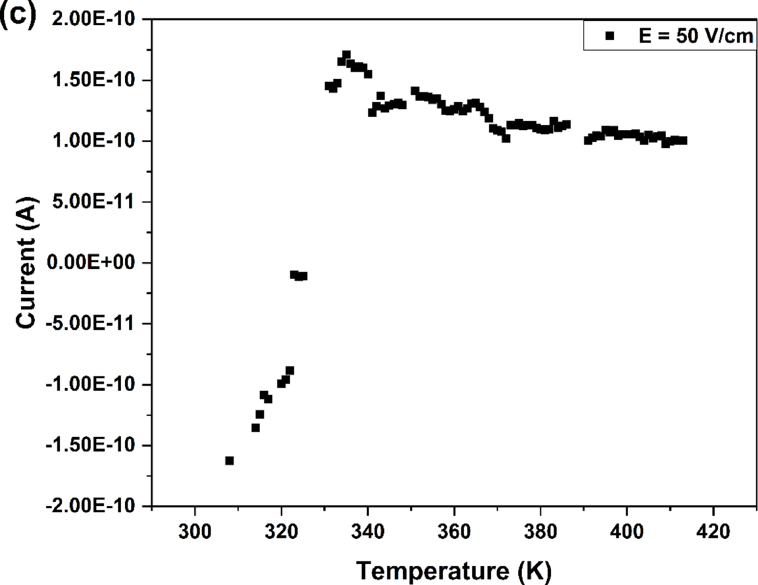
Fig. 4


(a) TSDC spectra of samples loaded with 100 phr polarized at electric field: 10 V/cm. (b) TSDC spectra of samples loaded with 100 phr polarized at electric field: 30 V/cm. (c) TSDC spectra of samples loaded with 100 phr polarized at electric field: 50 V/cm.