited strong positive or negative skewness, indicating a long tail in their distributions. This suggests that a majority of observations for these traits are clustered towards one end of the range, with a few extreme values pulling the mean towards that direction. While days to 50% flowering (DTF) with a skewness of 1.24 (p < 0.01), days to maturity (DTM) with a skewness of 0.29 (ns), and number of leaves at 30 and 60 days (NL30, NL60) with skewness of −0.33 (ns) and 0.57 (p < 0.01) respectively, showed less pronounced skewness, their distributions still deviated from normality to some extent. These findings highlight the importance of considering the non-normal nature of these traits when conducting statistical analyses and interpreting results.
Correlation analysis (Fig. 2) revealed several significant associations among the studied traits. Plant height (PH) showed a high positive correlation with number of leaves at 30 and 60 days (NL30, NL60, r = 0.77, p < 0.01; r = 0.61, p < 0.01), number of primary branches (NBPP, r = 0.53, p < 0.05), and days to 50% flowering (DTF, r = 0.39, p < 0.05). Additionally, PH was negatively correlated with days to maturity (DTM, r = −0.41, p < 0.05). Number of leaves at 30 and 60 days (NL30, NL60) were positively correlated with each other (r = 0.41, p < 0.05) and with NBPP (r = 0.27, p < 0.05). Days to 50% flowering (DTF) was positively correlated with days to maturity (DTM, r = 0.40, p < 0.05). Number of pods per plant (NPPP) was positively correlated with pod length (PL, r = 0.35, p < 0.05) and number of seeds per pod (NSPP, r = 0.65, p < 0.01). Thousand seed weight (TSW) was positively correlated with seed yield (SY, r = 0.72, p < 0.01). These findings suggest that plant height, leaf number, and branching architecture are interrelated traits that influence flowering time and maturity. Similarly, pod characteristics like number of pods, length, and seed number contribute to seed yield.
The path analysis results are visualized in the path diagram (Figure S1), which displays the standardized coefficients for the direct and indirect relationships among the traits. The analysis identified several traits that exerted significant direct effects on Seed Yield. The strongest direct positive effect was from Number of Seeds Per Pod (NSPP), with a standardized path coefficient of 0.87. This indicates that NSPP is a primary determinant of yield. Other significant positive direct effects were observed from Thousand Seed Weight (TSW; 0.45), Pod Length (PL; 0.37), and Plant Height (PH; 0.26). Conversely, some traits had significant negative direct effects on Seed Yield. The strongest negative effects were from Number of Leaves at 60 days (NL60; −0.42) and Days to Flowering (DTF; −0.33). The model confirmed the hypothesized intermediate relationships. As expected, Days to Flowering (DTF) had a very high positive effect on Days to Maturity (DTM; 0.79). Plant Height (PH) had positive, albeit weak, effects on both Number of Branches Per Plant (NBPP; 0.04) and Number of Pods Per Plant (NPPP; 0.13).
Genetic parameters
The genetic parameters for various traits of fenugreek presented in Table 2. The phenotypic variance (PV) and genotypic variance (GV) were highest for NPPP (PV = 26006.98, GV = 25863.86) and lowest for NBPP (PV = 1.13, GV = 0.31). The genotypic coefficient of variation (GCV) ranged from 2.51% (DTM) to 194.56% (NPPP), while the phenotypic coefficient of variation (PCV) ranged from 2.67% (DTM) to 195.10% (NPPP). The GCV and PCV values were categorized as low, medium, or high, with most traits exhibiting high GCV and PCV values, except for DTM and NBPP, which showed low values. The heritability in the broad sense (hBS) ranged from 27.29% (NBPP) to near to 100% (NL30, NL60, NPPP, SY, and TSW), indicating high heritability for most traits. The genetic advance (GA) as a percentage of the mean (GAM) ranged from 0.60% (NBPP) to 400.28% (NPPP), with most traits showing high GAM values, except for NBPP, which exhibited a low GAM. Overall, the results indicate that traits such as NL30, NL60, NPPP, SY, and TSW have high heritability and genetic advance, suggesting that these traits are predominantly controlled by additive gene action and can be effectively improved through selection. Conversely, traits like DTM and NBPP showed low heritability and genetic advance, indicating a significant influence of environmental factors on these traits. These findings provide valuable insights for the selection and improvement of fenugreek genotypes in breeding programs.
