Abstract
The conversion of low-grade coals (LGCs) into value-added fertilizer products presents a promising avenue for proper utilization of natural resources. The object of this study is the synthesis of ammoniated nitrohumic acids (ANHAs) from an Iranian LGC to enhance soil nitrogen storage. The demineralized LGCs were subjected to a two-stage pretreatment comprising H2O2 oxidation followed by HNO3 treatment, with and without an initial thermal step. The treated low-grade coals (TLGCs) were subjected to NH4OH and the extracted ANHAs were incorporated into a sandy loam soil for an incubation experiment to monitor nitrate levels over time. Despite an 11% weight loss, the optimized H2O2/HNO3 pretreatment more than doubled the carboxyl group content of the NHA compared to the HNO3 pretreatment alone, as confirmed by FTIR spectroscopy. Response Surface Methodology (RSM) analysis for optimizing the H2O2-assisted oxidation of LGC identified contact duration as the most significant parameter for carboxyl group content, followed by temperature and H2O2 concentration, which exhibited comparable influence. The solid-to-solution ratio demonstrated no significant effect. Soil incubation experiments revealed that the synthesized ANHA with a nitrogen content of 6.53% served as an effective slow-release nitrogen source. Over 40 days, the nitrogen release percentage was inversely proportional to the application rate, decreasing from 59.8% at 0.1% to 17.5% at 1%. Crucially, even at the lowest application rate of 0.1%, the released nitrogen (38.2 mg NO3–N kg− 1) fell well within the optimal range of 20–40 mg NO3–N kg− 1. These results demonstrate that the ANHAs produced from LGCs under optimized chemical pretreatments are a highly promising fertilizer for boosting soil nitrogen content.
Similar content being viewed by others
Introduction
The production and application of conventional nitrogen fertilizers pose significant environmental and economic threats. The manufacturing of these fertilizers accounts for approximately 1.2% of global energy consumption. More critically, a substantial portion of the applied nitrogen )50% or more (is lost from agricultural lands through nitrate (NO3−) leaching into groundwater1. These create an urgent need for innovative fertilizer technologies that can enhance nitrogen use efficiency (NUE) and mitigate environmental pollution.
In the search for natural alternatives, attention has turned to abundant and low-value carbon-rich materials to create a new generation of efficient fertilizers2. Humic acids (HAs) derived from lignite and subbituminous coal offer a promising opportunity for the sustainable utilization of such low-grade coals (LGCs). This approach valorizes low-value materials into high-value, slow-release nitrogen sources, and thereby overcomes the inefficiencies of conventional nitrogen fertilizers. This approach is supported by a recent finding that a lignite-based slow-release nitrogen fertilizer significantly decreased the nitrate leaching up to 57% compared to urea in a calcareous soil3. Beyond environmental benefits, an engineered nitro-humic fertilizer achieved a NUE of 41.5%, compared to conventional urea, which typically exhibits a much lower NUE of around 30%4. Recently, nitrogen-enriched HAs have gained significant research interest as fertilizers5,6,7.
The LGCs as valuable yet underutilized resources with enough carbon content, present cost-effective raw materials for the production of engineered HA-based fertilizers8. However, the direct extraction of HAs from LGCs typically results in products with several inherent limitations, including low yield, high ash content, low nitrogen content, and a scarcity of active functional groups9. This has led to innovative approaches to modify these substances to significantly enhance their nitrogen loading capacity. Chemical treatments are primary methods that drastically alter the molecular structure of LGCs and introduce oxygen-containing functional groups (e.g., carboxyl) which act as binding sites for ammonium ions. Through chemical processes including oxidation, nitration and subsequent ammoniation, the structure of HAs derived from chemically modified LGCs can be tailored to introduce a high density of N-binding functional groups, transforming them into ammoniated nitrohumic acids (ANHAs). Several pretreatment strategies have been investigated with the aim of enhancing the yield and activity of coal-based humic acids10,11,12. These parameters are influenced by key factors such as reagent concentration, temperature, contact time and solid-to-solution ratio. The order in which chemical reagents are added is also important. Therefore, a systematic experimental approach is required to optimize the extraction process.
Among oxidizing agents, acidic hydrogen peroxide (H2O2) is considered one of the most effective13. Under acidic conditions, H2O2 acts as an electrophile, leading to the depolymerization and carboxylation of carbonaceous materials without reducing their nitrogen content. The resulting products exhibit elemental and structural features similar to those of natural soil HAs14. Evidence from the literature confirms the efficacy of H2O2 oxidation for enhancing HA yield from LGCs. For instance, Wang et al.15 reported a 17.3% increase in HA content from lignite after H2O2-assisted oxidation. Similarly, Moskalenko et al.16 reported that the HA yield from Khoranorsk lignite rose from 12.9 to 32.9% as the H2O2 concentration increased from 3 to 10%. A critical consideration in this process is the potential for H2O2 decomposition catalyzed by inherent minerals like pyrite17. Consequently, a demineralization pretreatment is likely essential to conserve oxidant and maximize treatment effectiveness.
A key drawback of oxidized LGCs is their insufficient nitrogen content, despite high HA yields, as reported for various lignites12,18. This gap led to the synthesis of NHAs, obtained by treating LGCs with nitric acid (HNO3). Early works on NHAs were largely driven by the goal of creating nitrogenous humic fertilizers, which offer the benefit of controlled nitrogen release. The reaction of HNO3 with LGCs introduces nitro groups (–NO2) into the structure via nitration. The efficacy of this method is demonstrated by Fatima et al.19, who observed a 75% increase in nitrogen content following HNO3 treatment of bituminous coal. To achieve even higher nitrogen levels, up to 7%, some researchers follow nitration with ammoniation20. Notably, Patti et al.12 synthesized an ammoniated nitrohumic acid (ANHA) with a nitrogen content as high as 8%.
The response of LGCs to thermal oxidation significantly impacts their suitability for HA extraction. Air oxidation functionalizes aromatic rings with oxygen-containing groups, depolymerizing the coal into “oxycoal”21. This process, as demonstrated by Rong et al.22 on anthracite heated to 200 °C, increases surface area and oxygen functionality, thereby improving wettability and solution interaction23. Furthermore, the thermal oxidation of pyrite to iron oxides promotes demineralization during acid treatment, augmenting HA recovery.
