Abstract
Thermally stimulated depolarization current (TSDC) analysis is a powerful technique for analyzing dielectric relaxation in polymer-based composites. In this study, the TSDC behavior of styrene-butadiene rubber (SBR) composites loaded with 40, 60, and 100 phr of graphite was investigated. The composites were prepared using open mill mixing followed by hot press molding. TSDC measurements were performed at 383 K under various polarizing fields. The spectra exhibited multiple relaxation peaks attributed to dipolar and space charge polarization mechanisms. The data were analyzed using the Bucci and Garlick-Gibson methods, and the molecular parameters such as activation energy, charge released, and relaxation time were examined. The results reveal that both graphite concentration and the applied polarizing field significantly influence the relaxation behavior. These effects are associated with variations in dipole alignment, charge trapping dynamics, and electrode polarization. The results provide insights into dielectric relaxation processes in conductive polymer composites and may inform future research on potential applications in sensors and electromagnetic interference (EMI) shielding.
Similar content being viewed by others
Introduction
Composite elastomers represent a critical class of polymeric materials with a wide range of applications, including tire manufacturing, high-performance elastomers, gas barrier materials, and advanced binders for energy storage devices1,2,3,4. Incorporating fillers into elastomeric matrices enhances reinforcement and processability. It can also impart new properties to the material, such as improved thermal and electrical conductivity5,6,7,8,9. Polymer composites composed of insulating polymer matrices and conductive fillers represent an important category of materials with various applications. Adjusting the structure and distribution of conductive fillers enables the formation of conductive paths at a lower percolation threshold. This greatly enhances the electrical conductivity of an otherwise insulating polymer matrix10. Conductive rubber composites have been widely utilized in various applications such as electrostatics, touch-sensitive switches, surface heating elements, charge dissipation systems, and electromagnetic interference (EMI) shielding11. A variety of rubbers have been used to prepare such composites. Among them, styrene–butadiene rubber (SBR) is one of the most extensively used polymers in the rubber industry due to its high fracture elongation and low elastic modulus. However, SBR suffers from relatively poor thermal conductivity and mechanical properties, such as low tensile and tear strength. These limitations can be reduced by incorporating fine particulate fillers during the vulcanization process12,13,14. Among the available fillers, graphite is widely employed as an electro-conductive filler due to its high conductivity and moderate cost. It has also been reported to enhance the mechanical, electrical, and thermal properties of the polymer, as well as its dimensional stability15. Many of the unique properties of polymers are attributed to the complex molecular dynamics within their structure. In polymer systems, molecular relaxations involve several types of transitions16. During thermal charging of dielectric materials, three main types of phenomena may occur. The first is internal polarization, appearing as heterocharge caused by dipole alignment or internal charge separation, commonly referred to as dielectric absorption. The second is homocharge formation, which occurs due to spark discharges in air gaps. The third is homocharge injection from electrodes in direct contact with the dielectric sample17. These mechanisms contribute to the behavior observed in thermally stimulated depolarization current (TSDC) measurements. They can influence the shape, position, and interpretation of current peaks. Understanding how these effects interact is important, especially in complex systems involving fillers or conductive additives. Relaxation processes in polymers have long been investigated using various techniques, including dynamic mechanical spectroscopy, nuclear magnetic resonance (NMR), and Brillouin light scattering. The relaxation behavior of uncured SBR rubber random copolymer with different compositions of styrene units has been studied18 using dielectric measurements. The focus was on two primary processes: α-relaxation and β-relaxation. The relaxation time of the α-relaxation follows a typical VFT behavior. The Tg values can be correlated with the styrene content. The β-relaxation, on the other hand, shows an Arrhenius behavior that is independent of styrene content. This implies that the β-relaxation is to be identified with local motions of the butadiene segments. However, the behavior of these relaxations in SBR systems modified with conductive fillers such as graphite, particularly under thermal stimulation (as in TSDC), has not been investigated. Thermally stimulated depolarization current (TSDC) analysis is a commonly used experimental technique to investigate molecular motions in solid materials19. This technique has been applied to characterize imperfection-related properties. These analyses can be both qualitative and quantitative. It has frequently been employed to study relaxation mechanisms in polymers over many years20. Numerous studies have utilized the TSDC method to gain insights into relaxation processes, charge carrier generation, trapping phenomena, and other related behaviors in polymeric systems21. However, information regarding the TSDC behavior of SBR/graphite composites remains limited. In this work, the TSDC technique is employed to analyze the effect of graphite loading on the relaxation behavior of SBR-based composites. The aim is to explore their dielectric response and potential characteristics.