Four distinct cluster in 204 fenugreek germplasm
The cluster analysis, based on the Euclidean distance of morphological, phenological, yield, and yield-related traits, successfully grouped the genotypes into four distinct clusters (Fig. 3, Table S3). The number of genotypes in each cluster varied, with Cluster I containing 58 genotypes, Cluster II comprising 65 genotypes, Cluster III consisting of 5 genotypes, and Cluster IV housing 76 genotypes. These clusters were derived using hierarchical clustering, and the most prominent traits that defined each cluster were carefully examined. Cluster I displayed a wide range of genotypes with notable variations in key traits. Genotype in this cluster, such as IC-590,113, exhibited high seed yield (SY), with values reaching up to 71.67 g. Genotypes in this cluster also demonstrated strong performance in traits like the number of leaves at thirty days (NL30) and plant height (PH), with EC-510,623 showing a plant height of 111.37 cm. These genotypes were marked by relatively high productivity, making them valuable for breeding programs focused on both yield and plant vigor. Cluster II contained genotypes with earlier flowering and maturity, such as EC-510,678 (early flowering in 41 days) and EC-510,637 (early maturity in 109 days). Genotypes in this cluster also performed well in other traits such as pod length (PL), with EC-510,614 reaching 15.35 cm. Genotypes in Cluster II exhibited adaptability to shorter growing seasons, making them suitable for environments where early harvest is critical. Cluster III, with only five genotypes, showed high variation in yield-related traits. Notably, IC-315,857 had a highest number of primary branches (NBPP) which was 12.7 and number of pods per plant (NPPP), with IC-315,857 producing 141.2 pods. The genotypes in this cluster exhibited a specialized set of traits, which could be valuable for particular breeding objectives like pod production. Cluster IV comprised the largest group of genotypes and was characterized by genotypes that exhibited high values for several traits, including seed weight (TSW). For instance, EC-510,579 showed a TSW of 20.15 g, and IC-574,144 had a high number of seeds per pod (NSPP) at 18.65. These genotypes demonstrated strong agronomic traits such as high seed size and number, making them suitable for breeding programs focused on improving seed quality and productivity. Overall, the cluster analysis identified a diverse range of genotypes, each with distinct trait profiles. Genotypes in Cluster I were characterized by higher yield potential and larger plant size, while Cluster II genotypes were marked by early flowering and maturity, making them ideal for short-duration cropping systems. Cluster III contained genotypes with specialized traits, such as high pod production, and Cluster IV had genotypes excelling in seed quality traits like seed weight and number of seeds per pod. These findings suggest that there are specific genotypic clusters that could be strategically utilized for targeted breeding objectives, depending on the trait requirements of different environments and agricultural systems.
Principal component analysis (PCA)
The principal component analysis (PCA) biplot illustrates the relationships and contributions of various agronomic traits of fenugreek to the total variability explained by the first two dimensions (Dim1 and Dim2). Dim1 accounts for 38.6% of the total variation, while Dim2 explains 15.5%, together capturing 54.1% of the variability. This dimensionality reduction allows for effective visualization and interpretation of trait associations. The biplot representation of the PCA results revealed that the accessions were scattered in all four quarters, indicating significant variability among them based on the measured variables (Fig. 4a). We have observed that Dim1 (Dimension 1/PC1) has the highest eigenvalue and variance percent, indicating that it explains the largest amount of variance in the dataset (Table 3). The highest positive eigenvalues for DTF (0.89) and DTM (0.72) in PC1 signify their significant influence on the overall variability among fenugreek genotypes. As we move down the dimensions, the eigenvalues and variance percentages decrease, suggesting a diminishing contribution to the overall variance.
In the correlation circle of a PCA (Fig. 4b), the vectors in the biplot represent the different traits, with their lengths and directions indicating the degree of variability and their contributions to the principal components. Traits such as days to flowering (DTF) and days to maturity (DTM) have longer vectors pointing in the same direction, signifying a high positive correlation and a significant contribution to Dim1. These traits are key contributors to the total variability in the dataset, as indicated by their higher contribution scores (depicted by the color gradient toward red).
Conversely, traits such as number of seeds per pod (NSPP) and number of leaves at 60 days (NL60) are positioned in opposite directions, suggesting negative associations with traits like DTF and DTM. The shorter vector of plant height (PH) and number of leaves at 30 days (NL30) along Dim2 indicates lower contributions and weaker influence on the variability. Additionally, traits such as thousand seed weight (TSW) and pod length (PL) cluster together, showing their positive correlation and significant role in Dim1. Traits like number of branches per plant (NBPP) and number of pods per plant (NPPP) exhibit moderate contributions to both Dim1 and Dim2, highlighting their balanced influence across components. Overall, the PCA biplot effectively separates traits based on their associations and contributions to the total variability, with DTF and DTM emerging as major contributors along Dim1 and traits like NSPP and NL60 influencing Dim2. This analysis provides valuable insights into trait relationships, which can guide fenugreek breeding programs targeting specific agronomic characteristics. Further, principal component analysis revealed percent contribution of various studied trait into particular PC (Table S4). In PC1, which accounts for the largest share of variation, days to flowering (DTF) exhibited the highest contribution (18.76%), followed by thousand seed weight (TSW) (14.43%), days to maturity (DTM) (12.33%), and pod length (PL) (11.41%). These traits are key determinants of variability in PC1, indicating their importance in defining the phenological and seed characteristics of the fenugreek genotypes. In PC2, the variability is mainly influenced by number of pods per plant (NPPP) with the highest contribution (25.74%), followed by pod length (PL) (15.10%), seed yield (SY) (12.78%), and plant height (PH) (11.66%). These traits primarily represent yield and structural attributes, highlighting their significance in differentiating the genotypes along the second principal component. Overall, the analysis identifies DTF, TSW, NPPP, and PL as key contributors to the genetic variability captured in the first two principal components, providing critical insights for trait-based selection in fenugreek breeding programs.