Evidence from the literature and theoretical considerations suggest that ANHA could represent a novel, low-cost nitrogen carrier with the potential to serve as a sustainable alternative to conventional nitrogen fertilizers. Its application holds promise for mitigating nitrogen loss and enhancing nitrogen retention in soil, thereby improving crop uptake. However, a thorough review of the literature confirms that there has been no direct investigation into the properties of ANHAs or their efficacy as a nitrogen fertilizer in soil. Even the soil application of NHAs has received exceedingly limited research attention. Accordingly, the purpose of this research is to investigate the effectiveness of LGC-derived ANHA as a carbonaceous nitrogen fertilizer and elucidate the effects of key synthesis conditions on its properties. Following soil application, the nitrate release profile was monitored to evaluate its slow-release characteristics. The findings of this research underscore the significant potential of coal-based fertilizers in advancing sustainable soil nutrient management.
Results and discussion
LGC oxidation with hydrogen peroxide
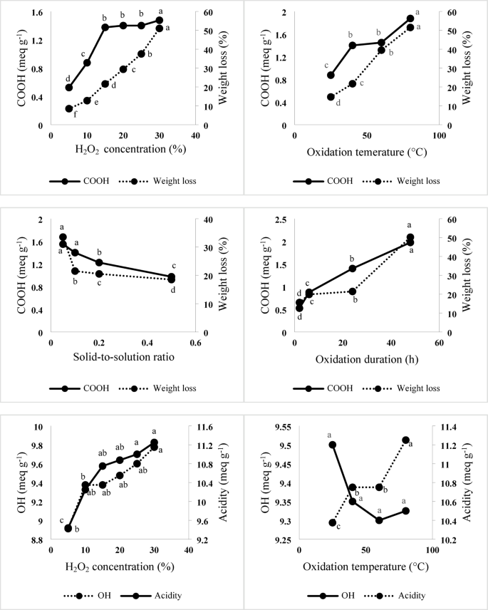
Figure 1 shows changes in the content of functional groups, total acidity, and weight loss of low-grade coal (LGC) under various hydrogen peroxide (H2O2) oxidation conditions. Increasing the H2O2 concentration from 5% to 15% resulted in a 2.6-fold increase in carboxyl group content. However, further increase did not cause significant additional changes. At low concentrations, H2O2 oxidizes available and active sites on the coal structure, whereas at high concentrations, these sites become depleted and H2O2 begins to degrade pre-formed carboxyl groups. Finally, the rate of carboxyl group formation and its degradation reach a dynamic equilibrium24. In contrast, weight loss showed a significant upward trend as H2O2 concentration increased. Total acidity and phenolic hydroxyl groups increased only up to a 10% H2O2 concentration. The figure also illustrates that higher oxidation temperatures led to an increase in carboxyl group content. The carboxyl content at 40 °C was 1.6 times higher than at 25 °C. Nevertheless, temperatures above 40 °C were considered unsuitable due to excessive weight loss. In contrast to the carboxyl groups, total acidity and phenolic hydroxyl groups were not affected by temperature variations. Reducing the solid-to-solution ratio (SSR) from 1:2 to 1:10 significantly increased carboxyl content. Weight loss also increased sharply when the SSR was lowered from 0.1 to 0.05. Extending the oxidation duration from 2 h to 48 h increased carboxyl content from 0.525 to 1.975 meq g−1. However, due to a sharp weight loss (29%) observed between 24 and 48 h, a 24-hour contact duration was selected for subsequent experiments. Neither SSR nor oxidation duration had a considerable effect on total acidity or phenolic hydroxyl groups. In summary, higher H2O22 concentration, longer oxidation duration, increased temperature, and lower SSR all enhanced carboxyl group formation but also raised weight loss. The Response Surface Methodology (RSM) analysis revealed that the significant parameters affecting carboxyl group content were, in order of importance: contact duration > temperature ≈ H2O2 concentration, whereas for weight loss the order was: H2O2 concentration > contact duration ≈ temperature. In contrast, the solid-to-solution ratio exhibited no significant influence on either response variable. The following regression equations were developed to model the relationships between the dependent and independent variables:
A good statistical model should have a coefficient of determination (R²) greater than 0.75, indicating strong agreement between the regression equation and the experimental data. In this study, the obtained R² values of 0.855 and 0.865 demonstrate a good fit within the tested range. Through RSM, the optimum response values (COOH = 1.57 meq g−1 and weight loss = 19%) were identified as a H2O2 concentration of 15%, SSR of 1:10, contact duration of 24 h and temperature of 40 °C.
Aqueous H22O2 is an environmentally friendly oxidant for coal treatment25. Its effectiveness is demonstrated in a study on Australian brown coal, where oxidation with H2O2 at 60 °C for 2 h dramatically increased the extraction yield from 10 to 84%13. However, optimal conditions for oxidation are highly dependent on the coal type9. Oxidation of coal with H22O2 forms carboxyl groups around the aromatic structures, while simultaneously yielding low-molecular-weight acids26. This process often leads to substantial weight loss, which is influenced by temperature and duration. For instance, one study on lignite reported a maximum weight loss of 53.5% at 70 °C over 16 h, attributing it primarily to decomposition into CO213. An even more pronounced weight loss of approximately 81% was observed by Miura et al.27 for Morwell coal oxidized with a 30% H2O2 solution (SSR = 1:20) at 60 °C for 24 h. In contrast, using the same coal but a shorter contact time of 2 h and a higher SSR of 1:10, Mae et al.28 achieved a significant 44.7% increase in carboxyl functional groups without the extreme weight loss. The impact of H2O2 concentration was highlighted by Fong et al.11, who found that increasing the concentration from 5% to 10% caused a substantial 18.1% weight loss in Mukah coal, but without a corresponding significant increase in carboxyl group content. Ultimately, the effective use of H2O2 for LGC upgrading requires optimizing process conditions to balance functional group generation against undesirable weight loss.