Experiment
Materials
Styrene-butadiene rubber (SBR-1502) was supplied by TRENCO, Alexandria, Egypt. The fine powder extra pure graphite (45 μm) was supplied by Merck, Germany and both materials were used in this study. Graphite properties are as follows: Solubility (20 °C) insoluble; Molar mass 12.01 g/mol; Density 2.2 g/cm3 (20 °C); Bulk density 280 kg/m3; pH value 5–6 (50 g/l, H2O, 20 °C). Graphite powder, SBR-1502, and technical-grade additives including processing oil, accelerator, activator, vulcanizing agent, and plasticizer were used as received without further purification.
Specimen preparation
The preparation technique including the order of ingredient addition, mixing, and processing time has a significant impact on the various characteristics of the rubber/graphite composites22. Therefore, all samples must be prepared following the same procedure under identical conditions. The compositions of the tested materials are presented in Table 1. They were prepared using commercial-grade ingredients according to standard procedures23. The compounding process was performed on a two-roll mill with rolls measuring 300 mm in length and 170 mm in diameter. The slow roll operated at 18 rpm, with a gear ratio of 1.4. The prepared rubber compound was allowed to rest for at least 24 h before vulcanization. Vulcanization was carried out using a stainless-steel mold at a temperature of 140 °C under a pressure of 40 kg/cm2 for 30 min. To ensure the stability and reproducibility of the measurements, the samples were thermally aged in an electric oven at 70 °C (343 K) for 25 days prior to testing24.
Practical measurements
The poling process was carried out using a conventional Thermally Stimulated Depolarization Current (TSDC) technique, as illustrated in Fig. 1. The experimental setup includes a sample holder with two flat, parallel stainless steel electrodes. This sandwich-like configuration ensures a uniform electric field across the sample. The disc-shaped sample (1.5 cm in diameter and 0.3 cm thick) was placed between the electrodes. The holder was positioned inside a furnace equipped with a temperature controller to regulate both heating and cooling cycles. A DC power supply was connected to the electrodes through a switch to control the application and removal of the electric field. Additionally, a DC micro-ammeter was connected in series to measure the depolarization current during the reheating stage. In the standard TSDC procedure, the sample was first heated at a constant rate up to the polarization temperature (Tp). At this point, an appropriate potential difference was applied for a fixed duration (tp). The sample was then cooled down to room temperature under the applied electric field to freeze the dipolar orientation. After reaching room temperature, the electric field was removed, and the sample was short-circuited for a sufficient time (ts) to eliminate electrode-induced charges caused by electrode charging and electronic polarization. This step preserves the charges related to dipolar polarization. Finally, the sample was reheated at a constant rate while remaining short-circuited through an electrometer. The resulting current, measured as a function of temperature, was recorded in the form of TSDC thermograms. These thermograms exhibited multiple peaks, indicating the presence of various relaxation processes. The main processes were the depolarization of permanent dipoles and the release of trapped charges25,26. In this study, the TSDC measurements were conducted over a temperature range from 300 K to 413 K.
Data treatment
The method used for data analysis was based on the Debye relaxation concept and.
corresponds to the Bucci method27,28 Molecular parameters such as the activation energy and relaxation time were calculated from TSDC data by using the following equations29,30,31,32.
