Abstract
As a naturally heterogeneous material, the mechanical behavior of rock mass is predominantly governed by its internal fractures. Among these, cross-cutting cracks exhibit notably distinct mechanical responses and energy dissipation mechanisms compared to single fissures, primarily due to their complex geometric configurations. In this study, uniaxial compression tests combined with Digital Image Correlation (DIC) technique were conducted to systematically investigate the mechanical properties and energy dissipation mechanisms of sandstone specimens containing cross-cutting cracks with varying inclination angles. The results demonstrate that the presence of cross-cutting cracks significantly deteriorates the mechanical performance of sandstone: both the peak strength and elastic modulus generally decrease with increasing crack angle, and a remarkable strength reduction of 60.15% is observed in specimens with 150° cracks. Furthermore, the crack inclination angle plays a controlling role in the energy dissipation mechanism. The failure of specimens with 30°-60° cracks is dominated by the abrupt release of accumulated elastic strain energy, exhibiting typical brittle characteristics. In contrast, the failure of specimens with 120°–150° cracks is characterized by a dissipation energy-dominated progressive process, where the energy dissipation ratio at peak stress increases significantly from 11.66% for the 30° specimens to 48.76% for the 150° specimens. Finally, the evolution of strain fields captured by DIC reveals that the crack intersection zone acts as the core area for energy dissipation and strain localization, controlling the coalescence process of macroscopic fracture surfaces and considerably reducing the overall bearing capacity of the specimens. This study elucidates the energy dissipation mechanism of cross-cutting cracked sandstone and its control effect on the failure mode, providing both theoretical and experimental foundations for stability assessment of fractured rock masses in engineering practice.
Introduction
Sandstone, a common sedimentary rock, is widely distributed in various geotechnical engineering projects, such as slopes, tunnels, mines, dam foundations, and underground storage facilities1,2,3. In practical engineering, rock masses often contain numerous natural fractures due to geological tectonic movement, weathering, and excavation disturbance4. Among these, cross-cutting cracks are particularly significant as they markedly alter the mechanical properties and stability of the rock mass.The presence of these cracks not only reduces the overall strength and stiffness of the rock mass but also tends to induce stress concentrations, crack propagation, and coalescence under loading, leading to progressive damage and potentially sudden failure. Such failure mechanisms are commonly observed in engineering hazards, including slope instability, tunnel collapse, and rockburst. Consequently, a comprehensive investigation into the mechanical behavior, energy evolution, and damage mechanisms of sandstone containing cross-cutting cracks under different stress states is essential for the stability assessment, disaster prediction, and prevention control of rock mass engineering.
Many studies have examined the mechanical properties of rock masses containing a single fissure or simple fissure combinations, providing significant insights. Uniaxial compression tests on granite specimens containing a single fissure conducted by Zhang et al.5 demonstrated that the elastic modulus increases monotonically with the fissure inclination angle. Xiang et al.6 investigated the mechanical properties and failure modes of fissured rock masses through uniaxial compression tests on specimens with varying inclination angles. Cheng et al.7 performed uniaxial compression tests on sandstone-like specimens containing a single pre-existing fissure of varying lengths. Their results indicated that both the peak and residual strengths decrease approximately linearly with increasing fissure length. Chen et al.8 performed uniaxial compression tests on limestone specimens containing a single fissure, as well as coplanar and non-coplanar triple-fissure sets with different inclination angles. Their study revealed the variations in strength, deformation, failure mode, energy dissipation characteristics, and volumetric damage variables in fissured hard rock.
To investigate the deformation, failure characteristics, and crack propagation behaviors of rock specimens with varying fissure angles, Peng et al.9 employed Digital Image Correlation (DIC) during uniaxial compression tests on specimens containing pre-existing fissures. They analyzed the stress-strain relationship, deformation field evolution, and failure characteristics. Lu et al.10 conducted uniaxial creep tests on rocks containing a single fissure at different inclination angles, identifying the creep damage evolution and crack propagation characteristics in such rock masses. Based on similarity simulation theory, Bo et al.11 investigated the damage evolution characteristics of rock masses containing pre-existing fissures at various angles. Zhao et al.12 performed uniaxial tests on rock-like specimens containing a single pre-existing crack and, in combination with Digital Image Correlation (DIC), revealed the crack propagation laws and meso-scale damage evolution mechanisms. Through uniaxial compression tests and Digital Image Correlation (DIC), Du et al.13 captured the global strain field evolution and analyzed the influence of different fissure geometries on the strength, displacement field, and energy evolution of rock specimens. Using the Discrete Element Method (DEM), Jiang et al.14 performed numerical uniaxial compression tests to investigate the failure mechanisms of rock specimens containing pre-existing fissures with different lengths and inclination angles. Zhang et al.15 utilized acoustic emission, acoustic wave, and photographic monitoring to study the failure strength and crack propagation characteristics of fissured rock.
In essence, crack propagation in rock is fundamentally an energy-driven process involving energy release and dissipation. Consequently, an energy-based analysis provides a more fundamental characterization of rock deformation and failure mechanisms. Wang et al.16 employed the particle flow code PFC2D to investigate the energy evolution and instability mechanisms of rocks containing a single fissure at different inclination angles. Zhang et al.17 conducted uniaxial cyclic loading-unloading tests on red sandstone specimens at four different loading rates, elucidating the evolution and distribution of elastic and dissipated energy with respect to stress. Based on uniaxial compression tests and rock energy principles, Wang et al.18 investigated the energy evolution during the deformation and failure of jointed rock masses. Their findings indicated that the presence of joints significantly weakens the energy storage capacity of the rock mass. Xing et al.19 performed uniaxial compression tests on 3D-printed rock-like specimens with varying fissure angles. Combined with Digital Image Correlation (DIC), they analyzed the specimens’ failure modes, mechanical properties, energy evolution, and fracture mechanisms.