Oxidized LGC treatment with nitric acid
Table 1 shows changes in the content of functional groups, total acidity, and weight loss of the oxidized LGC (OLGC) under different HNO3 treatment conditions. Increasing the HNO3 concentration from 3 N to 6 N led to a significant 128% increase in carboxyl content, despite the associated 43.8% increase in weight loss. A similar trend was observed when the temperature was raised from 60 to 80 °C, though with a comparatively lower increase in carboxyl groups (66.8%). A lower solid-to-solution ratio (SSR) of 1:20 and a longer contact time of 4 h were rejected. While these conditions drastically increased weight loss by 142% and 158%, they did not correspondingly enhance the content of functional groups. Therefore, for the subsequent analysis, the conditions were set to a 6 N HNO3 concentration, a temperature of 80 °C, an SSR of 1:10, and a treatment duration of 2 h.
Table 1 shows changes in the content of functional groups, total acidity, and weight loss of the oxidized LGC (OLGC) under different HNO3 treatment conditions. As shown in this table, increasing the concentration of HNO3 from 3 to 6 N led to an undesirable increase in weight loss (43.8%), while a positive increase in the content of carboxyl groups (128%). A similar trend was observed for raising the reaction temperature from 60 to 80 °C, but with the difference that a lower increase in the content of carboxyl groups (66.8%) was observed. Decreasing the SSR from 1:10 to 1:20 and increasing the reaction duration from 2 to 4 h dramatically increased the weight loss (142% and 158%, respectively), but they did not significantly affect the content of functional groups. Based on these results, nitric acid concentration of 6 N, reaction temperature of 80 °C, SSR of 1:10 and treatment duration of 2 h were chosen for the next part of present study.
The treatment of coal with HNO3 is proposed to proceed via carboxylation and nitration of aromatic rings29. Kinney and Ockert30 demonstrated the severe solubilizing effect of hot concentrated HNO3 on bituminous coal, reporting that only 20% of the starting material remained as an insoluble residue after half an hour of treatment. This substantial degradation is further illustrated by the work of Fong et al.11, who found that treatment of a LGC with 10% HNO3 resulted in a 13.40% weight loss, notably lower than the 50.33% loss caused by a 10% H22O222 treatment under their conditions. The chemical outcome of HNO3 treatment is highly dependent on the experimental conditions. Moliner et al.31 observed that in low HNO3 concentrations (0.5–3 N), the carboxyl group content was primarily influenced by reaction duration and temperature. In contrast, at high concentrations (7–12 N), the acid concentration and temperature were the dominant factors. In summary, HNO3 is an effective but aggressive modifier for LGC. The process success is critically dependent on optimizing reaction conditions to maximize oxygen-containing functional groups while simultaneously minimizing dissolution.
Based on the elemental analysis results presented in Table 2, the combined H2O2/HNO3 treatment significantly altered the chemical composition of the LGC. The process reduced the carbon, hydrogen, and sulfur content while increasing the oxygen and nitrogen content compared to the untreated LGC. A key finding is the effect of the final neutralization step with NH₄OH, which resulted in a sample (TLGC2) with higher oxygen and nitrogen content than the sample neutralized with KOH (TLGC1). In contrast to the slight increase in the O/C ratio reported by Fatima et al.19 for other coals, the H2O2/HNO3 treatment in this study resulted in a considerably more pronounced enhancement. Furthermore, the C/N ratio of the treated LGC severely decreased compared to the untreated LGC. This decrease was only 31.8% in the works of Fatima et al.19.
Comparative FTIR analysis of untreated and treated LGC
The FTIR spectra of untreated and treated LGCs are illustrated in Fig. 2. The broad peaks at 3416–3434 cm− 1 are assigned to OH-stretching vibrations. The decrease in intensity of this band following H2O22 and HNO3 treatments indicates a partial loss of hydroxyl functional groups. An increase in the intensity of the band at 2920–2923 cm− 1, corresponding to aliphatic C–H stretching vibrations, was observed after treatment. This suggests the cleavage of cross-linking structures and aliphatic side chains attached to aromatic units, leading to the release of aromatic rings from the LGC matrix, a finding consistent with the results reported by Xiong et al.32. A notable enhancement in band intensity was also detected in the 1712–1722 cm−1 region, which is characteristic of C=O stretching in carboxyl groups. Quantitative analysis confirmed this trend, revealing carboxyl group contents of 0.5 meq g−1 in untreated LGC, 2.05 meq g−1 after HNO3 treatment, and 4.37 meq g− 1 after combined H2O2/HNO3 treatment. This corresponds to a 113% increase in carboxyl group content following the combined treatment compared to HNO3 treatment alone. These results support the mechanism proposed by Miura et al.27, in which oxidation breaks covalent bonds and introduces carboxyl groups into the coal structure. In contrast, the intensity of the aromatic C=C stretching band at 1611–1628 cm− 1 decreased after treatment, indicating partial degradation of aromatic rings, as previously noted by Fatima et al.19. This observation contrasts with the findings of Saha and Sarkar33, who reported the complete disappearance of both O–H and C=C bands in HNO3-treated lignite. A distinct peak observed at 1553 cm− 1 in the treated samples is attributed to nitro groups (–NO2), consistent with the results of Syahren and Wong34, who identified –NO2 incorporation in HNO3-treated coal at 1540 cm− 1. Additionally, the absorption band at 1069–1008 cm− 1, which may be associated with mineral components or polysaccharides, increased in intensity after treatment, a result also reported by Fong et al.11.
Thermal pretreatment of low-grade coal
Figure 3 shows that weight loss occurred during all three treatment stages and progressively increased with higher temperatures. While thermal pretreatment alone at 100 °C caused only a slight (7.6%) weight loss, the combined thermal pretreatment and chemical treatment (TLGC-TPC) resulted in a substantial 58% weight loss at 600 °C. This mass reduction coincided with a decline in carboxyl group content. For thermal pretreatment alone, carboxyl content decreased by 64% and stabilized beyond 400 °C. For TLGC-TPC, however, a minor decrease of 14% occurred between 100 and 400 °C, followed by a sharp 75% reduction between 400 and 600 °C, attributable to decarboxylation reactions. While prior studies report the formation of new oxygen-containing functional groups during coal thermal treatment35 and note the stability of HAs up to 300 °C36, our findings indicate that weight loss began below this threshold. Initial mass loss around 100 °C is likely due to moisture loss, followed by a gradual decline up to 600 °C, where only 52% of the original sample remained. Post-treatments with H2O2 and HNO3 further increased weight loss but enhanced carboxylation at lower temperatures. However, after thermal pretreatment at 600 °C, severe decarboxylation dominated. Although phenolic hydroxyl groups are known to remain stable except at elevated temperatures35, this was not directly measured here. Based on the overall weight loss and carboxyl content trends, a thermal pretreatment temperature of 100 °C was selected for subsequent analysis.