Where T is the absolute temperature, Ea is the activation energy and A is a constant. From this equation, Ea can be determined from a plotting ln (I) versus 1000/T. This method is known as the initial-rise method of Garlick and Gibson. The relaxation time generally follows the Arrhenius Eq.
The characteristic relaxation time τ0 is given by:
Where Tm, is the temperature corresponding to the current maximum and, β = (dT/dt) is the heating rate, and k is the Boltzmann constant. The released charge density \(\:\text{Q}\) is calculated by integrating the TSDC spectrum33:
Results and discussion
Effect of poling field
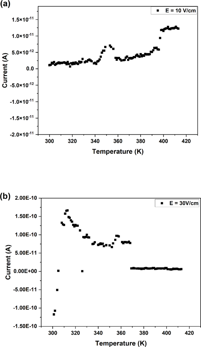
The TSDC spectra of SBR/graphite composites were recorded under different poling fields (Ep): 500 V/cm, 750 V/cm, and 1000 V/cm. The samples were polarized for 30 min at a fixed poling temperature (Tp) of 383 K, as illustrated in Figs. 2 and 3. Figure 2a–c display the TSDC spectra for SBR/graphite composites loaded with 40 phr of graphite. At 500 V/cm, three relaxation peaks were observed around 326 K, 337 K, and 381 K. At 750 V/cm, the spectra similarly showed three peaks located around 306 K, 350 K, and 383 K, as shown in Fig. 2a, b. These peaks are identified as α, ρ1, and ρ2 relaxations, respectively. However, at 1000 V/cm, only two minimum peaks were observed around 311 K and 334 K (Fig. 2c), corresponding to α and ρ1 relaxations, while the ρ2 is no longer clearly visible. The α relaxation peaks, located in the 306–326 K range, are attributed to the relaxation of permanent dipoles associated with the micro-Brownian motion of large polymer chain segments. This is confirmed, as shown in Fig. 2d, where the peak current (IM) corresponding to α relaxation increases linearly with the applied poling field Ep34,35,36,37,38,39. Moreover, the total released charge also exhibits a linear dependence on the poling field as determined from the data analysis. This observation suggests that this peak is due to a dipolar relaxation mechanism38. The first peak, ρ1, which appears in the range of 335–350 K, can be attributed to accumulation of space charge near the electrode39,40,41. Furthermore, as shown in Fig. 2d that the relationship between IM and Ep deviates from linearity. This suggests that this peak is attributed to space charge polarization40. The second ρ2 relaxation peak, appearing at temperatures between 381 and 393 K, is assigned to the MWS relaxation process and can be attributed to a space charge polarization mechanism. For heterogeneous materials, it is well known that interfaces give rise to an interfacial or a Maxwell–Wagner–Sillars polarization. This relaxation arises from the fact that free charges (impurities, catalysts), which were present at the stage of the processing, are now immobilized in the material. For temperatures high enough to ensure some conductivity of the media, the charges can migrate in the applied electric field. These free carriers are then blocked at the interfaces between the two media of different conductivity and permittivity, and then produce electric dipoles called induced dipoles9,28,34,36.
(a) TSDC spectra for SBR/graphite composite loaded with 40 phr polarized at field (500) V. (b) TSDC spectra for SBR/graphite composite loaded with 40 phr polarized at field (750) V/cm. (c) TSDC spectra for SBR/graphite composite loaded with 40 phr polarized at field (1000) V/cm. (d) Variation of the peak currents (IM) as a function of polarizing field.