Ma et al.20 conducted conventional triaxial and cyclic loading-unloading tests under various confining pressures, revealing the fracture process and energy dissipation laws of granite under confinement. Using a modified split Hopkinson pressure bar (SHPB) apparatus, Dai et al.21 performed dynamic impact tests on rocks containing parallel pre-existing fissures to investigate the influences of fissure angle and loading rate on energy consumption and damage evolution. Xin et al.22 conducted uniaxial graded loading creep tests, revealing the energy dissipation process in rocks under varying strain differences. Wang et al.23 performed both graded and variable lower-limit cyclic loading-unloading tests, identifying the energy evolution laws in rocks subjected to different cyclic loading paths. Zhang et al.24 performed uniaxial cyclic loading-unloading tests on fissured rock specimens with varying pre-existing fissure angles. Their work identified the influence of fissure angle on the damage process and energy evolution characteristics.
Although studies on single-fissured or simply jointed rock masses have been relatively comprehensive, natural rock masses typically contain cross-cutting fracture networks. Compared with single or simply arranged fissures, the core characteristic of cross-cutting fractures lies in the mechanical interaction at their intersection points. While single fissures only induce localized unidirectional stress concentration at their tips, the vicinity of cross-cutting fracture intersections generates superimposed multidirectional stress fields, leading to significantly intensified and more complex stress distribution. This complex stress environment not only promotes synchronous crack propagation from the intersection point in multiple directions but also accelerates the mutual connection and coalescence of differently oriented cracks, forming more continuous macroscopic fracture surfaces. Simultaneously, frictional sliding and deformation coordination between fractures trigger uneven energy dissipation, making the failure process of rock masses more abrupt and unpredictable25. Consequently, cross-cutting fractures possess higher damage potential than single fissures, and their mechanical response and energy evolution mechanisms are more complex26. This study systematically investigates the mechanical properties and energy dissipation behavior of sandstone containing cross-cutting fractures with varying inclination angles through uniaxial compression tests combined with digital image correlation (DIC) technology. The findings are crucial for stability assessment and disaster early-warning in practical engineering projects involving such complex fracture networks, effectively addressing engineering realities that are difficult to cover through single-fissure studies.
Overview of the experiment
Rock sample preparation
The rock specimens were obtained from a single parent block of red sandstone, which is widely distributed in Yunnan Province, China, to ensure material homogeneity and testing accuracy. Following the suggestions of the International Society for Rock Mechanics (ISRM), cylindrical specimens were cored from the block using a ZS-100 drilling machine. Subsequently, the cores were cut to a standard dimension of 50 mm in diameter and 100 mm in height using a rock cutting machine. The prepared specimens were ground to ensure a surface flatness error of less than 0.02 mm and an end-face parallelism error of less than 0.05 mm. This meticulous preparation process minimized experimental errors and enhanced the reliability of the test results.
To investigate the influence of cross-cutting cracks on the mechanical properties of sandstone, pairs of intersecting cracks were fabricated at the center of the specimen’s side surface using a high-pressure water-jet cutting machine. The cracks had intersection angles of 30°, 45°, 60°, 90°, 120°and 150°, with a constant length of 15 mm and a width of 1 mm. For each crack inclination angle, three specimens were prepared. Additionally, three intact specimens without cracks were prepared for reference. To ensure experimental accuracy, non-conforming specimens were discarded, resulting in a total of 21 standardized specimens being selected for testing. A schematic diagram of the crack geometries and a photograph of the prepared specimens are presented in Fig. 1 (Table 1).
Experimental program
This experiment employed a WAW-300B microcomputer-controlled electro-hydraulic servo universal testing machine to conduct uniaxial compression tests. This system has a maximum loading capacity of 150 kN, with a displacement control accuracy and force sensor accuracy both within ± 0.5% of the full scale (FS). All tests were performed under displacement control at a constant rate of 0.01 mm/s to ensure quasi-static loading conditions and to minimize the influence of dynamic effects.
Full-field strain measurements were obtained using a non-contact digital image correlation (DIC) system to capture the evolution of the surface deformation field in real time. Image acquisition was synchronized with the mechanical data acquisition and set to a frequency of 1 frame per second (fps). To ensure optimal contrast and random distribution for accurate DIC analysis, the speckle pattern was created using the spray-painting method. This involved first applying a white primer coat followed by black speckles, ensuring a nominal dot diameter of approximately 1 mm and achieving uniform coverage on the front surface of the specimen. The strain fields were computed using the VIC-2D software with a subset size of 21 pixels, a step size of 5 pixels, and a resulting strain calculation accuracy better than 0.01% (Fig. 2).
Analysis of test results
Analysis of stress–strain curves
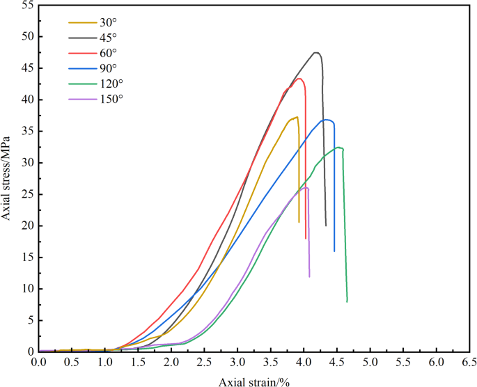
Figures 3 and 4 show the stress-strain curves obtained from uniaxial compression tests on sandstone specimens containing cross-cutting cracks with different inclination angles. Compared to the intact rock, the presence of cross-cutting cracks significantly alters the characteristic shape of the stress-strain curves. The failure process is more complex, exhibiting stress concentrations at the crack tips and subsequent dynamic crack propagation. Based on the characteristic features of the curves, the complete loading process can be divided into four consecutive stages: the compaction stage (OA), the elastic stage (AB), the plastic stage (BC), and the failure stage (CD).
