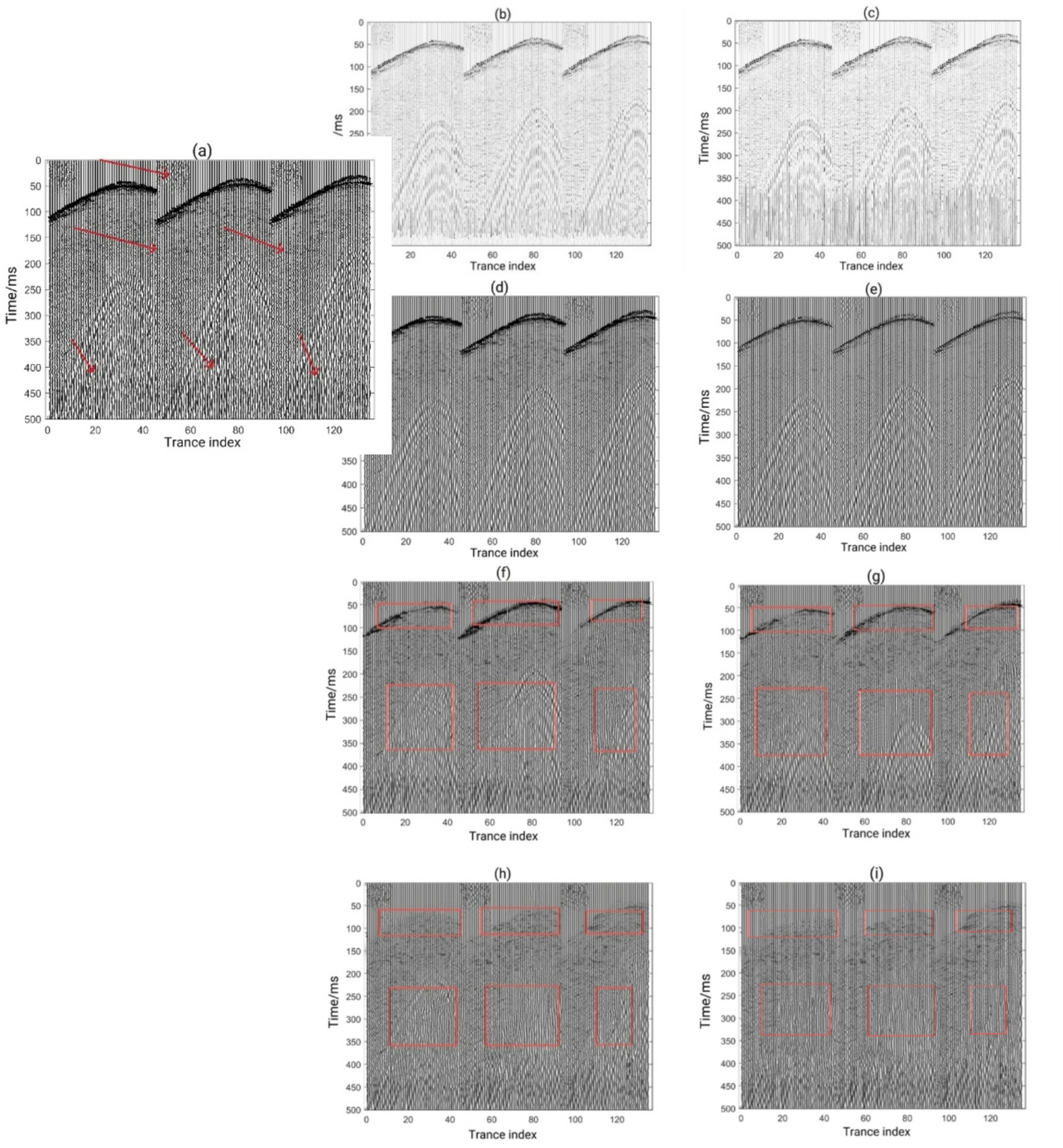
Fig. 12

Comparison results between different methods. a Field data; b denoising result by U-Net; c denoising result by DnCNN; d denoising result by DeepDenoiser; e denoising result by MSARDNet; f–i represent the noise profiles corresponding to U-net, DnCNN, DeepDenoiser, and MSARDNet, respectively.