Determination of an appropriate extractant for nitrohumic acid (NHA)
According to Fig. 4, the highest pure yield of NHA (about 82.0%) was obtained from TLGC using 0.5 M NH₄OH as the extractant, regardless of thermal pretreatment at 100 °C. When using 0.5 M KOH, the NHA pure yield was higher for thermally pretreated TLGC (78.4%) than for non-pretreated TLGC (68.4%). In contrast, the pure yield of HA from untreated LGC was very low (averaging 16.4%) with both extractants, indicating that oxidation significantly enhances the formation or accessibility of NHA within the coal matrix. Among the extractants, 0.5 M NH4OH was more effective than 0.5 M KOH, likely due to preferential interactions between ammonium ions and oxygen-containing functional groups, facilitating the formation of ammonium humates37.
Chemically, the NHA extracted from TLGC with 0.5 M NH4OH had the highest carboxyl group content (4.45 meq g− 1), while NHA from thermally pretreated TLGC contained fewer carboxyl groups (3.70 meq g− 1). Untreated LGC yielded HA with significantly lower carboxyl content (2.4 meq g− 1), confirming that oxidation increases carboxylation. A similar trend was observed with KOH extraction, though to a lesser extent. In contrast, NHAs from untreated LGC contained more phenolic OH groups than those from treated samples (Fig. 4c), suggesting partial conversion of phenolic groups to carboxyl groups during H22O2/HNO3 treatment13. Total acidity values were similar across all extracted NHA samples (Fig. 4d). In conclusion, 0.5 M NH4OH is the preferred extractant for obtaining high NHA yield and carboxyl group content from oxidized Kalibar LGC.
Elemental composition of has and NHAs
Based on the data in Table 3, NHAs extracted from treated LGCs (TLGC and TLGC-TPC) exhibited lower carbon and higher nitrogen content compared to HAs derived from untreated LGC. Furthermore, NHAs extracted with NH₄OH exhibited a higher nitrogen content (5.71%) than those extracted with KOH (4.49%). This difference was even more pronounced when NH₄OH was used in the acid neutralization step. While previous studies have investigated lignite conversion to ammoniated nitrohumic acid (ANHA) using a special reactor that fixes nitrogen above 10% in organic form20,38, the current study introduced ammonium ions only to NHA adsorption sites, achieving a maximum nitrogen content of 6.53%.
The E4/E6 ratios further revealed structural differences, where NHAs from treated LGCs showed higher average ratios (5.39) compared to those from untreated LGC (3.04), suggesting a decrease in molecular weight due to breakdown of aromatic backbones into smaller moieties during oxidation process19.
FTIR analysis of the ammoniated nitrohumic acids (ANHAs)
The results from Fig. 5 show characteristic peaks for carboxyl and nitro groups at around 1704–1717 cm−1 and 1542–1543 cm−1, respectively. The stronger intensity of these peaks in ANHA2 supported the preferential use of this HA. In contrast, the band near 1614–1620 cm−1, assigned to aromatic C = C stretching, showed weaker absorbance for ANHA2 compared to the other HAs. This suggests greater degradation of the aromatic backbone in ANHA2. Thermal pretreatment in ANHA2-TPC likely helped mitigate such extensive structural breakdown, as evidenced by the similar peak intensities observed for AHA2 and ANHA2-TPC.
Properties of the soil used in the incubation experiment
Some physical and chemical characteristics of the soil used in this study were reported in Table 4. As shown, the soil was calcareous with a medium texture, low organic matter content and no signs of salinity.
Dynamics of soil nitrate concentration during incubation with ANHA
Analysis of variance (ANOVA) indicated that incubation time, type of nitrogenous organic additive, application rate, and their interactions all significantly affected soil nitrate concentration at the 1% probability level. Figure 6 illustrates the temporal changes in soil nitrate concentration under the different treatment conditions. Nitrogen release from the additives required approximately one week, after which nitrate concentrations increased sharply, plateauing after one month in all treatments compared to the control. Notably, the TLGC2 treatment yielded the highest nitrate concentration (79.8 mg NO3–N kg−1) on day 40, though no significant difference was observed between TLGC2 and ANHA2 by the end of the incubation. The ANHA2-TPC treatment resulted in lower nitrate levels, suggesting that thermal pretreatment adversely affected nitrogen availability. The initial rise in nitrate level during the first week (averaging 28.7 mg NO3–N kg−1 above control) likely resulted from ammonium exchange with soil exchangeable cations and subsequent oxidation. Continued increases thereafter reflect the gradual release of nitrogen, mainly as nitrite or nitrate, from the additives into the soil solution.
As shown in Fig. 7, soil nitrate concentration increased with higher application rates, peaking at 109.4 mg NO3–N kg−1 for the 1% application rate. However, the percentage of nitrogen released decreased with increasing application rate. The nitrogen release percentage of additive at application rates of 0.1–1% after 40 days was 86.6%, 62.6%, 29.6%, and 18.0% (corresponding to 52.7, 76.2, 90.1, and 109.7 mg NO3–N kg−1) for TLGC2 treatment, 59.8%, 53.6%, 30.7%, and 17.5%, (corresponding to 38.2, 68.4, 98.1, and 111.5 mg NO3–N kg−1) for ANHA2 treatment and 73.5%, 42.6% 19.6% and 10.3% (corresponding to 46.2, 53.5, 61.6, and 64.7 mg NO3–N kg−1) for ANHA2-TPC treatment, respectively. In contrast, nitrate content in the control treatment increased only slightly, from 13.2 to 14.1 mg NO3–N kg−1. Sarlaki et al.4 produced a NHA from lignite that exhibited a prolonged nitrogen release period of 77 days, releasing 71.75% of its total nitrogen.