Principal component analysis (PCA) plot of individuals and variables. Principal components (PCs) 1 (representing 38.6% of explained variance) and PC2 (15.5% of explained variance) are plotted. (a) PCA biplot of individual samples in relation to PC1 and PC2. A high cos2 indicates a quality of good representation of the individual on the PC. (b) Correlation circle of a PCA. In a PCA correlation circle plot, vector direction and length play crucial roles in conveying information about the relationships between variables and principal components. The direction of a vector signifies the strength and nature of the correlation between an original variable and a specific principal component; proximity to the component indicates a stronger correlation. Meanwhile, vector length is equally significant, as longer vectors indicate higher correlations. This means that variables with longer vectors contribute more significantly to the variability explained by that principal component. Interpreting the angle between vectors provides insights into the relationships between variables: smaller angles denote positive correlations, while larger angles imply weaker or non-existent correlations.
Trait-specific germplasm identification
The study identified promising germplasm with specific traits based on combined phenotypic data, providing valuable resources for crop improvement programs (Table 4).
For early flowering (DTF), germplasm such as EC-510,570, IC-588,878, and EC-510,706 were notable, showing a minimum flowering time of 44 days, compared to the check varieties AFG-1 and AFG-3, which flowered at 45 days. Similarly, early maturity (DTM) germplasm, including EC-510,706, IC-336,804, and EC-510,609, matured within 110 days, aligning with AFG-1, the earliest check variety at 110 days. For NL30, germplasm like EC-510,713 and EC-510,631 demonstrated high nodal length values, with a maximum of 157.33, significantly exceeding the check variety RMT-1 (113). In NL60, EC-510,628 stood out with the highest nodal length (596.67), far above the check variety PUSA EARLY BUNCHING (389). For plant height (PH), EC-510,623 exhibited superior height (111.37 cm), while PUSA EARLY BUNCHING served as the benchmark at 61.88 cm. Notable germplasm for number of branches per plant (NBPP) included IC-315,857 (12.7), surpassing PUSA EARLY BUNCHING (9.6). For number of pods per plant (NPPP), EC-510,737 recorded an exceptional count of 141.2 pods, well above the check variety. Pod length (PL) was highest in EC-510,614 (15.35 cm), with AFG-3 showing comparable performance (13.72 cm). Similarly, seed yield (SY) per plant was maximized in IC-590,113 (71.67 g), exceeding check varieties AFG-3 and AFG-1, with 70.42 g and 68.51 g, respectively. Lastly, thousand-seed weight (TSW) was prominent in EC-510,579 (20.15 g), outperforming the check variety AFG-3 (14.94 g). Additionally, eight germplasm genotypes emerged as superior performers by contributing to more than five traits, making them valuable candidates for future breeding programs. EC-510,579 appeared in seven traits (DTF, DTM, NL30, PH, NSPP, TSW), while EC-510,613 also contributed to seven traits (DTF, NL30, PL, NSPP, PH, TSW). Genotypes such as EC-510,596 (DTF, NL30, PL, NSPP, TSW), IC-510,653 (PL, NL30, NSPP, DTM, TSW), EC-510,648 (DTF, NL60, PL, NSPP, TSW), EC-510,588 (DTF, DTM, NL30, NL60, PH), IC-572,846 (DTF, SY, PL, NSPP, TSW), and EC-510,677 (DTF, PH, NL60, NSPP, TSW) appeared in six traits each. These genotypes represent multi-trait excellence and are pivotal for developing fenugreek varieties with broad adaptability and enhanced performance. Genetic variation was observed in economic parts of fenugreek i.e. leaves and seeds (Fig. 5). The observed variability in leaf traits reflects differences in photosynthetic potential and biomass production, while the diversity in seed characteristics indicates variation in yield potential and quality attributes among genotypes. These visual differences highlight the extent of genetic diversity present in the studied material. The identification of these trait-specific germplasm lines provides a strong foundation for targeted breeding aimed at improving traits such as early flowering, higher yield, and enhanced plant architecture in fenugreek.
Discussion
In this study, we characterized 204 fenugreek accessions for a wide range of morphological, phenological, yield, and yield-associated traits. Our work distinguishes itself from previous studies due to several significant factors. Firstly, we utilized an expanded and more diverse germplasm panel, offering a richer dataset and deeper insights. Notably, we focused on two critical traits: early maturity and high grain yield. These genotypes show potential adaptability under arid and semi-arid conditions. Early maturity helps crops complete their growth cycle before the onset of adverse climatic conditions, thereby reducing risks and maximizing productivity. High grain yield, on the other hand, is vital for ensuring food security and sustainability, particularly in regions prone to erratic rainfall and other climate-related challenges. While previous studies have explored early flowering traits, our research uniquely incorporates accessions not previously reported, making it a valuable contribution to fenugreek improvement. The substantial variability observed among the evaluated genotypes highlights the potential for selecting superior fenugreek lines and identifies promising recombinants for genetic enhancement. In this study fenugreek germplasm revealed substantial genetic diversity, offering valuable opportunities for crop improvement. Traits linked to productivity, phenology, and vegetative architecture showed significant variability, with key interrelationships highlighting their collective influence on yield and adaptability. Compact trait distributions suggest stability, while wider variability indicates scope for selection under diverse conditions. Numerous researchers have previously reported highly significant differences in morpho-agronomic traits between fenugreek genotypes23,24,25.