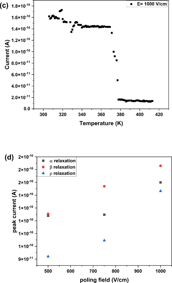
Figure 3a–c presents the TSDC thermogram for an SBR sample loaded with 60 phr of graphite polarized under electric fields of 500,750,1000 V/cm at constant poling temperature of 383 K for 30 min. Two relaxation peaks (ρ1 and ρ2) were observed in the temperature range 334–393 K under poling fields of 500 and 1000 V/cm, meanwhile at field 750 the peaks α and ρ1 were observed. At poling fields of 500 and 1000 V/cm, both ρ1 and ρ2 relaxations exhibited two broad maximums, which may result from the overlapping of two distinct relaxation processes39. The peak current and charge released associated with the ρ1 and ρ2 relaxation peaks showed an inverse relationship with the poling field within the experimental range. The observed decrease in peak height with increasing poling field can be explained by the formation of hetero-space charge (electrode polarization), which arises due to dipole orientation and charge trapping. If the arrival of hetero-charges from multiple trapping sites does not hinder electrode behavior, the TSDC current increases. However, if the release rate of trapped charge exceeds the charge transport capacity of the electrode, electrode blocking may occur. This blocking effect suppresses carrier flow to the nearest electrode and may force carriers toward the far electrode, resulting in a reduction in TSDC current and, consequently, the intensity of polarization. Detrapping of a large amount of charge can also cause electrode blocking and reduce the TSDC current20,25,40. In addition, a shift of ρ1 and ρ2 relaxation peaks to higher temperatures with increasing field (up to 1000 V/cm) was observed. This shift is a typical feature of space charge–related peaks35,39.
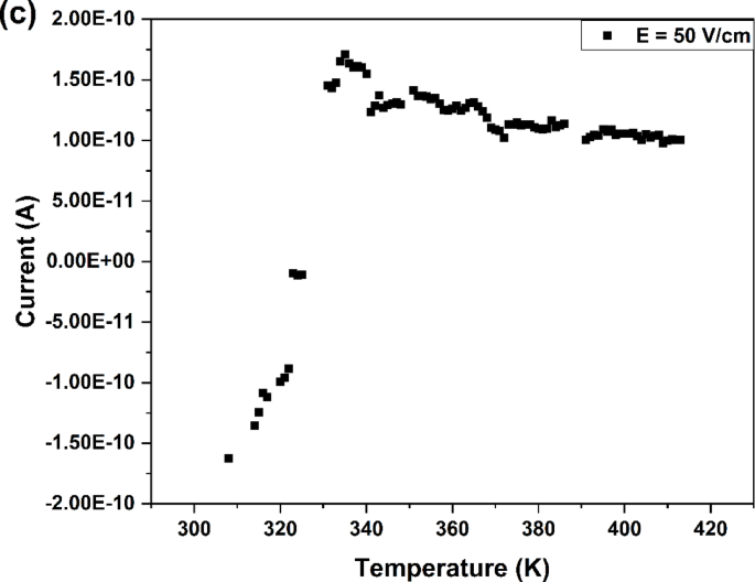
Figure 4a–c presents the TSDC spectra of a sample containing 100 phr of graphite. The sample was polarized under electric fields of 10, 30, and 50 V/cm at a constant poling temperature of 383 K for 30 min. Two relaxation peaks, ρ₁ and ρ₂, were observed. The first peak appeared in the temperature range of 313–335 K. It might initially be attributed to α relaxation; however, this possibility is excluded because the peak current does not show a linear relationship with the applied poling field. Therefore, the peak is clearly associated with ρ₁ relaxation, which results from space charge accumulation near the electrode39,40,41. The second relaxation peak, ρ₂, appeared in the higher temperature range of 350–365 K. This peak is attributed to the Maxwell–Wagner–Sillars (MWS) relaxation mechanism. Both relaxation peaks (ρ₁ and ρ₂) shifted toward lower temperatures, and this behavior can be attributed to the high graphite filler content in the composite28,29,34,36. A further shift of both peaks toward lower temperatures was also observed with increasing applied field (up to 1000 V/cm). This effect is likely due to enhanced interfacial polarization and trap distribution associated with the high graphite concentration. A previous study 42 reported similar behavior: in samples containing 70 phr of carbon, the relaxation peaks shifted toward higher temperatures, whereas in samples with higher carbon content, the peaks shifted toward lower temperatures. This observation was consistent with the results of the present work. The shift of the TSDC peaks reflected changes in relaxation dynamics and charge trapping behavior caused by different graphite loadings in the SBR matrix. When the graphite content increased to 60 phr, the peaks shifted toward higher temperatures, indicating that the dipolar and space-charge relaxation processes required higher thermal energy for depolarization. This behavior can be attributed to improved interfacial interactions and restricted mobility of polymer chains near the graphite particles, which increases the effective activation energy of relaxation36. At 100 phr graphite loading, the peaks shifted toward lower temperatures and appeared smaller in magnitude. This shift can be attributed to the aggregation of graphite particles, which leads to the formation of a more continuous conductive network within the SBR matrix11.
