Fig. 2
From: Clinical significance and potential molecular mechanisms of SYT15 expression in lung adenocarcinoma

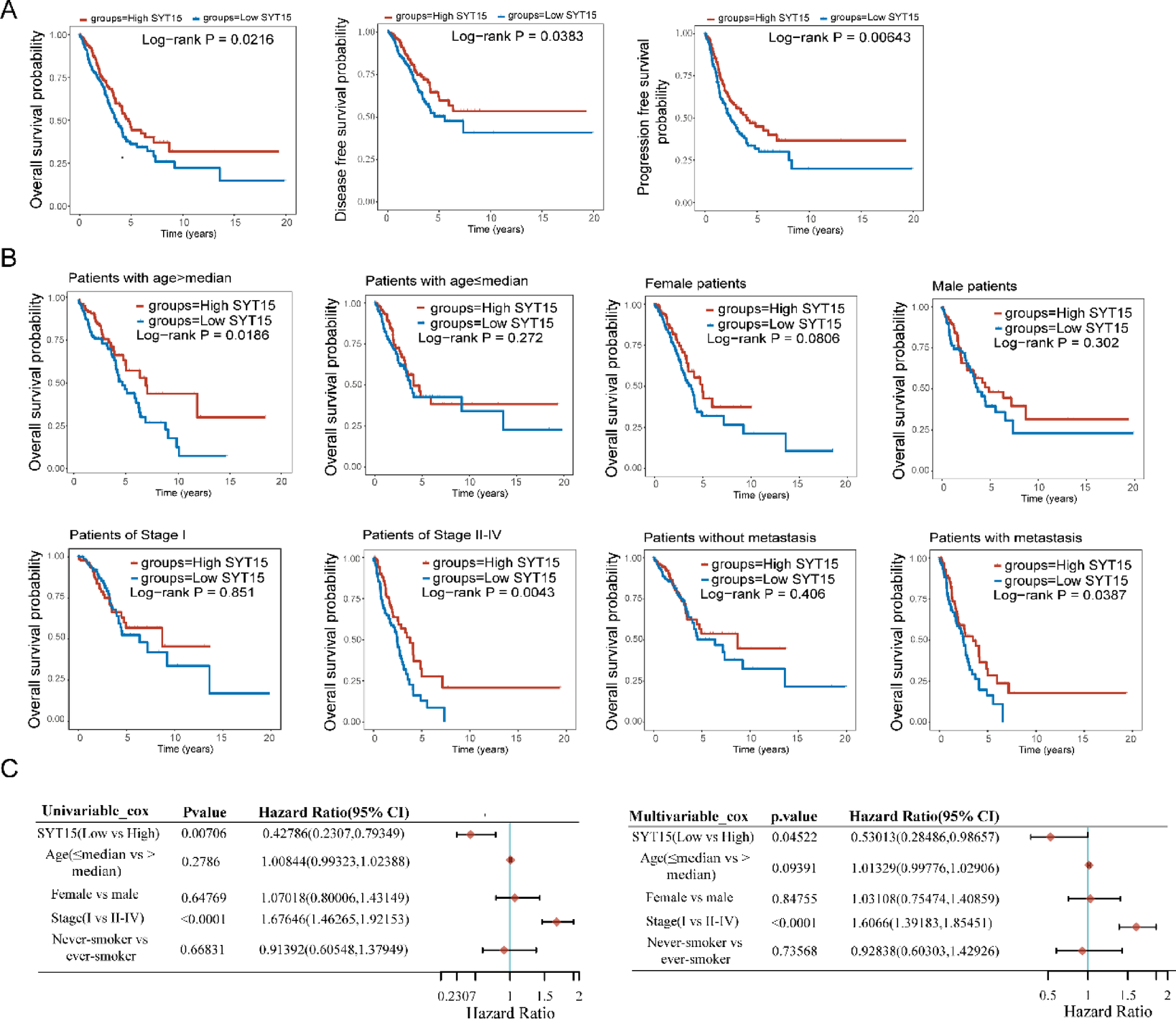
Association of SYT15 expression with overall survival and key clinical prognostic factors in LUAD patients. (A) Prognostic impact of SYT15 expression on patient outcomes in the TCGA cohort. (B) OS analysis by SYT15 expression in various LUAD subgroups in the TCGA cohort. (C) Univariable and multivariable Cox regression analyses of OS in the TCGA cohort.