The selection of appropriate genotypes is a critical aspect of crop improvement, necessitating proper screening to identifytraits that exhibit high and positive correlations. For instance, in our studies, we found significant relationships among vegetative, reproductive, and yield traits, offering insights for breeding strategies. Plant height (PH) was positively correlated with the number of leaves at 30 and 60 days (NL30, NL60), number of branches (NBPP), and days to 50% flowering (DTF), indicating robust vegetative growth. Similar results were obtained in a previous study26,27. However, PH was negatively correlated with days to maturity (DTM), suggesting a trade-off between growth and reproductive duration. Yield attributes like the number of pods per plant (NPPP), pod length (PL), and number of seeds per pod (NSPP) were positively interrelated, emphasizing their combined influence on seed yield. Thousand seed weight (TSW) was strongly correlated with seed yield (SY), highlighting seed size as a critical yield determinant. Similar positive correlation result were shown by28,29. These findings suggest that breeding programs can improve fenugreek by targeting traits such as plant height, pod characteristics, and seed size while balancing maturity duration for specific agro-climatic needs. This study successfully used path analysis to dissect the complex network of relationships influencing seed yield. The results highlight that yield is not determined by a single trait but is the outcome of multiple direct and indirect contributions from other phenological and morphological characteristics. The most critical finding is the dominant, positive direct effect of the Number of Seeds Per Pod (NSPP) on Seed Yield. This is biologically intuitive, as NSPP is a primary yield component. This suggests that for genetic improvement, direct selection for a higher number of seeds per pod would be a highly effective strategy for increasing overall seed yield. Similarly, the positive direct effects of Thousand Seed Weight (TSW) and Pod Length (PL) underscore the importance of these traits as key yield components.
Analyzing the diversity within a germplasm by examining genotypic, phenotypic, and environmental coefficients of variation (GCV, PCV, ECV), along with heritability (H) and the genetic advance (GA), provides insights into the genetic mechanisms underlying trait inheritance. This approach enables the identification of the nature and extent of genetic influence on specific traits, facilitating the selection of multiple traits simultaneously and are instrumental in guiding the selection process toward superior genotypes30. The cluster analysis of 204 fenugreek germplasm identified four distinct groups based on morphological, phenological, yield, and yield-related traits, providing valuable insights into the genetic diversity and trait specialization within the collection. The grouping highlights the potential for targeted breeding programs to exploit specific genotypic clusters for diverse agro-climatic conditions and end-use preferences. Cluster I, with 58 genotypes, was characterized by its wide trait variability, particularly in seed yield (SY) and vegetative vigor. For instance, genotype IC-590,113 exhibited a high seed yield of 71.67 g, while EC-510,623 demonstrated exceptional plant height (PH) at 111.37 cm. These genotypes represent promising candidates for breeding programs aimed at improving overall productivity and plant robustness, traits critical for meeting the dual demands of green vegetable and grain production5. Cluster II, comprising 65 genotypes, was distinguished by its early flowering and maturity traits, making it highly adaptable to shorter growing seasons. Notable genotypes such as EC-510,678 (flowering in 41 days) and EC-510,637 (maturity in 109 days) showcased their suitability for environments with limited growing windows. The presence of superior pod traits, such as the pod length (PL) of 15.35 cm in EC-510,614, further underscores the cluster’s utility in enhancing reproductive efficiency under time-constrained conditions. These genotypes could be instrumental in developing varieties for climate-resilient cropping systems where early harvest is a necessity24,31,32.Cluster III, with only five genotypes, exhibited remarkable trait specialization, particularly in pod production. Genotype IC-315,857 recorded the highest number of primary branches (NBPP, 12.7) and pods per plant (NPPP, 141.2), reflecting its potential for breeding programs focused on maximizing pod yield. Similar results previously reported by33. The limited size of this cluster suggests unique genetic or phenotypic configurations that warrant further exploration, including genomic studies, to understand the underlying mechanisms contributing to these traits. Cluster IV, the largest group with 76 genotypes, excelled in seed quality traits, including thousand seed weight (TSW) and the number of seeds per pod (NSPP). For instance, EC-510,579 recorded a TSW of 18.11 g, while IC-574,144 achieved an impressive NSPP of 18.65. These traits are crucial for enhancing marketability and end-use quality in fenugreek, making this cluster particularly valuable for seed quality improvement programs. The robust agronomic performance of these genotypes suggests their potential to address consumer and industry demands for high-quality seeds while maintaining overall productivity14.Overall, the clustering results reveal substantial genetic and phenotypic diversity within the fenugreek germplasm, emphasizing the importance of utilizing this variability strategically in breeding programs. Cluster I genotypes can be prioritized for high yield and biomass production, while Cluster II genotypes are suited for short-duration systems and environments prone to terminal stress. Cluster III offers specialized traits ideal for pod-centric breeding objectives, and Cluster IV genotypes provide a foundation for improving seed quality traits. The clear trait delineation among clusters underscores the value of integrating cluster analysis with molecular tools, such as genome-wide association studies, to identify marker-trait associations and accelerate breeding progress34. These findings contribute to the development of fenugreek varieties tailored to diverse ecological zones and production systems, ensuring greater adaptability and resilience in changing agricultural scenarios.