Compaction Stage (OA): This stage is characterized by the progressive closure of inherent micro-fissures and the pre-existing cross-cutting cracks under axial loading. The deformation in this stage is dominated by the compression of pores and fissures, with no significant macroscopic changes observed in the rock structure.Elastic Stage (AB): Following crack closure, the external load is primarily borne by the rock matrix, resulting in an approximately linear stress-strain relationship that signifies a typical elastic response.Plastic Stage (BC): During this stage, the influence of the cross-cutting cracks becomes particularly pronounced. Stress concentrations at the crack tips lead to the initiation and stable propagation of new micro-cracks, resulting in significant plastic deformation and the continuous accumulation of internal damage.Failure Stage (CD): After the peak stress is attained, the internal micro-cracks coalesce to form macroscopic fracture surfaces. This leads to a rapid loss of bearing capacity, manifested as a sharp stress drop and culminating in the macroscopic failure of the specimen.For a more in-depth analysis, a representative specimen from each group, whose peak strength was closest to the group average, was selected. These include the intact specimen WZ-1, and the fissured specimens LX-30-2, LX-45-3, LX-60-1, LX-90-1, LX-120-1, and LX-150-1, corresponding to different fissure inclination angles.
In this study, the elastic modulus (E) of the sandstone specimens was calculated using the average slope method. This method is based on the elastic segment of the stress-strain curve, corresponding to section AB in Fig. 3. It involves identifying point A, where the stress begins to increase linearly after crack closure, and point B, the terminal yield stress point (approximately 70%-80% of the peak stress). The elastic modulus is then determined by calculating the slope of the line connecting these two points. The calculation formula is as follows:
where\(\:\:\upsigma _{{\text{A}}}\) and \(\:\:\upvarepsilon _{{\text{A}}}\) represent the stress and strain values at the starting point of the elastic stage, while \(\:\:\upsigma _{{\text{B}}}\) and \(\:\:\upvarepsilon _{{\text{B}}}\) denote the stress and strain values at the endpoint of the elastic stage. This method can effectively characterize the overall average elastic modulus of the material within the elastic deformation range.
As summarized in Table 2, the uniaxial compressive strength (UCS) of rock serves as a key indicator of the material’s resistance to compressive loads and is crucial for assessing stability and application potential in rock engineering. To ensure representative analysis, the specimen from each group with a compressive strength closest to the group’s mean value was selected for detailed examination. Based on the data in Table 2, the selected specimens for subsequent analysis are the intact specimen WZ-1 and the fissured specimens LX-30-2 (30°), LX-45-3 (45°), LX-60-1 (60°), LX-90-1 (90°), LX-120-1 (120°), and LX-150-1 (150°).
The intact rock specimen exhibited the highest peak strength of 65.5 MPa. The peak strength of the 30° fissured specimen significantly decreased to 36.3 MPa, accompanied by a reduced elastic modulus and a slight extension of the plastic stage, indicating that the fissures had begun to compromise both the overall elastic modulus and strength of the rock. The peak stress of the 45° fissured specimen recovered to 47.9 MPa, with a corresponding increase in elastic modulus. This suggests that the specific geometric relationship between the crack planes and the direction of the maximum principal stress in the 45° cross-fissured specimen resulted in higher normal stress components on the crack surfaces during compression. This enhanced the frictional effects along the crack faces, thereby improving the load-bearing capacity of the specimen to some extent. The peak stress of the 60° fissured specimen further decreased to 43.1 MPa, with minor fluctuations observed in the curve before the peak, revealing microcracking activity induced by stress concentration at the fissure tips. The 90° fissured specimen exhibited the most significant strength reduction, reaching only 36.1 MPa. Its curve transitioned rapidly from the elastic stage into plastic softening, indicating that this specific angle of cross-fissures most severely weakens the overall stability of the rock. The strength of the 120° and 150° fissured specimens decreased even further. Their curves displayed longer compaction stages, indicating that the high-inclination fissures lead to significant degradation of the initial elastic modulus and a more progressive failure process.
In summary, the presence of cross-cutting fissures significantly reduces both the peak strength and elastic modulus of the rock. However, the relationship between peak strength and fissure inclination angle is not simply monotonic. Under the 45° cross-fissure configuration, the favorable geometric alignment between the crack surfaces and the direction of the maximum principal stress enhances frictional effects and optimizes stress distribution, leading to a notably higher peak strength in the specimens. In contrast, under other inclination angles, the peak strength of the rock specimens generally exhibits a declining trend as the fissure angle increases. Particularly under high inclination angles, the rock enters the plastic deformation stage earlier, accompanied by significant degradation of the initial elastic modulus and strength, along with more pronounced damage accumulation effects.
Analysis of mechanical parameters
Peak strength, elastic modulus, and peak strain are key parameters for characterizing the mechanical properties and deformation behavior of rocks. To systematically investigate the influence of cross-cutting crack inclination angle on the mechanical behavior of sandstone, a quantitative comparative analysis of these parameters was performed. The results are presented in Figs. 5, 6 and 7; Table 2.
Compared to the intact rock, which exhibited average values of 65.5 MPa for peak strength, 32.8 GPa for elastic modulus, and 5.3 × 10⁻³ for peak strain, all mechanical properties of the sandstone specimens containing cross-cutting cracks were significantly degraded. The average peak strength demonstrated a continuous decline with increasing crack inclination angle, measuring 36.3 MPa (30°), 47.9 MPa (45°), 43.1 MPa (60°), 36.1 MPa (90°), 33.2 MPa (120°), and 26.1 MPa (150°). This corresponds to strength reduction rates of 44.58%, 26.87%, 34.19%, 44.88%, 49.31%, and 61.22%, respectively, indicating a particularly pronounced strength degradation for inclination angles exceeding 90°.A similar trend was observed for the elastic modulus. The average elastic modulus of the fissured specimens decreased to 21.6 GPa (30°), 26.3 GPa (45°), 22.2 GPa (60°), 23.1 GPa (90°), 19.6 GPa (120°), and 18.7 GPa (150°), representing reduction rates between 19.81% and 42.98%. These results confirm the weakening effect of cracks on rock stiffness, with the most severe stiffness degradation induced by high-angle cracks (120° and 150°).Furthermore, the peak strain of the fissured specimens was generally lower than that of the intact rock, with values of 3.81 × 10⁻³ (30°), 4.13 × 10⁻³ (45°), 3.97 × 10⁻³ (60°), 4.39 × 10⁻³ (90°), 4.59 × 10⁻³ (120°), and 4.06 × 10⁻³ (150°), indicating an altered deformation capacity. Notably, the specimens with 90° and 120° cracks exhibited relatively higher peak strain, suggesting that they underwent more substantial plastic deformation prior to failure.