Agronomically, and depending on the plant species, soil nitrate levels should generally remain between 10 and 50 mg NO3–N kg−1, with 20–40 mg NO3–N kg−1 considered optimal for plant uptake. At levels below 10 mg NO3–N kg−1, there is a high probability of yield reduction39. While the control treatment was near the lower threshold, the 0.1% TLGC2 application, providing a concentration of 52.7 mg NO3–N kg−1 slightly exceeded the upper limit, posing a potential leaching risk. In comparison, ANHA2 at 0.1% provided an optimal 38.2 mg NO3–N kg−1−1, and ANHA2-TPC at the same rate supplied 46.2 mg NO3–N kg−1, within acceptable limits but closer to the upper range.
Based on the results, ANHA2 at a 0.1% application rate is recommended as the optimal amendment for achieving a balance between efficient plant nutrition and minimal environmental impact.
Conclusions
This study successfully demonstrated the potential of ANHAs derived from Kalibar LGC as a promising organic nitrogen source. The production process of H2O2-oxidized LGC was optimized using RSM, and the results demonstrated that simultaneously maximizing carboxyl content (1.57 meq g−1) and minimizing weight loss (19%), was achieved with a H2O2 concentration of 15%, a SSR of 1:10, a contact duration of 24 h and a temperature of 40 °C. Quantitative analysis revealed that the optimized H2O2/HNO3 pretreatment significantly enhanced the carboxyl group content of the NHA to 4.37 meq g−1, representing an increase of approximately 113% compared to the 2.05 meq g−1 achieved with HNO3 treatment alone, despite an 11% weight loss. In this study, the nitrogen content of the extracted HA, designated ANHA, was enhanced through three approaches and reached a maximum of 6.53%. In addition to HNO3 pretreatment, which loads nitro groups, acid neutralization with NH4OH and HA extraction with NH4OH were also utilized. Following application of ANHA to soil, a gradual release of nitrate was observed, reaching a plateau after 40 days. However, application rates above 0.1% posed a potential risk of nitrate leaching. ANHA-based fertilization offers a promising alternative to conventional fertilizers by improving nitrogen use efficiency. Future research should focus on evaluating the effects of ANHAs on plant growth and nutrition.
Materials and methods
Preparation and characterization of low-grade coal sample
The low-grade coal (LGC) sample was obtained from the Kalibar coal mine in East Azerbaijan Province, Iran, and transported to the Soil Chemistry Laboratory at the University of Tabriz. After grinding, the samples were spread out and air-dried to remove surface moisture, then passed through a 60-mesh sieve40. Based on proximate analysis, the sample contained 6.6% moisture, showed a 34.5% weight loss at 450 °C, and had an ash content of 28%. From these values, the fixed carbon content was calculated to be 30.9%. Ultimate analysis performed using a CHNS analyzer (Thermo Finnigan, Flash EA1112 Series) provided the following elemental composition on a dry weight basis: C = 49.28%, H = 3.60%, N = 1.08% and S = 3.49%. The high sulfur content (> 3%) of this LGC classifies it as a high-sulfur one41. Considering the analysis results, the LGC sample is categorized as subbituminous coal42. The oxygen content, calculated by difference, was 14.55%. Additional chemical characterization indicated a pH1:10 value of 5.67 and an electrical conductivity (EC1:10) of 1.20 dS m−1 in water.
LGC thermal pretreatment
The LGC was heated at temperatures of 100, 200, 400, and 600 °C for two hours and the percent weight loss was calculated by the following equation11:
where, m1 (g) and m2 (g) represent the weight of LGC before and after thermal treatment, respectively. The thermally pretreated samples were then subjected to oxidation with H2O2 and treatment with HNO3. The optimal pretreatment temperature was selected by evaluating the carboxyl group content and the weight loss data.
LGC demineralization and debituminization pretreatments
The LGC samples were demineralized prior to oxidation, by mixing them with a 0.5 M HCl solution at a 1:10 solid-to-solution ratio and shaking the mixture for two hours. This was followed by filtration and washing with distilled water to remove excess acid. This demineralization step was carried out to prevent any potential interference from mineral matter during the subsequent oxidation process40. The debituminization pretreatment43 was purposely omitted, as it was found to significantly reduce the humic acid (HA) yield from the LGC. This suggests that the ethanol-toluene extraction used for debituminization not only removes aliphatic and oxidation-resistant components but also co-extracts the constituents that contribute to the HA yield.
Hydrogen peroxide oxidation of demineralized LGC
The demineralized LGC was oxidized using aqueous hydrogen peroxide (H2O2) solutions of varying concentrations (% H2O2) at specific solid-to-solution ratios (SSR). The oxidation was carried out in a warm water bath at a controlled temperature (T) for a set duration (t)44. The experiment consisted of the following sets of factors and their levels:
-
(1)
%H2O2 = 5%, 10%, 15%, 20%, 25% and 30%; T = 40 °C; SSR = 1:10; t = 24 h.
-
(2)
T = 25 °C, 40 °C, 60 °C, and 80 °C; %H2O2 = 15; SSR = 1:10; t = 24 h.
-
(3)
SSR = 1:2, 1:5, 1:10, 1:20; %H2O2 = 15; T = 40 °C; t = 24 h.
-
(4)
t = 2 h, 6 h, 24 h, and 48 h; %H2O2 = 15; T = 40 °C; SSR = 1:10.
At the end of each time period, the suspensions were filtered and washed with distilled water until the electrical conductivity (EC) of the washings stabilized. The retained solids were then dried in a vacuum oven at 60 °C until a constant mass was reached28. Following the H2O2 oxidation pre-treatment, the weight loss, total acidity and the contents of carboxyl and phenolic hydroxyl groups were quantified45. Finally, the significant factors influencing the oxidation process were identified through Analysis of Variance (ANOVA) and the means were compared using Duncan’s Multiple Range Test at 5% probability level. All statistical analyses were conducted using SPSS software, version 22 (IBM Corporation, Armonk, NY, USA). Moreover, the optimal condition for LGC oxidation was determined by the Response Surface Methodology (RSM) using R software.
Nitric acid treatment of oxidized LGC
The H₂O₂-oxidized LGC was subsequently subjected to treatment with nitric acid (HNO₃) on a water bath under the following conditions:
-
(1)
HNO3 = 3 N and 6 N; T = 80 °C; SSR = 1:10; t = 2 h.
-
(2)
T = 60 °C and 80 °C; HNO3 = 6 N; SSR = 1:10; t = 2 h.
-
(3)
SSR = 1:10 and 1:20; HNO3 = 6 N; T = 80 °C; t = 2 h.