The principal component analysis (PCA) biplot effectively demonstrates the relationships and contributions of various agronomic traits to the total variability among fenugreek genotypes, serving as a crucial tool for trait association studies and breeding decisions35,36,37. The first two dimensions (Dim1 and Dim2) collectively account for 54.1% of the total variability, with Dim1 explaining 38.6% and Dim2 contributing 15.5%, emphasizing their role in defining trait variability38. Key traits such as days to flowering (DTF) and days to maturity (DTM) were identified as major contributors to Dim1, with high positive eigenvalues (0.89 and 0.72, respectively), reflecting their high positive correlation and significant influence on phenological characteristics, which are critical for adaptation across environments39. Conversely, traits like the number of seeds per pod (NSPP) and the number of leaves at 60 days (NL60) exhibited negative associations with DTF and DTM, highlighting potential trade-offs between early flowering and yield-related characteristics. Traits such as thousand seed weight (TSW) and pod length (PL), which clustered together, showed a positive correlation and substantial contribution to Dim1, aligning with their importance in seed and pod characteristics for breeding programs. Moderately contributing traits like the number of branches per plant (NBPP) and the number of pods per plant (NPPP) balanced their influence across both dimensions, showcasing versatility in their role. Dim2 was primarily driven by yield-related traits, with NPPP contributing the most (25.74%), followed by PL, seed yield (SY), and plant height (PH), reinforcing their relevance in distinguishing genotypes based on structural and yield attributes. This analysis underscores the significance of focusing on key contributors such as DTF, TSW, NPPP, and PL, as they encapsulate phenological, structural, and yield characteristics, offering a targeted approach for fenugreek breeding. Several researchers have investigated trait associations in fenugreek, highlighting findings consistent with those of the current study. For instance, Wojo et al.40 and Maurya et al.13observed a significant and positive relationship between seed yield and traits like the number of branches and pods per plant. Additionally, numerous studies13,41,42,43 have reported significant positive correlations between seed yield and traits such as the number of pods per plant, the number of primary and secondary branches, and seed yield per plant. At both genotypic and phenotypic levels, positive and significant correlations with seed yield have also been noted. For example, Maurya et al. identified a high association with branches and pods per plant, while Kole and Saha44emphasized the number of pods per plant. These findings suggest that selecting accessions with higher mean values for primary branches, secondary branches, seeds per pod, and overall seed yield per plant is a practical strategy for improving seed yield. Interestingly, the present study found that average number of seed per pod and number of leaves at 60 days had a negative and significant correlation with maturity days. This indicates that selecting fenugreek accessions with higher number of seed per pod might not contribute to early maturity. this study suggests that NSPP and NL60 should not serve as a selection criterion for early maturity in fenugreek.The decreasing eigenvalues and variance percentages in subsequent dimensions emphasize the practicality of prioritizing the first two dimensions for interpreting variability and optimizing trait selection efforts14,16.
The identification of trait-specific germplasm is pivotal for fenugreek improvement, as it offers a solid foundation for enhancing agronomic and yield-related traits. Early flowering and maturity, critical for adapting to short growing seasons or escaping terminal stress45,46, were notable in germplasm such as EC-510,570, IC-588,878, and EC-510,706, which flowered in 44 days, outperforming the check varieties AFG-1 and AFG-3 (45 days). Similarly, EC-510,706, IC-336,804, and EC-510,609 exhibited early maturity at 110 days, matching the earliest check variety AFG-1. These accessions are invaluable for breeding programs targeting early phenology and better adaptability. For vegetative growth traits, germplasm EC-510,713 and EC-510,631 demonstrated the highest number of leaves at 30 days (NL30) with values of 157.33, significantly exceeding the check variety RMT-1 (113), while EC-510,628 recorded an impressive NL60 value of 596.67 compared to PUSA EARLY BUNCHING (389). Furthermore, EC-510,623 excelled in plant height, reaching 111.37 cm, almost double the benchmark variety PUSA EARLY BUNCHING (61.88 cm), indicating its potential for enhanced biomass and structural robustness47. Yield-related traits also revealed promising germplasm. IC-315,857 outperformed in the number of branches per plant (NBPP) with 12.7, surpassing PUSA EARLY BUNCHING (9.6), while EC-510,737 stood out for the highest number of pods per plant (NPPP) at 141.2. Pod length (PL) was maximized in EC-510,614 at 15.35 cm, exceeding AFG-3 (13.72 cm), and seed yield per plant (SY) was highest in IC-590,113 (71.67 g), outperforming check varieties AFG-3 and AFG-1 (70.42 g and 68.51 g, respectively). Thousand-seed weight (TSW) was most prominent in EC-510,579 (18.11 g), far surpassing AFG-3 (14.94 g), highlighting its potential for improving seed size and quality. Importantly, multi-trait excellence was observed in eight germplasm lines, with EC-510,579 and EC-510,613 excelling in seven traits each, showcasing their genetic versatility and adaptability. Other notable genotypes, including EC-510,596, IC-510,653, EC-510,648, EC-510,588, IC-572,846, and EC-510,677, demonstrated superiority in six traits, emphasizing their value for comprehensive breeding strategies. These findings underline the significance of multi-trait germplasm in fenugreek improvement, providing a genetic pool for breeding varieties with broad adaptability and enhanced performance. Germplasm identified for early phenology, yield potential, and robust plant architecture can be used to develop fenugreek varieties suited for diverse agro-ecological conditions. Additionally, caution must be exercised to avoid selecting traits with negative correlations to yield, such as excessive pod length. The study’s comprehensive trait-specific evaluation lays the groundwork for fenugreek breeding programs aimed at sustainable yield improvement and better adaptation to environmental challenges.