The degradation of the aforementioned mechanical parameters is primarily attributable to the presence of cross-cutting cracks. First, significant stress concentrations are generated at the crack tips, which serve as initiation points for new crack formation and propagation, thereby directly reducing the effective load-bearing capacity of the specimen. Second, the cracks reduce the intact load-bearing area of the rock, leading to an increase in the actual stress level per unit area. Furthermore, the closure and slip of crack surfaces, along with their mutual interactions, collectively facilitate the progressive accumulation of damage, which in turn accelerates the overall deterioration of mechanical performance. In particular, the intersection zone of the cracks further intensifies the complexity of stress concentration and the risk of localized damage, ultimately resulting in rock failure at lower stress levels.
Analysis of energy dissipation
In rock mechanics, energy dissipation occurs throughout the entire process of rock deformation and failure, playing a dominant role in energy transformation. According to the law of conservation of energy in thermodynamics, and under the assumption of adiabatic conditions where no heat exchange occurs between the specimen and its surroundings, the total input work done by the testing machine is entirely converted into the internal energy of the rock.
This internal energy consists of elastic strain energy (Ue) and dissipated energy (Ud).The elastic strain energy (Ue) is recoverable; it drives elastic recovery upon unloading but, if the load exceeds the capacity, its abrupt release can lead to violent failure. Conversely, the dissipated energy (Ud) is irreversibly consumed in processes such as damage and plastic deformation and cannot be recovered. According to the first law of thermodynamics, the total energy input into the system is entirely converted into elastic strain energy and damage-induced dissipated energy within the rock. This energy balance is expressed as:
Where Ud is the dissipated energy and Ue is the releasable elastic strain energy. The relationship between the stress-strain curve and these two energy components,Ud and Ue,is illustrated in Fig. 8.
In the principal stress space, the energy components of a rock mass element can be expressed as follows27:
According to Hooke’s law, which governs the linear-elastic behavior of materials, the formula for elastic strain energy can be derived.
Under uniaxial compression conditions, where\(\:\left({{\upsigma\:}}_{2}={{\upsigma\:}}_{3}=0\right)\) Eq. (4) can be simplified to Eq. (5). In this scenario, the calculation of the elastic strain energy Ue becomes independent of Poisson’s ratio.\(\:\text{T}\text{h}\text{e}\:\text{f}\text{o}\text{r}\text{m}\text{u}\text{l}\text{a}\:\text{f}\text{o}\text{r}\:\text{c}\text{a}\text{l}\text{c}\text{u}\text{l}\text{a}\text{t}\text{i}\text{n}\text{g}\:\text{t}\text{h}\text{e}\:\text{e}\text{l}\text{a}\text{s}\text{t}\text{i}\text{c}\:\text{s}\text{t}\text{r}\text{a}\text{i}\text{n}\:\text{e}\text{n}\text{e}\text{r}\text{g}\text{y}\) Ue \(\:\text{i}\text{s}\:\text{a}\text{s}\:\text{f}\text{o}\text{l}\text{l}\text{o}\text{w}\text{s}:\)
The formula for the total energy, U,is given by:
In the equation, σi and εi denote the stress and strain values at each data point on the stress-strain curve, respectively. Thus, the dissipated energy Ud during the deformation and failure process can be calculated as:
To elucidate the mechanisms governing strength degradation and failure processes in rock, this study investigates the energy evolution during loading and its intrinsic relationship with rock strength and failure mechanisms. The energy conversion throughout the deformation-to-failure process was quantitatively calculated, including the total input energy, elastic strain energy, and dissipated energy. Given the brittle nature of the rock, wherein post-peak energy changes are often negligible, the analysis specifically focuses on the energy response prior to peak strength.
Figure 9 illustrates the energy evolution and corresponding stress-strain curves of sandstone specimens with different intersecting fissure angles during uniaxial compression loading. As shown in the figure, during the compaction stage, the closure of internal microcracks and frictional sliding along fissure surfaces cause energy to be primarily absorbed as dissipated energy. With increasing deformation, the total input energy demonstrates nonlinear growth, mainly due to the substantial energy consumption associated with microcrack closure and frictional effects, leading to dissipated energy generally slightly exceeding elastic strain energy during this phase. The energy values in the compaction stage primarily reveal the overall trend of energy evolution rather than providing precise absolute magnitudes. Even with certain margins of error, the characteristic profile of the energy curves—where dissipated energy remains significantly higher and increases more rapidly during compaction—clearly and reliably indicates that in the initial loading phase, most input energy is irreversibly consumed through pore compaction and fissure surface friction rather than being stored as elastic energy.Upon entering the elastic deformation stage, both the total energy and elastic strain energy exhibit an approximately linear increase with strain, indicating that the specimens predominantly exhibit elastic behavior after compaction, with no new crack formation. Consequently, the external work is mainly converted into elastic strain energy, while the dissipated energy remains relatively stable or even shows a slight decrease. In the plastic deformation stage, as the external load increases toward the peak stress, the specimens undergo plastic deformation accompanied by progressive micro-failure development, leading to localized damage and crack propagation. During this process, the alteration in internal rock structure causes a portion of the input energy to be dissipated, resulting in a noticeable increase in dissipated energy.
