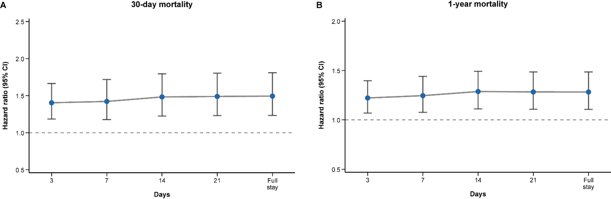
Fig. 6

Sensitivity analysis of the association between glycemic variability and mortality in critically ill trauma patients, using different time windows. The plots show the fully adjusted hazard ratios (HRs) and 95% confidence intervals (CIs) for 30-day (A) and 1-year (B) all-cause mortality. The coefficient of variation (CV) was calculated over the first 3, 7, 14, and 21 days of the ICU stay, as well as for the entire stay.