The relationship between ln(I) versus 1000/T for all samples was plotted in Fig. 5 (a-c) covering different regions and the molecular parameters including activation energy (Ea), charges released \(\:\left(\text{Q}\right)\) and characteristic relaxation time (T0) and relaxation time at TM (T) are summarized in Tables 2 and 3. For samples loaded with 40 and 60 phr of graphite, the activation energy increases with the poling field. However, for the sample loaded with 100 phr the trend is reversed. This observation suggests that the relaxation peak does not correspond to discrete relaxation level with a single activation energy, but rather to a complex process involving a distribution of activation energies. Furthermore, as the poling field increases, the barrier height of the traps where the charges are located tends to decrease. This accounts for the observed reduction in activation energy with increasing poling fields. 34,40. As shown in Tables 2 and 3, three distinct relaxation times were identified within the temperature range of 308–393 K, depending on poling filed and graphite concentration. The behavior of each relaxation time varies with the poling filed intensity and graphite content, indication that each arises from a different origin of the relaxation time.
Conclusion
The TSDC analysis of SBR/graphite composites under various poling fields and graphite loadings has provided valuable insights into their dielectric relaxation behavior. Three primary relaxation mechanisms were identified: α relaxation, associated with the micro-Brownian motion of polymer chains; ρ1 relaxation, resulting from space charge accumulation near the electrodes; and ρ2 relaxation, attributed to Maxwell–Wagner–Sillars (MWS) interfacial polarization. The presence and intensity of these relaxations were found to depend significantly on both the applied poling field and the graphite loading. Notably, increasing the graphite content influenced the relaxation behavior, with high loadings (e.g., 100 phr) suppressing the α relaxation and shifting the ρ1 and ρ2 peaks to lower temperatures. This shift can be attributed to enhanced interfacial effects and an increased number of charge trapping sites due to the high filler concentration. However, it is important to note that the results obtained are limited to the specific experimental conditions used in this study. Certain other factors that may influence dielectric behavior were not investigated, such as the type of materials used as electrodes, which can affect charge injection and extraction processes and thus impact the magnitude of the depolarization currents.
Additionally, the effect of varying the poling temperature was not addressed in this study, despite being a critical factor that can influence the alignment of dipoles and the distribution of trapped charges within the material. Changes in the poling temperature may lead to noticeable shifts in the position and intensity of the relaxation peaks, which warrants further investigation for a deeper understanding of the dielectric behavior of the composites.
Data availability
The datasets used and / or analyzed during the current study are available from the corresponding author on reasonable request.
References
Park, J. et al. Styrene-based elastomer composites with functionalized graphene oxide and silica nanofiber fillers: mechanical and thermal conductivity properties. Nanomaterials 10, 1682. https://doi.org/10.3390/nano10091682 (2020).
Mensah, B. et al. Graphene-reinforced elastomeric nanocomposites: A review. Polym. Test. 68, 160–184. https://doi.org/10.1016/j.polymertesting.2018.04.009 (2018).
Wu, H., Thakur, V. K. & Kessler, M. R. Novel low-cost hybrid composites from asphaltene/SBS tri-block copolymer with improved thermal and mechanical properties. J. Mater. Sci. 51, 2394–2403. https://doi.org/10.1007/s10853-015-9548-1 (2016).