The energy analysis reveals a distinct transition from elastic dominance to dissipation dominance with increasing fissure dip angle. For low-angle fissures (30°-60°), the energy curves are characterized by elastic dominance, where elastic strain energy prevails throughout loading, as evidenced by its steeply rising curve. This indicates a robust energy storage capacity. The failure of these specimens is driven by the instantaneous release of a substantial amount of accumulated elastic strain energy at peak stress, typifying brittle failure. Conversely, the 90° fissure specimen exhibits the most significant compromise in structural integrity, resulting in the lowest capacity for storing elastic strain energy among all configurations. Meanwhile, its dissipated energy begins to increase rapidly at an earlier stage, signifying that a greater proportion of input energy is consumed by frictional sliding and inelastic deformation along the fissures rather than being stored, thereby moderating the abruptness of failure. In contrast, high-angle fissures (120°-150°) exhibit dissipation-dominated energy evolution, with dissipated energy exceeding elastic strain energy from the initial loading phase. This demonstrates that the input energy is continuously consumed by progressive frictional sliding and damage, rather than being stored. Consequently, these specimens possess limited releasable elastic strain energy, leading to a more gradual failure process with diminished brittle characteristics.
To quantitatively compare the energy distribution characteristics at different loading stages, the energy dissipation ratio (Ud/U) at peak stress was calculated for sandstone specimens with different intersecting fissure angles, as summarized in Table 3.The results indicate that as the fissure angle increases, the energy mechanism transitions from being elastic energy-dominated in specimens with low-angle fissures to being dissipative energy-dominated in those with high-angle fissures.The 30° specimen exhibits a dissipation ratio of 11.66%, indicating that most of the input energy is still stored as elastic strain energy.In contrast, the 150° specimen shows a dissipation ratio of 48.76%, demonstrating that the majority of input energy is consumed through friction and damage at earlier stages, which aligns with its more progressive failure process.
Analysis of stress field evolution
The full-field strain evolution in sandstone specimens with different intersecting fissure dip angles under uniaxial compression was analyzed using Digital Image Correlation (DIC). The contour maps of the maximum principal strain field graphically illustrate the complete process, from the initiation of micro-damage and stable crack propagation to the coalescence of macroscopic fracture surfaces. Based on the results presented in Fig. 10, the damage and degradation mechanisms corresponding to different dip angles are described and discussed.
Analysis of Fig. 10(a) indicates that at 15% of the peak stress, the small dip angle of the 30° intersecting fissures promoted their closure due to a favorably aligned orientation with respect to the maximum principal stress direction. At this stage, corresponding to the compaction stage on the stress-strain curve, strain concentration initiated at the tips of the two pre-existing fissures against a backdrop of a relatively uniform overall strain field, manifesting only as localized high-strain points. The external work was primarily converted into closing inherent microcracks and pre-existing fissures. Consequently, the energy was stored predominantly as recoverable elastic strain energy, with dissipated energy remaining negligible and damage accumulation considered minimal.As the load increased to 59% of the peak stress, the rock matrix commenced bearing the principal load, exhibiting a linear stress-strain relationship. During this elastic stage, high-strain regions propagated from the fissure tips towards the specimen’s center, while low-strain zones dispersed, indicating intensified strain localization. This phase was marked by a pronounced increase in dissipated energy, signaling the stable propagation of newly generated microcracks at the fissure tips. Concurrently, elastic strain energy continued to accumulate, storing energy for subsequent failure; however, the growing proportion of dissipated energy denoted the onset of effective damage accumulation.At the peak stress, the pre-developed strain localization band rapidly coalesced into a distinct macroscopic inclined fracture. This fracture, connecting the tips of both fissures and propagating along a potential shear plane, established the intersection zone as the nucleus for strain concentration and energy conversion. At this critical instant, the substantial accumulated elastic strain energy was released abruptly, driving the unstable propagation of the macroscopic crack, whilst the dissipated energy surged to its maximum. This intense energy concentration within the coalesced fracture band resulted in a precipitous drop in bearing capacity on the stress-strain curve, characterizing a typical brittle failure mode.As shown in the macroscopic failure pattern (Ⅳ), the fracture surface connects the tips of both pre-existing cracks, exhibiting a characteristic single inclined shear failure mode.
Analysis of Fig. 10(b), when the load reached 59% of the peak stress, strain concentration in the sandstone specimen with 45° intersecting fissures initially developed at both the intersection area and the tips of the fissures, forming localized high-strain bands. At this stage, fissure closure commenced and the rock matrix progressively assumed more load, resulting in a non-uniform strain field distribution. Despite this heterogeneity, the overall mechanical response remained dominated by elastic deformation. The energy was characterized by predominant accumulation of elastic strain energy, alongside a moderate increase in dissipated energy, indicating the initiation of microcracking.With a further load increase to 90% of the peak stress, the high-strain bands extended along the direction of maximum shear stress towards the specimen’s center, delineating a distinct strain localization path. The fissure intersection evolved into the core of strain concentration, revealing a preliminary potential failure surface. This phase was accompanied by a notable rise in dissipated energy and a concurrent deceleration in the accumulation rate of elastic strain energy, signifying the transition into a stage of stable crack propagation and continuous damage accumulation.Upon loading to the peak stress, the high-strain bands coalesced rapidly, forming a through-going macroscopic shear fracture. This fracture propagated through the fissure intersection area and traversed the entire specimen. The strain field exhibited intense localization, with the maximum strain values recorded at the fissure tips and the intersection. During this final stage, the stored elastic strain energy was released abruptly, accompanied by a drastic surge in dissipated energy, culminating in the brittle failure of the specimen.As shown in the macroscopic failure pattern (Ⅳ), the fracture path initiates from the crack intersection zone and propagates through the specimen, forming a dominant macroscopic shear band.