The novelty of this research lies in the integration of large-scale phenotypic evaluation with multivariate statistical tools to uncover trait-specific and multi-trait superior germplasm within a highly diverse fenugreek collection. The identification of multi-trait accessions such as EC-510,579 and EC-510,613, excelling in both yield and earliness, provides unique genetic resources for developing climate-resilient and high-yielding varieties. Furthermore, by emphasizing economic traits of both leaves and seeds, this study advances the understanding of genetic variability in fenugreek beyond conventional seed-yield studies. The findings offer a strategic framework for dual-purpose fenugreek breeding, addressing productivity, adaptability, and nutritional value simultaneously.
While this study evaluated a large and diverse panel of 204 fenugreek accessions and identified promising germplasm for breeding, several limitations should be acknowledged. First, the study primarily relied on morphological and agronomic traits; integrating molecular and genomic tools would provide deeper insights into the genetic basis of observed variability. Lastly, although key trait associations were identified, further validation using advanced breeding approaches such as genome-wide association studies (GWAS) and larger populations is required to ensure broad applicability. Addressing these limitations in future studies will strengthen the utility of the findings for fenugreek improvement.
Conclusion
This study revealed substantial genetic diversity among 204 fenugreek accessions, with high heritability and genetic advance for key yield-related traits such as pods per plant, seed yield, and thousand-seed weight, making them suitable targets for selection. Correlation, cluster, and principal component analyses highlighted important trait associations and identified accessions with early maturity, high yield, and superior seed quality. Accessions such as EC-510,579 and EC-510,613 demonstrated multi-trait superiority, offering valuable genetic resources for breeding. These findings highlight the importance of integrating phenotypic, genetic, and multivariate analyses to unlock the genetic potential of fenugreek germplasm. Future studies should focus on exploring the genetic basis of these traits through genomic tools, such as genome-wide association studies (GWAS) and marker-assisted selection, to accelerate breeding progress and develop fenugreek varieties that meet the demands of changing agricultural landscapes and consumer needs.
Data availability
All the data are included in the manuscript and supplementary file.
References
Rasheed, S. A. A., Wankhade, V., Saifuddin, S. S. K. & Agrawal, R. S. Physico-Chemical Properties of Fenugreek (Trigonella Foenum-Graceum L.) Seeds. International Journal of Engineering Research and Technology, 4, 88–92 (2015).
Balodi, B. & Rao, R. R. The genus trigonella L. (Fabaceae) in the Northwest himalaya. J. Economic Taxonomic Bot. 5, 11–16 (1991).
Anonymous. Major spice state wise area production 2023–24. Preprint at. (2024).
Wani, S. A., Kumar, P. & Fenugreek A review on its nutraceutical properties and utilization in various food products. J. Saudi Soc. Agricultural Sci. 17, 97–106 (2018).
Ahmad, A., Alghamdi, S. S., Mahmood, K. & Afzal, M. Fenugreek a multipurpose crop: potentialities and improvements. Saudi J. Biol. Sci. 23, 300–310 (2016).
Ahlawat, S., Bhatt, K., Semwal, D., Pradheep, K. & Dhariwal, O. Exploration and collection of plant genetic resources in india: status and priorities. Indian J. Plant. Genetic Resour. 35, 117–123 (2022).
Qadir, A., Rabbani, M., Khurshid, H., Nouman, A. & Ullah, F. Characterization of agro-morphological variation in exotic Fenugreek (Trigonella foenum-graecum L.) germplasm. J. Bio Env Sci. 2017, 71–79 (2017).
Govindaraj, M., Vetriventhan, M. & Srinivasan, M. Importance of Genetic Diversity Assessment in Crop Plants and Its Recent Advances: An Overview of Its Analytical Perspectives. Genet Res Int. 2015 1–14. (2015).
Meena, V. K. et al. Integrating multi-traits mixed model and multivariate statistics for genetic diversity assessment in Mungbean (Vigna radiata L). Genet. Resour. Crop Evol. https://doi.org/10.1007/s10722-025-02573-y (2025).
Getu, A. & Hirko, B. Fenugreek (Trigonella foenum-graecum L.) cultivation and genetic diversity assessment in Ethiopia. J. Agron. Technol. Eng. Manage. (JATEM). 5, 826–834 (2022).
Salgotra, R. K. & Chauhan, B. S. Genetic Diversity, Conservation, and utilization of plant genetic resources. Genes (Basel). 14, 174 (2023).
Mehandi, S., Singh, I. P., Bohra, A. & Singh, C. M. Multivariate analysis in green gram [Vigna radiata (L.) Wilczek]. Legume Res. 38, 758–762 (2015).