Alarifi, I. M. A comprehensive review on advancements of elastomers for engineering applications. Adv. Ind. Eng. Polym. Res. 6, 451–464. https://doi.org/10.1016/j.aiepr.2023.05.0 (2023).
Nasr, G. M., Badawy, M. M., Gwaily, S. E., Shash, N. M. & Hassn, H. H. Thermophysics properties of Butyl rubber loaded with different types of black. Polym. Degrad. Stab. 48, 237–241. https://doi.org/10.1016/0141-3910(95)00056-R (1995).
Fan, Y., Li, Q., Li, X., Lee, D. H. & Cho, U. R. Comparative study on carboxylated styrene butadiene rubber composites reinforced by hybrid fillers of rice Bran carbon and graphite. Carbon Lett. 27, 72–80. https://doi.org/10.5714/CL.2018.27.072 (2018).
Nassar, A., Yehia, A. A. & El-Sabbagh, S. H. Evaluation of the physico-mechanical and electrical properties of styrene-butadiene rubber/aluminum powder and styrene-butadiene rubber/cerium sulfate composites. Polymer 60 https://doi.org/10.14314/polimery.2015.100 (2015).
Wondu, E., Lee, G. & Kim, J. Enhancing dielectric properties, thermal conductivity, and mechanical properties of poly(lactic acid)–thermoplastic polyurethane blend composites by using a SiC–BaTiO₃ hybrid filler. Polymers 15, 3735. https://doi.org/10.3390/polym15183735 (2023).
Khan, M. F. S. & Balandin, A. A. Graphene–multilayer graphene nanocomposites as highly efficient thermal interface materials. Nano Lett. 12, 861–867. https://doi.org/10.1021/nl203906r (2012).
Nan, X. et al. A review of the establishment of effective conductive pathways of conductive polymer composites and advances in electromagnetic shielding. Polymers 16, 2539. https://doi.org/10.3390/polym16172539 (2024).
Amin, M., Nasr, G. M., El-Shokrofy, K. M. & Mansour, S. A. Study of the thermally stimulated depolarization current (TSDC) for composites of acrylonitrile butadiene rubber (NBR) loaded with HAF. Int. J. Sci. Technol. Res. 37A3, 313–318. https://doi.org/10.22099/ijsts.2013.1609 (2013).
Yangthong, H. et al. Hybrid alumina–silica filler for thermally conductive epoxidized natural rubber. Polymers 15, 3090. https://doi.org/10.3390/polym16233362 (2023).
Rasouli, S., Zabihi, A. & Fasihi, M. Bozorg Panah Kharat, G. A comprehensive study on the effect of highly thermally conductive fillers on improving the properties of SBR/BR-filled nano-silicon nitride. ACS Omega. 8, 32701–32711. https://doi.org/10.1021/acsomega.3c03548 (2023). https://pubs.acs.org/doi/
Nigam, V., Setua, D. K. & Mathur, G. N. Hybrid filler system for nitrile rubber vulcanizates. J. Mater. Sci. 36, 43–47. https://doi.org/10.1023/A:1004874305070 (2001).
Mohammad, H., Stepashkin, A. A., Laptev, A. I. & Tcherdyntsev, V. V.Mechanical and conductive behavior of graphite filled polysulfone-based composites. Appl. Sci. 13, 542. https://doi.org/10.3390/app13010542 (2023).
Akram, M., Javed, A. & Rizvi, T. Z. Dielectric properties of industrial polymer composite materials. Turkish J. Phys. 29, 355–362 (2005).
Burghate, D. K., Deogaonkar, V. S., Sawarkar, S. B. & Yawale, S. P. Thermally stimulated discharge current (TSDC) and dielectric constant of semiconducting glasses. Bull. Mater. Sci. 26, 267–271 (2003).
Cerveny, S., Bergman, R., Schwartz, G. A. & Jacobsson, P. Dielectric R- and β-Relaxations in uncured styrene butadiene rubber. Macromolecules 35, 4337–4342 (2002).