Analysis of Fig. 10(c) reveals that at 70% of the peak stress, the surface of the sandstone specimen with 60° intersecting fissures had already developed heterogeneously distributed point-like high- and low-strain zones. Pronounced high-strain concentration bands emerged at the fissure tips, with the strain being particularly intense at the fissure intersection. This stage was marked by a rapid increase in dissipated energy, indicating the onset of an active period of micro-damage, while the elastic strain energy remained at a high level, storing energy for subsequent failure.As the load increased to 90% of the peak stress, the maximum principal strain concentration band continued to develop and extend along the vertical direction. The high-strain zones became more concentrated and interconnected around the fissure tips, whereas the low-strain areas were confined to both sides of the fissures. During this phase, characterized by the rapid expansion of the strain band, the dissipated energy rose significantly, and the growth rate of elastic strain energy decelerated. This energy shift signifies that damage accumulation began to dominate the energy transformation process, and the cracks transitioned into a stage of unstable propagation.Upon reaching the peak stress, a through-going macroscopic failure surface was formed. The high-strain concentration zones were almost entirely aggregated at the fissure tips and along the penetration path, with point-like low-strain localization bands appearing on both sides. Subsequently, the specimen rapidly lost stability and failed. In this final stage, the coalescence of the strain band led to a violent release of the stored elastic strain energy and a sharp increase in dissipated energy. The failure was primarily characterized by shear propagation, evidenced by a distinct strain localization path and highly concentrated damage.As shown in the macroscopic failure pattern (Ⅳ), the specimen ultimately develops a through-going fracture surface which is primarily vertically oriented and connects the crack tips, demonstrating highly localized failure characteristics.
Analysis of Fig. 10(d) indicates that at a relatively low stress level of 37% of the peak stress, the strain field in the sandstone specimen with 90° intersecting fissures was generally uniform. However, localized high-strain concentration zones had simultaneously emerged near the upper loading platen and at the fissure tips. The intersecting fissures significantly compromised the structural integrity of the specimen, facilitating the incubation of macroscopic surface cracks. It is anticipated that nascent cracks would preferentially initiate within these high-strain areas. During this stage, energy accumulation was spatially homogeneous, with a low level of dissipated energy.As the load increased to 70% of the peak stress, a high-strain band developed and progressively extended vertically from the fissure tips. Concurrently, point-like low-strain zones migrated towards the center of the specimen. This phase was characterized by a significant rise in dissipated energy, indicating stable crack propagation. Nonetheless, elastic strain energy still constituted a dominant portion, implying that the system had stored substantial energy for subsequent failure.Upon loading to the peak stress, the strain field revealed that a complete vertical fracture surface had been fully established. This high-strain band propagated vertically from the fissure tips, connecting both loading ends. Notably, two distinct high-strain bands formed abruptly at the left and right fissure tips. Low-strain regions were primarily confined to the areas flanking the intersecting fissures. The presence of the cross-cutting fissures led to concentrated energy dissipation at the intersection, which intensified local damage. At this critical moment, the dissipated energy surged dramatically, accompanied by a rapid release of the stored elastic strain energy, resulting in a characteristic brittle tensile splitting failure.As shown in the macroscopic failure pattern (Ⅳ), the specimen ultimately develops a nearly vertical through-going splitting crack, exhibiting characteristic tensile splitting failure features.
Analysis of Fig. 10(e) indicates that at 28% of the peak stress, point-like low-strain zones were relatively uniformly distributed within the 120° intersecting fissure sandstone specimen. However, high strain had already exhibited an asymmetric concentration pattern at the fissure tips. The total accumulated energy was low, accompanied by minimal energy dissipation. Nevertheless, the morphology of the strain distribution clearly revealed the early influence of high-angle fissures on the energy distribution and transmission pathways.As the load increased to 70% of the peak stress, the strain band expanded significantly along the direction of maximum shear stress, while the point-like low-strain zones became nearly uniformly distributed throughout the entire stress field. This stage was characterized by a marked increase in dissipated energy, suggesting that the high dip angle enhanced frictional sliding along the fissure surfaces. Consequently, a greater proportion of the input energy was consumed as frictional work rather than being stored as elastic strain energy.Upon loading to the peak stress, an inclined macroscopic shear fracture surface was ultimately formed. Three distinct high-strain localization bands emerged at the fissure tips, indicating considerable complexity in the crack propagation path. The fissures at both ends of the intersection propagated rapidly and coalesced, leading to unstable rupture. At this critical point, the dissipated energy reached its maximum, and the stored elastic strain energy was rapidly released. The presence of high-angle fissures facilitated energy dissipation over a broader area through friction and damage, which, to some extent, delayed the onset of the final, abrupt failure.As shown in the macroscopic failure pattern (Ⅳ), multiple crack branches developed from the crack tips with complex propagation paths, ultimately coalescing into an asymmetric inclined through-going main crack.
Analysis of Fig. 10(f) indicates that at 59% of the peak stress, the sandstone specimen with 150° intersecting fissures exhibited a distinct mechanical response. Unlike specimens with lower dip angles, which demonstrated clear strain localization at low stress levels, this specimen maintained widely distributed low-strain regions, with only faint high-strain points detectable at the fissure tips. This pattern suggests a significant weakening effect of the high-angle fissures on the initial structural stiffness, resulting in slow energy accumulation and minimal dissipation.As the load increased to 89% of the peak stress, a primary high-strain band developed at the right fissure tip and propagated vertically, defining a distinct strain localization path. This stage was characterized by a steady increase in dissipated energy, indicating that the input energy was primarily consumed by frictional sliding along the fissure surfaces and inelastic deformation of the rock matrix, rather than by rapid crack propagation. Consequently, the specimen exhibited more pronounced ductile deformation characteristics.At the peak stress, the strain field confirmed the formation of a macroscopic fracture surface. The high-strain band at the right fissure tip coalesced, while a separate vertical high-strain localization band emerged at the left tip. Notably, the dissipated energy exceeded the elastic strain energy, demonstrating that throughout the loading process, energy was preferentially consumed in progressive frictional sliding and damage accumulation, rather than being stored and released abruptly. This energy dissipation mechanism resulted in a failure mode with reduced suddenness compared to specimens with smaller fissure angles.As depicted in the macroscopic failure pattern (Ⅳ), the failure was primarily initiated from the right tip of the pre-existing crack, which propagated and coalesced to form a primary macroscopic crack, while concurrent secondary fracturing occurred at the left tip. The overall failure surface demonstrates considerable complexity, exhibiting progressive failure characteristics.
