Fig. 2
From: Impact of obstructive sleep apnea on functional performance and muscle quality of patients with COPD

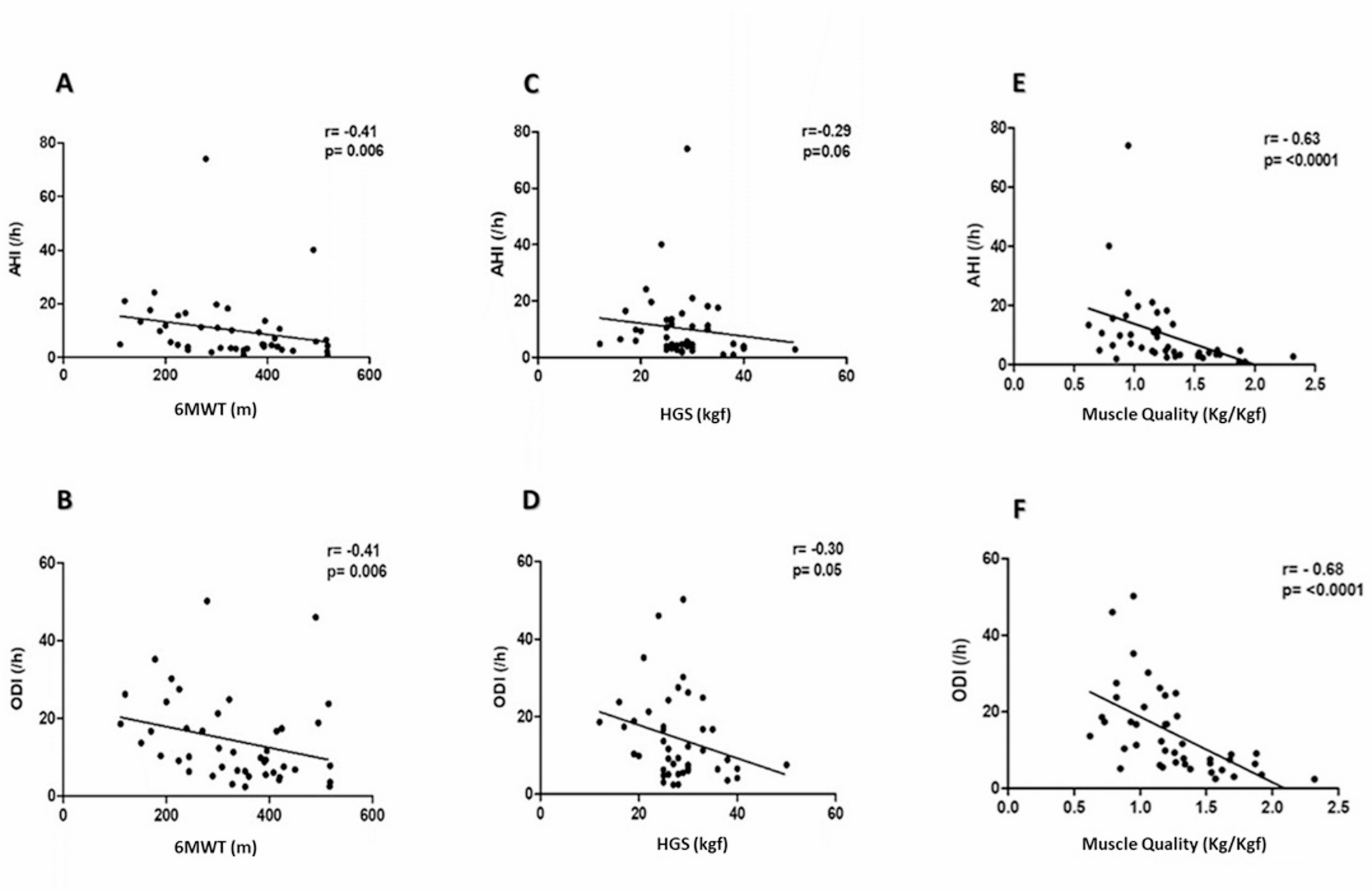
Correlation analysis between AHI and ODI indexes, functional capacity (6MWT and HGS) and muscle quality. (A) Spearman correlation between 6MWT and AHI; (B) Spearman correlation between 6MWT and ODI; (C) Spearman correlation between HGS and AHI; (D) Spearman correlation between HGS and ODI. (E) Spearman correlation between AHI and muscle quality; (F) Spearman correlation between ODI and muscle quality.