Elsharkawy, W. B. et al. Effect of γ-irradiation on thermally stimulated depolarization current spectra of polyethylene-grafted-poly (acrylic acid). Radiat. Eff. Defects Solids. 177, 671–687. https://doi.org/10.1080/10420150.2022.2073880 (2022).
Shi, Y., Zhang, L., Zhang, J. & Yue, Z. Thermally stimulated depolarization currents and dielectric properties of Mg0.95Ca0.05TiO3 filled HDPE composites. AIP Adv. 7, 125315. https://doi.org/10.1063/1.5012094 (2017).
Sarhan, A., Hassan, A., Abdelhamid, M. I., Fahmy, T. & Habib, A. Investigation and optimization of the piezoelectric nanocomposite ZnO/PVVH/P(VDF-TrFE) for energy harvesting applications. Sci. Rep. 15, 20246. https://doi.org/10.1038/s41598-025-04099-w (2025).
Mark, J. E., Erman, B. & Eirich, F. R. Science and Technology of Rubber (Academic, 1994).
Abdel-Bary, E. M., Amin, M. & Hassan, H. H. Dielectric properties of rubber–plastic blends. Eur. Polym. J. 10, 699–703 (1974).
ElFaham, M. M., Alnozahy, A. M. & Ashmawy, A. Comparative study of LIBS and mechanically evaluated hardness of graphite/rubber composites. Mater. Chem. Phys. 207, 30–35. https://doi.org/10.1016/j.matchemphys.2017.12.036 (2018).
Thabet, F. S., AbdElbary, A. M. & Nasr, G. M. Thermally stimulated depolarization current characteristic of EVA–conductive PPy composites. J. Compos. Mater. 54, 205–214. https://doi.org/10.1177/0021998319860891 (2020).
Fahmy, T., Elsayed, I. A., Abdelwahed, H. G. & Elsharkawy, W. B. Relaxation map analysis of Poly (vinyl chloride-co-vinyl acetate-co-2-hydroxypropyl acrylate)/poly(acrylonitrile-butadiene-styrene) Polymer blend. Int. J. Eng. Res. Technol. 11, 1371–1382 (2018).
Van Turnhout J. Thermally Stimulated Discharge of Polymer Electrets (Elsevier, 1975).
Hdiji, S. et al. Thermally stimulated depolarization current analysis to the determination of polarization and relaxation parameters in aged PMMA. IOP Conf. Series: Mater. Sci. Eng. 13, 012018. https://doi.org/10.1088/1757-899X/13/1/012018 (2010).
Namouchi, F. et al. Study of charge relaxations after thermal aging in Poly (methyl methacrylate). Phys. Procedia. 2, 961–970. https://doi.org/10.1016/j.phpro.2009.11.050 (2009).
Wang, C. et al. Study of relaxations in epoxy/rubber composites by thermally stimulated depolarization current and dielectric spectroscopy. Front. Chem. 10, 874685. https://doi.org/10.3389/fchem.2022.874685 (2022).
Photopoulos, P., Tsonos, C., Stavrakas, I. & Triantis D. A method for the calculation the activation energies of thermally stimulated depolarization current peaks: application in polyvinylidene fluoride/graphene nanocomposites. Phys. B: Condens. Matter. 622, 133–338. https://doi.org/10.1016/j.physb.2021.413338 (2021).
Migahed, M. D., Ahmed, M. T., Kotp, A. E. & El-Henawy, I. M. Iterative evaluation of thermally stimulated depolarization current peak parameters in polymers: a dipolar interaction approach to molecular dipole relaxation. J. Appl. Phys. 78, 5079–5083. https://doi.org/10.1063/1.359738 (1995).
Xu, F., Li, Z., Zhang, J., Yan, C. & Li, S. Research on interface charge behaviour and electrical threshold in layered epoxy/paper composites: from experiment to mechanism. High. Voltage. 9, 715–726. https://doi.org/10.1049/hve2.12536 (2024).