Conclusions
This study systematically elucidates the controlling influence of intersecting fissure dip angles on the mechanical behavior, energy evolution, and failure mechanisms of sandstone through uniaxial compression tests, energy principle analysis, and full-field strain monitoring via Digital Image Correlation (DIC). The primary conclusions are summarized as follows:
-
(1)
Macroscopic mechanical properties are significantly degraded by fissure inclination angles. The presence of intersecting fissures substantially weakens the macroscopic mechanical performance of sandstone. Both peak strength and elastic modulus generally exhibit a declining trend with increasing fissure angle. Specifically, the specimen with 150° fissures demonstrates a strength reduction rate as high as 60.15%, confirming the particularly severe damaging effect of high-angle intersecting fissures on sandstone integrity. This indicates a strong correlation between the degree of mechanical degradation and the fissure dip angle.
-
(2)
The relationship between peak strength and fissure angle is not simply monotonic. The specimen with 45° fissures exhibits an anomalous strength recovery. This special pattern results from the favorable geometric configuration formed between the fissures and the maximum principal stress direction, which significantly enhances the frictional effects along the crack surfaces.
-
(3)
This study establishes a failure criterion centered on energy evolution characteristics, revealing that the fissure dip angle governs the energy conversion mode in sandstone prior to failure. The energy dissipation ratio demonstrates a clear angular dependence, increasing from 11.66% in 30° specimens to 48.76% in 150° specimens. With the increase of crack inclination angle, the dominant energy mode transitions from “elastic energy dominance at low angles” to “dissipated energy dominance at high angles”. The failure of low-angle specimens is driven by the rapid release of accumulated elastic energy, exhibiting brittle characteristics. In contrast, the failure process of high-angle specimens is more progressive due to the continuous consumption of dissipated energy.
-
(4)
DIC-based full-field strain monitoring visually captures the complete progressive process from micro-damage accumulation to macroscopic fracture coalescence in sandstone. Strain concentration initially develops at fissure tips and intersection zones, progressively expands and interconnects under increasing load, and ultimately coalesces into a dominant fracture surface. The fissure dip angle plays a decisive role in determining the final failure mode: low-angle fissures (30°-60°) predominantly induce shear-slip failure; 90°fissures lead to characteristic tensile splitting failure; while high-angle fissures (120°-150°) trigger more complex tensile-shear mixed-mode failure.
-
(5)
The fissure intersection zone constitutes not only the core area for stress concentration and strain localization, but also a critical hotspot for energy dissipation. The superposition effect of complex multidirectional stress fields at the intersection significantly accelerates the initiation and coalescence of microcracks, substantially compromising the specimen’s overall load-bearing capacity. This region thus emerges as the pivotal zone governing the mechanical behavior and failure characteristics of sandstone.
Data availability
The datasets used and analysed during the current study available from the corresponding author on reasonable request.
References
Hu, H. T. & Zhao, X. Y. Studies on Rockmass structure in slope of red bed in China. Chin. J. Geotech. Eng. 28 (06), 689–694 (2006).
Kai, K. et al. Sandstone slope stability analysis under wetting-drying cycles based on generalized hoek-brown failure criterion. Front. Earth Sci. 10, Article 838862 (https://doi.org/10.3389/FEART.2022.838862 (2022).
Yuan, C., Zhang, H. M., Che, H. B., Zheng, S. H. & Meng, X. Z. Research on the mechanical response and damage mechanism of freeze-thaw fractured red sandstone in Pingshanhu mining Area, Gansu Province. Chin. J. Coal Sci. 39, 1–15. https://doi.org/10.13225/j.cnki.jccs.2024.1550 (2024).
Xu, R. C., Zhao, Y., Hu, Y. B. & Yu, H. C. Experimental investigation on the effect of preexisting orthogonal cross flaws on cracking behaviors and acoustic emission characteristics of red sandstone. Theor. Appl. Fract. Mech. 122, Article 103634 (https://doi.org/10.1016/J.TAFMEC.2022.103634 (2022).
Zhang, G. K., Li, H. B., Wang, M. Y. & Li, X. F. Study on characteristics of failure strength and crack propagation of granite rocks containing a single fissure. Chin. J. Rock. Mech. Eng. 38 (S1), 2760–2771. https://doi.org/10.13722/j.cnki.jrme.2018.1151 (2019).
Ma, X. X. & Li, W. T. Study on failure process and permeation evolution of single-cracked rock. Adv. Mater. Sci. Eng. 2018, 1–9. https://doi.org/10.1155/2018/7915652 (2018).
Cheng, X. Y., Li, S. G. & Gong, X. P. Experimental study on damage and failure characteristics of similar materials with prefabricated fracture sandstone. Coal Sci. Technol. 50 (2), 171–178 (2022).
Chen, X. et al. Study on the influence of fracture distribution on mechanical properties of limestone. Chin. J. Rock. Mech. Eng. 43 (12), 2861–2873. https://doi.org/10.13722/j.cnki.jrme.2024.0491 (2024).
Peng, C. et al. Study on failure characteristics of pre-crack rock based on digital image correlation (DIC) method and particle flow code (PFC3D). Comput. Part. Mech. 12 (5), 1–18. https://doi.org/10.1007/S40571-025-01056-2 (2025).
Lu, X. Y. et al. Creep mechanical properties and damage evolution law of single crack rock. Chin. J. Appl. Mech. 42, 1–14 (2025).
Bo, L. et al. Damage evolution of rock containing prefabricated cracks based on infrared radiation and energy dissipation. Theor. Appl. Fract. Mech. 125, Article 103853 (https://doi.org/10.1016/J.TAFMEC.2023.103853 (2023).