Maurya, B. P., Yadav, B. K., Pandey, U. P. & Yadav, P. S. Correlation and path coefficient analysis in Fenugreek (Trigonella foenum-graecum L). Res. Environ. Life Sci. 8, 569–570 (2015).
Beyzi, E. PCA analysis on postharvest quality characterization of Fenugreek depending on seed weight. Int. J. Agric. Environ. Food Sci. 4, 356–361 (2020).
Meena, V. K. et al. Exploring genetic variation and diversity patterns in Indian mustard (Brassica juncea L) germplasm for Tocopherol content. J. Oilseed Brassica. 15, 279–283 (2024).
Jolliffe, I. T. & Cadima, J. Principal component analysis: a review and recent developments. Philosophical Trans. Royal Soc. A: Math. Phys. Eng. Sci. 374, 20150202 (2016).
Yaldiz, G. & Camlica, M. Performance of Fenugreek (Trigonella foenum-graecum L.) genotypes towards Growth, yield and UPOV properties. Legume Res. 45, 10–17 (2022).
Alvarado, G. et al. Exploring the genetic diversity and population structure of Fenugreek (Trigonella foenum-graecum L.) genotypes through inter-primer binding site (iPBS)-retrotransposon marker system. Genet. Resour. Crop Evol. 71, 3253–3266 (2024).
Aravind, J., Mukesh Sankar, S., Wankhede, D. P. & Kaur, V. Augmented RCBD: analysis of augmented randomised complete block designs. R package version 0.1. Available at (2020). https://aravindj.github.io/augmentedRCBD/https://cran.rproject.org/package=augmentedRCBD
Wickham, H. Elegant Graphics for Data Analysis. New York: Springer-Verlag. Preprint at (2016)
Spitzer, M., Wildenhain, J., Rappsilber, J. & Tyers, M. BoxPlotR: a web tool for generation of box plots. Nat. Methods. 11, 121–122 (2014).
Kassambara, A. & Mundt, F. Factoextra: extract and visualize the results of multivariate data analyses. Preprint at (2020).
Singh, K. P., Singh, B., Tomar, B. S. & Naidu, A. K. Trait variation in Fenugreek. SABRAO J. Breed. Genet. 47, 413–423 (2015).
Shekhawat, N., Meena, V. S., Singh, K., Rani, K. & Gupta, V. Studies on genetic Variability, heritability and genetic advance for morphological traits in Fenugreek (Trigonella foenum-graecum L.) for arid climate of Rajasthan. LEGUME Res. - Int. J. https://doi.org/10.18805/LR-5046 (2022).
Meena, R. P., Singh, D., Meena, B. L., Meena, S. K. & Kumari, R. Evaluation of Fenugreek (trigonella foenum -graecum l.) genotypes under normal and limited moisture conditions. J. Plant. Dev. Sci. 9, 283–295 (2017).
Shivraj, Kumar, P., Kumar, R., Chouhan, S. & Tutlani, A. Exploring genetic Variability, correlation and path analysis in Fenugreek (Trigonella foenum-graecum L.) for crop improvement. Int. J. Bio-resource Stress Manage. 14, 1523–1529 (2023).
Kumar, S., Singh, V., Kumar, M., Verma, P. K. & Kumar, Y. Study on inter traits relationship among the parents and hybrids for seed yield and its contributing traits in Fenugreek (Trigonella foenum- graecum L). Int. J. Chem. Stud. 8, 458–462 (2020).
Meena, R. S., Choudhary, S., Verma, A. K., Meena, N. K. & Mali, S. C. Estimates of genetic variability, divergence, correlation and path coefficient for morphological traits in fenugreek (Trigonella foenum-graecum L.) genotypes. Legume Research - An International Journal (2019). https://doi.org/10.18805/LR-4090
Singh, S. & Singh, B. Character association and path coefficient analysis of certain biometrical traits among Fenugreek genotypes under different environmental conditions. Agricultural Sci. Digest - Res. J. 42, 420–425 (2021).
Yadav, P., Tehlan, S. K. & Sheokand, R. N. Genetic variability of Indian Fenugreek (Trigonella foenum-graecum L.) landraces. Int. J. Curr. Microbiol. Appl. Sci. 6, 2686–2691 (2017).
Basu, S. K., Acharya, S. N. & Thomas, J. E. Genetic improvement of Fenugreek (Trigonella foenum-graecum L.) through EMS induced mutation breeding for higher seed yield under Western Canada prairie conditions. Euphytica 160, 249–258 (2008).
Liang, Z., Ruiz-Menjivar, J., Zhang, L., Zhang, J. & Shen, X. Examining the effects of adopting early maturing crop varieties on agricultural productivity, climate change adaptation, and mitigation. Int. J. Low-Carbon Technol. 19, 1256–1274 (2024).
Asebe, A. W., Sentayehu, A., Amsalu, N. & Temesgen, M. Cluster analyses based on yield and yield components in Fenugreek (Trigonella Foenum-Graecum L.) accessions. Global J. Sci. Frontier Research: D Agric. Veterinary. 15, 1–5 (2015).