Ahmed, M. T. & Fahmy, T. Distributed relaxations in PVC/PEMA polymer blends as revealed by thermostimulated depolarization current. Polym. Test. 18, 589–599. https://doi.org/10.1016/S0142-9418(98)00057-9 (1999).
Kumar, D., Pal, A., Kumar, A. & Ahirwar, V. Thermally stimulated discharge current study of PMMA: PVP blends. Int. J. Pharm. Sci. Invent. 3, 44–50 (2014).
Arous, M., Hammami, H., Lagache, M. & Kallel, A. Interfacial polarization in piezoelectric fibre–polymer composites. J. Non-Cryst Solids. 353, 4428–4431. https://doi.org/10.1016/j.jnoncrysol.2007.02.076 (2007).
Moon, Y., Kim, G. & Jung, J. A study of the dielectric relaxation of nitrile–butadiene rubber, ethylene–propylene–diene monomer, and fluoroelastomer polymers with a self-developed Deconvolution analysis program. Polymers 17, 1539. https://doi.org/10.3390/polym17111539 (2025).
Quamara, J. K. & Sridharbabu, Y. Thermally stimulated depolarization current studies in pristine and 100 MeV Ni-ion irradiated PET/0.3 PHB polymer liquid crystal. Indian J. Pure Appl. Phys. 41, 790–800 (2003).
Abd El-kader, F. H., Gaffar, S. A., Basha, A. F. & Bannan, S. I. Abd Elkader, M. F. H. Thermally stimulated depolarization currents and thermal sampling technique of γ-irradiated gelatin and PVA homopolymers and 50/50 (wt/wt%) blend sample. Eur. J. Biophys. 2, 61–71 (2014).
Pal, A. Nature of thermally stimulated discharge current in pure and blend samples of PVC and PMMA. Int. J. Eng. Res. Technol. 2, 114–118 (2014).
Rytöluoto, I., Niittymäki, M. & Lahti, K. Practical notes on the measurement and interpretation of thermally stimulated discharge currents in biaxially oriented polypropylene. In Proceedings of the Nordic Insulation Symposium (NORD-IS 19), No. 26 64–69 (2019). https://doi.org/10.5324/nordis.v0i26.3280
Funding
This research received no specific grant from any funding agency in public, commercial, or not- for- profit sectors.
Author information
Authors and Affiliations
Contributions
F.S. Thabet conducted the experimental work, analyzed the data, and wrote the manuscript. G.M. Nasr provided guidance throughout the study, and contributed to the review of the final manuscript. Both authors reviewed and approved the final version.
Corresponding author
Ethics declarations
Competing interests
The authors declare no competing interests.
Additional information
Publisher’s note
Springer Nature remains neutral with regard to jurisdictional claims in published maps and institutional affiliations.
Rights and permissions
Open Access This article is licensed under a Creative Commons Attribution-NonCommercial-NoDerivatives 4.0 International License, which permits any non-commercial use, sharing, distribution and reproduction in any medium or format, as long as you give appropriate credit to the original author(s) and the source, provide a link to the Creative Commons licence, and indicate if you modified the licensed material. You do not have permission under this licence to share adapted material derived from this article or parts of it. The images or other third party material in this article are included in the article’s Creative Commons licence, unless indicated otherwise in a credit line to the material. If material is not included in the article’s Creative Commons licence and your intended use is not permitted by statutory regulation or exceeds the permitted use, you will need to obtain permission directly from the copyright holder. To view a copy of this licence, visit http://creativecommons.org/licenses/by-nc-nd/4.0/.
About this article
Cite this article
Thabet, F.S., Nasr, G.M. Thermally stimulated depolarization currents (TSDC) characteristic of styrene butadiene rubber (SBR)–graphite composites. Sci Rep 16, 2357 (2026). https://doi.org/10.1038/s41598-025-32109-4
Received:
Accepted:
Published:
Version of record:
DOI: https://doi.org/10.1038/s41598-025-32109-4