Zhao, C., Liu, F. M., Tian, J. S., Matsuda, H. & Morita, C. Study on single crack propagation and damage evolution mechanism of rock-like materials under uniaxial compression. Chin. J. Rock. Mech. Eng. 35 (S2), 3626–3632. https://doi.org/10.13722/j.cnki.jrme.2015.1270 (2016).
Du, X. et al. Study on the failure characteristics of rocks with different crack shapes based on digital image correlation and particle flow code. Ind. Geotech. J. 1–17. https://doi.org/10.1007/S40098-025-01340-1 (2025).
Jiang, Y. J., Luan, H. J., Wang, Y. H., Wang, G. & Wang, P. Study on macro–meso failure mechanism of pre-fractured rock specimens under uniaxial compression. Geotech. Geol. Eng. 36 (5), 3211–3222. https://doi.org/10.1007/s10706-018-0531-x (2018).
Zhang, G. K., Li, H. B., Wang, M. Y. & Li, X. F. Crack propagation characteristics in rocks containing single fissure based on acoustic testing and camera technique. Rock. Soil. Mech. 40 (S1), 63–72. https://doi.org/10.16285/j.rsm.2018.2103 (2019).
Wang, T. J. Instability evolution of single fracture with different dip angles on heterogeneous rock. Geotech. Eng. Technol. 38 (5), 539–547 (2024).
Zhang, Z. Z. & Gao, F. Experimental research on energy evolution of red sandstone samples under uniaxial compression. Chin. J. Rock. Mech. Eng. 31 (5), 953–962 (2012).
Wang, G. L., Zhang, L., Xu, M., Liang, Z. Y. & Ran, L. B. Energy damage evolution mechanism of non-across jointed rock mass under uniaxial compression. Chin. J. Geotech. Eng. 41 (4), 639–647 (2019).
Xing, G. H., Luo, X. B., Qin, Y. J., Liu, B. & Sun, Q. Energy evolution and cracking mechanism of pre-cracked 3D printing rock mass. Chin. J. Undergr. Space Eng. 19 (4), 1177–1187. https://doi.org/10.20174/j.juse.2023.04.015 (2023).
Ma, Y. A. et al. Experimental study on the mechanical properties and energy dissipation of granite during the fracturing process. Chin. J. Rock. Mech. Eng. 44 (5), 1313–1325 (2025).
Dai, B. et al. Experimental study of rock with parallel cracks under different loading rates: energy dissipation and damage evolution. Chin. J. Rock. Mech. Eng. 43 (S1), 3397–3412. https://doi.org/10.13722/j.cnki.jrme.2023.0283 (2024).
In, Y. J. & Li, M. Y. Study on deformation mechanism and energy dissipation of rock creep under step loading. Chin. J. Rock. Mech. Eng. 35 (S1), 2883–2897. https://doi.org/10.13722/j.cnki.jrme.2015.0724 (2016).
Wang, Z. S. et al. Analysis of energy evolution and acoustic emission characteristics of rocks under Cyclic loading and unloading. Appl. Sci. 13 (18), 10453. https://doi.org/10.3390/APP131810453 (2023).
Zhao, Y., Li, Q., Zhang, K., Yang, Y. & Gu, X. Effect of fissure angle on energy evolution and failure characteristics of fractured rock under uniaxial Cyclic loading. Sci. Rep. 13 (1), 2678–2678. https://doi.org/10.1038/S41598-022-26091-4 (2023).
Chen, X., Xiao, T. & Zhe, H. Effect of cross fracture angle on mechanical properties and damage propagation failure of sandstone. J. Lanzhou Univ. Technol. 51 (03), 219–224 (2025).
Sun, W., Du, H., Shao, J. & Zhou, F. Numerical analysis of crack propagation evolution of specimens with different dip angles of cross fractures. Geotech. Geol. Eng. 37 (4), 3379–3386. https://doi.org/10.1007/s10706-019-00852-x (2019).
Xie, H., Ju, Y. & Li, L. Criteria for strength and structural failure of rocks based on energy dissipation and energy release principles. Chin. J. Rock. Mech. Eng. 24 (17), 3003–3010 (2005).
Funding
Liaoning Provincial Doctoral Scientific Research Startup Fund Program Project (2025-BS-0404).
Author information
Authors and Affiliations
Contributions
Mengze Yang and Ming Guo wrote the main manuscript text Liqi Mu and Na Zhang prepared Figs. 1, 2, 3, 4, 5, 6, 7, 8, 9 and 10. All authors reviewed the manuscript.
Corresponding author
Ethics declarations
Competing interests
The authors declare no competing interests.
Additional information
Publisher’s note
Springer Nature remains neutral with regard to jurisdictional claims in published maps and institutional affiliations.
Rights and permissions
Open Access This article is licensed under a Creative Commons Attribution-NonCommercial-NoDerivatives 4.0 International License, which permits any non-commercial use, sharing, distribution and reproduction in any medium or format, as long as you give appropriate credit to the original author(s) and the source, provide a link to the Creative Commons licence, and indicate if you modified the licensed material. You do not have permission under this licence to share adapted material derived from this article or parts of it. The images or other third party material in this article are included in the article’s Creative Commons licence, unless indicated otherwise in a credit line to the material. If material is not included in the article’s Creative Commons licence and your intended use is not permitted by statutory regulation or exceeds the permitted use, you will need to obtain permission directly from the copyright holder. To view a copy of this licence, visit http://creativecommons.org/licenses/by-nc-nd/4.0/.
About this article
Cite this article
Yang, M., Guo, M., Mu, L. et al. Mechanical properties and energy dissipation mechanism of sandstone with cross-cutting joints under uniaxial loading. Sci Rep 16, 2354 (2026). https://doi.org/10.1038/s41598-025-32179-4
Received:
Accepted:
Published:
Version of record:
DOI: https://doi.org/10.1038/s41598-025-32179-4