-
(4)
t = 2 h and 4 h; HNO3 = 6 N; SSR = 1:10; T = 80 °C.
To prevent foaming, the suspensions were stirred intermittently12. Afterwards, the mixtures were filtered and washed with distilled water until the filtrates reached a constant pH. The resulting solids were then dried in a vacuum oven at 60 °C. Following the HNO₃ treatment, the weight loss, total acidity, and the contents of carboxyl and phenolic hydroxyl groups were measured45. Based on the results obtained, the optimal conditions for the HNO₃ treatment of LGC were established.
Prior to HA extraction from the HNO₃-treated LGC samples, their pH was adjusted to 7.0 using either ammonia drops or 1 M KOH. The FTIR spectra of the raw LGC, H₂O₂-oxidized LGC, and HNO₃-treated LGC were recorded on a Bruker Vector 22 Fourier transform infrared spectrometer and subsequently compared. Furthermore, elemental analysis of the samples was performed by CHNS analyzer (Thermo Finnigan, Flash EA1112 Series).
NHA extraction from HNO3-treated LGC
Two extractants, 0.5 M KOH and 0.5 M NH₄OH, were evaluated for NHA extraction46. The brief procedure was as follows: 25 g of HNO3-treated LGC was transferred to a one-liter Erlenmeyer flask, mixed with 250 mL of the extractant, and shaken for three hours. After allowing the suspension to stand for 24 h, the supernatant was collected. This extraction step was repeated once again with fresh extractant. The combined supernatants were acidified to pH 2.0 by adding 6 M H2SO₄ solution. After a while of stirring, the resulting suspension was left to settle for 24 h, and the supernatant was then discarded. This precipitation step was repeated once to enhance NHA purity. Finally, the precipitated HA was suspended in water, and the pH was adjusted to 7.0 by adding either 0.5 M KOH or 0.5 M NH4OH12.
The pure yield and key characteristics of the extracted NHAs including carboxyl groups, phenolic hydroxyl groups, total acidity and the E4/E6 ratio were determined. Further characterization involved elemental analysis (CHNS) and FTIR spectroscopy to elucidate their composition and structure. The pure yield of NHAs was calculated using the following Equation3. :
Carboxyl groups (calcium acetate method) and total acidity (barium hydroxide method) were measured directly, with phenolic hydroxyl groups calculated by difference45.
Structural characterization of NHAs by spectrophotometry
Five milligrams of each NHA sample were dissolved in 10 mL of 0.05 M NaHCO3 solution. The spectrophotometric absorbance readings at 465 nm (E₄) and 665 nm (E₆) were then used to calculate the E₄/E₆ ratios47.
Experimental treatments
The experiment included the following combined treatments: demineralized low-grade coal (LGC); H2O2-oxidized low-grade coal (OLGC); H2O2/HNO3-treated low grade coal (TLGC); humic acid extracted with KOH (HA); humic acid extracted with NH4OH, ammoniated humic acid (AHA); nitrohumic acid (NHA); ammoniated nitrohumic acid (ANHA); nitrohumic acid-thermally pretreated coal (NHA-TPC); and ammoniated nitrohumic acid-thermally pretreated coal (ANHA-TPC). A description of the applied treatments is provided below:
LGC = HCl demineralization;
OLGC = HCl demineralization + H2O2 oxidation;
TLGC1 = HCl demineralization + H2O2 oxidation + HNO3 treatment + neutralization (KOH);
TLGC2 = HCl demineralization + H2O2 oxidation + HNO3 treatment + neutralization (NH4OH);
HA = HCl demineralization + H2O2 oxidation + HA extraction (KOH) + neutralization (KOH);
AHA = HCl demineralization + H2O2 oxidation + HA extraction (NH4OH) + neutralization (NH4OH);
NHA = HCl demineralization + H2O2 oxidation + HNO3 treatment + HA extraction (KOH) + neutralization (KOH);
ANHA = HCl demineralization + H2O2 oxidation + HNO3 treatment + HA extraction (NH4OH) + neutralization (NH4OH);
NHA-TPC = Thermal pretreatment (100 °C) + HCl demineralization + H2O2 oxidation + HNO3 treatment + HA extraction (KOH) + neutralization (KOH);
ANHA-TPC = Thermal pretreatment (100 °C) + HCl demineralization + H2O2 oxidation + HNO3 treatment + HA extraction (NH4OH) + neutralization (NH4OH).
Selection of treatments for soil incubation experiments
Based on the results, and considering the pure yield and nitrogen content of the extracted NHAs, three treatments, including TLGC2, ANHA and ANHA-TPC, were selected for the soil incubation experiments.
Soil preparation and characterization
The soil for the incubation experiment was collected from a depth of 0–20 cm in the Karkaj area of Tabriz, Iran. The sampled soil was characterized for some physical and chemical properties, including texture48, pH, electrical conductivity (EC), equivalent calcium carbonate (CCE)49, organic carbon content50, and total nitrogen content51.
Soil incubation experiment
A total of 2 kg of soil, sieved to 2 mm, was transferred into plastic pots. One week prior to establishing the treatments, the soil moisture level was brought to 70% of field capacity (FC)52. The three selected treatments (TLGC2, ANHA, and ANHA-TPC) were then applied at five application rates of 0, 0.1, 0.2, 0.5, and 1% (w/w), with three replications. Due to the insoluble nature of the HAs, they were first dissolved in 0.1 M KOH and the pH of the solution was adjusted to 7.0. The dissolved HA solutions were sprayed onto the spread-out soil at the specified rates and mixed thoroughly to achieve a uniform moisture content of 100% FC. Finally, the plastic pots were filled with the amended soil and incubated at room temperature for 40 days.
Monitoring soil nitrate levels during incubation
Soil nitrate–nitrogen (NO3–N) was extracted with 2 M KCl53 at a 1:5 SSR. The NO3–N concentration in the extracts was then determined using the salicylic acid nitration method54. Sampling for this analysis was performed at 3, 7, 10, 14, 21, 30, and 40 days after the start of the incubation55 using a stainless-steel tubular soil sampler.
Statistical analysis and data display
This study was conducted as a factorial experiment based on a completely randomized design with three replications. The factors were HA type, HA application rate, and incubation time. The significance of treatment effects was assessed using Analysis of Variance (ANOVA) and the means were compared using Duncan’s Multiple Range Test at α ≤ 0.05. All statistical analyses were performed using the SPSS software package (Version 20.0, IBM Corporation). Figures were created using Excel software.