Kachhwaha, S., Dhingra, P., Kothari, S. L., Choudhary, S. & Jain, R. Unravelling the secrets of Fenugreek through integrated ‘omics’ approach: challenges and opportunities. Sci. Hortic. 328, 112952 (2024).
Meena, V. K. et al. Exploring genetic variation and diversity patterns in Indian mustard (Brassica juncea L) germplasm for Tocopherol content. J. Oilseed Brassica. 2, 279–283 (2024).
Haranal, A. A., KB, E., Badri, J. & P, R. R. Yield trait association studies through principal component analysis in Bi-Parental population derived from indica/tropical Japonica inter Sub-Specific cross in rice (Oryza sativa L). J. Experimental Agric. Int. 46, 651–657 (2024).
Reni, Y. P., Ramana, M. V., Rajesh, A. P., Madhavi, G. B. & Prakash, K. K. Principal component analysis for yield and quality traits of blackgram (Vigna mungo (L.) Hepper). Int. J. Plant. Soil. Sci. 38–47. https://doi.org/10.9734/ijpss/2022/v34i730887 (2022).
Yaldiz, G. & Camlica, M. Performance of Fenugreek (Trigonella foenum-graecum L.) genotypes towards Growth, yield and UPOV properties. LEGUME Res. - Int. J. https://doi.org/10.18805/LR-639 (2021).
Kumawat, G. et al. Identification of novel genetic sources for agronomic and quality traits in soybean using multi-trait allele specific genic marker assays. J. Plant. Biochem. Biotechnol. 30, 160–171 (2021).
Wojo, A. A., Alamerew, S., Nebiyu, A. & Menamo, T. Genotype and phenotype variability studies in Fenugreek (Trigonella foenum-graecum L.) accessions in Kaffa Zone, South West Ethiopia. J. Spices Aromatic Crops. 2, 159–168 (2016).
Patahk, A. R., Patel, A. I., Joshi, H. K. & Patel, D. A. Genetic Variability, correlation and path coefficient analysis in Fenugreek (Trigonella foenum-graecum L). Trends Biosci 7, 234–237 (2014).
Prajapati, D. B., Ravindrababu, Y. & Prajapati, B. H. Genetic variability and character association in Fenugreek (Trigonella foenum-graecum L). Journal Spices Aromatic Crops 19, 61–64 (2010).
Chitra, R. & Rajamiani, K. Character association and path analysis in glory Lily (Gloriosa Superba L). Commun. Biometry Crop Sci. 5, 78–82 (2010).
Kole, C. Studies on variability and heritability for different quantitative characters in Fenugreek under different environments. J. Plant. Breed. Crop Sci. 5, 224–228 (2013).
Kazan, K. & Lyons, R. The link between flowering time and stress tolerance. J. Exp. Bot. 67, 47–60 (2016).
Shavrukov, Y. et al. Early flowering as a drought escape mechanism in plants: how can it aid wheat production? Front Plant. Sci 8, 1950 (2017).
Amiriyan Chelan, Z. & Amini, R. & Dabbagh Mohammadi Nasab, A. Optimizing Fenugreek (Trigonella foenum-graecum L.) oil yield and compositions in intercropping through growth-promoting bacteria and mycorrhiza. Frontiers Agronomy 6, 1422236 (2024).
Acknowledgements
Authors duly acknowledge the support and facilities provided by the Director, ICAR-NBPGR for carrying out the study and encouraging during the study.
Author information
Authors and Affiliations
Contributions
Conceptualization of research (VSM, VKM); Designing of the experiments (VSM, VKM, NS); Contribution of experimental materials (VSM, RB, AMS); Execution of field/lab experiments and data collection (VSM, NS); Analysis of data and interpretation (VKM, KS, VSM); Preparation of manuscript (VKM, VSM, NS, AKS).
Corresponding author
Ethics declarations
Competing interests
The authors declare no competing interests.
Additional information
Publisher’s note
Springer Nature remains neutral with regard to jurisdictional claims in published maps and institutional affiliations.
Supplementary Information
Below is the link to the electronic supplementary material.
Rights and permissions
Open Access This article is licensed under a Creative Commons Attribution-NonCommercial-NoDerivatives 4.0 International License, which permits any non-commercial use, sharing, distribution and reproduction in any medium or format, as long as you give appropriate credit to the original author(s) and the source, provide a link to the Creative Commons licence, and indicate if you modified the licensed material. You do not have permission under this licence to share adapted material derived from this article or parts of it. The images or other third party material in this article are included in the article’s Creative Commons licence, unless indicated otherwise in a credit line to the material. If material is not included in the article’s Creative Commons licence and your intended use is not permitted by statutory regulation or exceeds the permitted use, you will need to obtain permission directly from the copyright holder. To view a copy of this licence, visit http://creativecommons.org/licenses/by-nc-nd/4.0/.
About this article
Cite this article
Meena, V.S., Meena, V.K., Bhardwaj, R. et al. Genetic diversity and agromorphological characterization of Fenugreek (Trigonella foenum-graecum L.) germplasm provides insight for breeding and crop improvement. Sci Rep 16, 2324 (2026). https://doi.org/10.1038/s41598-025-32066-y
Received:
Accepted:
Published:
Version of record:
DOI: https://doi.org/10.1038/s41598-025-32066-y