Data availability
All data generated or analysed during the current study will be available from the corresponding author on reasonable request.
References
Cameron, K. C., Di, H. J. & Moir, J. L. Nitrogen losses from the soil/plant system: A review. Ann. Appl. Biol. 162, 145–173 (2013).
Canellas, L. P. et al. Chemical properties of humic substances as related to induction of plant lateral roots. Eur. J. Soil. Sci. 63 (3), 315–324 (2012).
Rashid, M. et al. Lignite scaffolding as slow-release N-fertilizer extended the SN retention and inhibited N losses in alkaline calcareous soils. ACS Omega. 8 (25), 22732–22741 (2023).
Sarlaki, E. et al. Valorizing lignite waste into engineered nitro-humic fertilizer: Advancing resource efficiency in the era of a circular economy. Sustain. Chem. Pharm. 36, 10128 (2023).
Zhao, Y. et al. Synergistic hydrothermal humidification of corn Stover and swine manure for the production of nitrogen-rich aromatic artificial humic acid. Chem. Eng. J. 517, 164532 (2025).
Mubarak, D. & Abd El-Rheem, K. Nitrogen-enriched humic acid together with zinc oxide nanoparticles to enhance growth and quality of cabbage. Egypt J. Soil. Sci. 65(4), 1787–1802 (2025).
Li, Z. et al. Insight into the co-hydrothermal humification of corn stalk and sewage sludge for enhanced nitrogen-rich humic acid production. Front. Environ. Sci. Eng. 18, 153 (2024).
Zhang, L. et al. Targeted Preparation of oxygen- and aromatic-rich humic acid for decreasing Urea nitrogen loss: Characterization, performance, and mechanism. Ind. Crops Prod. 235, 121760 (2025).
Yan, S. et al. Characterization of humic acids from original coal and its oxidization production. Sci. Rep. 11 (1), 15381 (2021).
Li, S. et al. Extraction optimization and quality evaluation of humic acids from lignite using the cell-free filtrate of Penicillium ortum MJ51. RSC Adv. 12 (1), 528–539 (2021).
Fong, S. S., Seng, L., Majri, N. B. & Ma, H. B. A comparative evaluation on the oxidative approaches for extraction of humic acids from low rank coal of mukah, Sarawak. J. Braz Chem. Soc. 18 (1), 34–40 (2007).
Patti, A. F., Verheyen, T. V., Douglas, L. & Wang, X. Nitrohumic acids from Victorian brown coal. Sci. Total Environ. 113 (1–2), 49–65 (1992).
Yu, J. et al. Coal oxidation under mild conditions: Current status and applications. Chem. Eng. Technol. 37, 1635–1644 (2014).
Trompowsky, P. M. et al. Characterization of humic like substances obtained by chemical oxidation of Eucalyptus charcoal. Org. Geochem. 36, 1480–1489 (2005).
Wang, M. et al. Exploration of the H2O2 oxidation process and characteristic evaluation of humic acids from two typical lignites. ACS Omega. 6 (37), 24051–24061 (2021).
Moskalenko, T., Mikheev, V. & Vorsina, E. Intensification of humic acid extraction from lignites. E3S Web of Conferences vol. 192, p. 02024 (EDP Sciences, 2020).
Boron, D. J. & Taylor, S. R. Mild oxidations of coal: 1. Hydrogen peroxide oxidation. Fuel 64 (2), 209–211 (1985).
Demirbas, A., Kar, Y. & Deveci, H. Humic substances and nitrogen-containing compounds from low rank brown coals. Energy Sources Part. A. 28 (4), 341–351 (2006).
Fatima, N. et al. Extraction and chemical characterization of humic acid from nitric acid treated lignite and bituminous coal samples. Sustainability 13 (16), 8969 (2021).
Coca, J., Alvarez, R. & Fuertes, A. B. Production of a nitrogenous humic fertilizer by the oxidation-ammoniation of lignite. Ind. Eng. Chem. Prod. Res. Dev. 23 (4), 620–624 (1984).
Rausa, R., Girardi, E. & Calemma, V. Humic acids from coal. Production, characterization and utilization. Humic Substances in the Global Environment and Implication on Human Health. Elsevier, Amsterdam, 1225–1244 (1994).
Rong, G., Xu, M., Wang, D., Gui, X. & Xing, Y. Effect of heating oxidation on the surface/interface properties and floatability of anthracite coal. Processes 7 (6), 345 (2019).
Zhao, Y. et al. Study on the surface wetting mechanism of bituminous coal based on the microscopic molecular structure. RSC Adv. 13 (9), 5933–5945 (2023).
Lopalco, A. et al. Mechanism of decarboxylation of pyruvic acid in the presence of hydrogen peroxide. J. Pharm. Sci. 105 (2), 705–713 (2016).
Liu, F. J. et al. Investigation on structural features of Shengli lignite through oxidation under mild conditions. Fuel 109, 316–324 (2013).
Doskočil, L., Grasset, L., Válková, D. & Pekař, M. Hydrogen peroxide oxidation of humic acids and lignite. Fuel 134, 406–413 (2014).
Miura, K. et al. New oxidative degradation method for producing fatty acids in high yields and high selectivity from low-rank coals. Energy Fuels. 10 (6), 1196–1201 (1996).
Mae, K., Maki, T., Araki, J. & Miura, K. Extraction of low-rank coals oxidized with hydrogen peroxide in conventionally used solvents at room temperature. Energy Fuels. 11 (4), 825–831 (1997).
Shi, K. Y. et al. Mechanism of oxidation of low rank coal by nitric acid. J. Coal Sci. Eng. (China). 18, 396–399 (2012).
Kinney, C. R. & Ockert, K. F. Nitric acid oxidation of bituminous coal. Ind. Eng. Chem. 48 (2), 327–332 (1956).
Moliner, R., Ruiz, C., Uliaque, C. & Gavilán, J. Action of nitric acid on lignites: Mathematical models. 1. Humic substances and acidity of nitrolignites. Fuel 62(11), (1983).
Xiong, Y. et al. Hydrogen peroxide oxidation degradation of a low-rank Naomaohu coal. Fuel Process. Technol. 207, 106484 (2020).
Saha, P. & Sarkar, S. Microbial degradation of coal into a value added product. Int. J. Coal Preparation Utilization. 39 (1), 1–19 (2019).
Syahren, A. M. & Wong, N. C. Extraction and chemical characteristics of nitro-humic acids from coals and composts. J. Trop. Agric. Fd Sc. 36 (2), 269–279 (2008).
Skhonde, M. P. et al. The effect of thermal treatment on the compositional structure of humic acids extracted from South African bituminous coal. Int. J. Min. Process. 81 (1), 51–57 (2006).
Lu, X. Q., Vassallo, A. M. & Johnson, W. D. Thermal stability of humic substances and their metal forms: An investigation using FTIR emission spectroscopy. J. Anal. Appl. Pyrol. 43 (2), 103–113 (1997).
Zhang, W. Z. et al. Influence of humic acid on interaction of ammonium and potassium ions on clay minerals. Pedosphere 23 (4), 493–502 (2013).
Yıldırım, M. & Özbayoǧlu, G. Production of ammonium nitrohumate from Elbistan lignite and its use as a coal binder. Fuel 76 (5), 385–389 (1997).
Pattison, T., Moody, P. & Bagshaw, J. Soil Health for Vegetable Production in Australia, Brisbane, Australia 5–45 (The State of Queensland, Department of Employment, 2010).
Ogunsola, O. I. & Rao, P. D. Formation of humic acids from air-oxidized Alaskan subbituminous coals. Fuel 72 (8), 1121–1124 (1993).
Chou, C. L. Sulfur in coals: A review of geochemistry and origins. Int. J. Coal Geol. 100, 1–13 (2012).
Ibrahim, S. S. et al. On improving the separation efficiency of a wet high gradient magnetic separator for the removal of pyrite from Egyptian coal. Int. J. Coal Prep Util. 37 (2), 59–74 (2017).
Estévez, M., Juan, R., Ruiz, C. & Andrés, J. Formation of humic acids in lignites and subbituminous coals by dry air oxidation. Fuel 69 (2), 157–160 (1990).
Wang, B., Lehmann, J., Hanley, K., Hestrin, R. & Enders, A. Adsorption and desorption of ammonium by maple wood Biochar as a function of oxidation and pH. Chemosphere 138, 120–126 (2015).
Swift, R. S. Organic matter characterization. Methods Soil Anal.: Part 3: Chem. Methods 5, 1011–1069 (1996).
Rocha, J. C., Rosa, A. H. & Furlan, M. An alternative methodology for the extraction of humic substances from organic soils. J. Braz Chem. Soc. 9, 51–56 (1998).
Chen, Y., Senesi, N. & Schnitzer, M. Information provided on humic substances by E4/E6 ratios. Soil. Sci. Soc. Am. J. 41 (2), 352–358 (1977).
Gee, G. W., Bauder, J. W. & Klute, A. Methods of Soil Analysis, Part 1: Physical and Mineralogical Methods Vol. 5 (Soil Science Society of America, American Society of Agronomy, 1986).
Allison, L. E. & Moodie, C. D. Carbonate. In: Black, C. A. (Ed.), Methods of Soil Analysis. Part 2: Chemical and Microbiological Properties, Agronomy, Madison, Wisconsin, USA 1379–1398 (1965).
Nelson, D. W. & Sommers, L. E. Total carbon, organic carbon, and organic matter. Methods Soil. Anal.: Part. 2: Chem. Microbiol. Prop. 9, 539–579 (1982).
Bremner, J. M. Determination of nitrogen in soil by the Kjeldahl method. J. Agric. Sci. 55 (1), 11–33 (1960).
Liao, M. et al. Toxicity of cadmium to soil microbial biomass and its activity: Effect of incubation time on cd ecological dose in a paddy soil. J. Zhejiang Univ. -Sci B. 6 (5), 324–330 (2005).
Mulvaney, R. L. Nitrogen—inorganic forms. Methods Soil Anal. Part 3: Chem. Methods 5, 1123–1184 (1996).
Cataldo, D. A. et al. Rapid colorimetric determination of nitrate in plant tissue by nitration of Salicylic acid. Commun. Soil. Sci. Plant. Anal. 6 (1), 71–80 (1975).
Li, K. Y. et al. Comparison of factors affecting soil nitrate nitrogen and ammonium nitrogen extraction. Commun. Soil. Sci. Plant. Anal. 43 (3), 571–588 (2012).
Acknowledgements
The study was conducted at University of Tabriz and we gratefully acknowledge their financial support.
Author information
Authors and Affiliations
Contributions
M.M. performed all experimental procedures and collected the data. S.O. and N.A. conceptualized and designed the study, performed data analysis, and wrote the manuscript. N.N. and S.B. supervised the project, reviewed, and edited the final manuscript.
Corresponding author
Ethics declarations
Competing interests
The authors declare no competing interests.
Additional information
Publisher’s note
Springer Nature remains neutral with regard to jurisdictional claims in published maps and institutional affiliations.
Rights and permissions
Open Access This article is licensed under a Creative Commons Attribution-NonCommercial-NoDerivatives 4.0 International License, which permits any non-commercial use, sharing, distribution and reproduction in any medium or format, as long as you give appropriate credit to the original author(s) and the source, provide a link to the Creative Commons licence, and indicate if you modified the licensed material. You do not have permission under this licence to share adapted material derived from this article or parts of it. The images or other third party material in this article are included in the article’s Creative Commons licence, unless indicated otherwise in a credit line to the material. If material is not included in the article’s Creative Commons licence and your intended use is not permitted by statutory regulation or exceeds the permitted use, you will need to obtain permission directly from the copyright holder. To view a copy of this licence, visit http://creativecommons.org/licenses/by-nc-nd/4.0/.
About this article
Cite this article
Mostafaei, M., Oustan, S., Aliasgharzad, N. et al. Unlocking the fertilizer potential of low-grade coal: the role of synthesis conditions in tailoring the properties of ammoniated nitrohumic acids. Sci Rep 16, 2950 (2026). https://doi.org/10.1038/s41598-025-32754-9
Received:
Accepted:
Published:
Version of record:
DOI: https://doi.org/10.1038/s41598-025-32754-9










