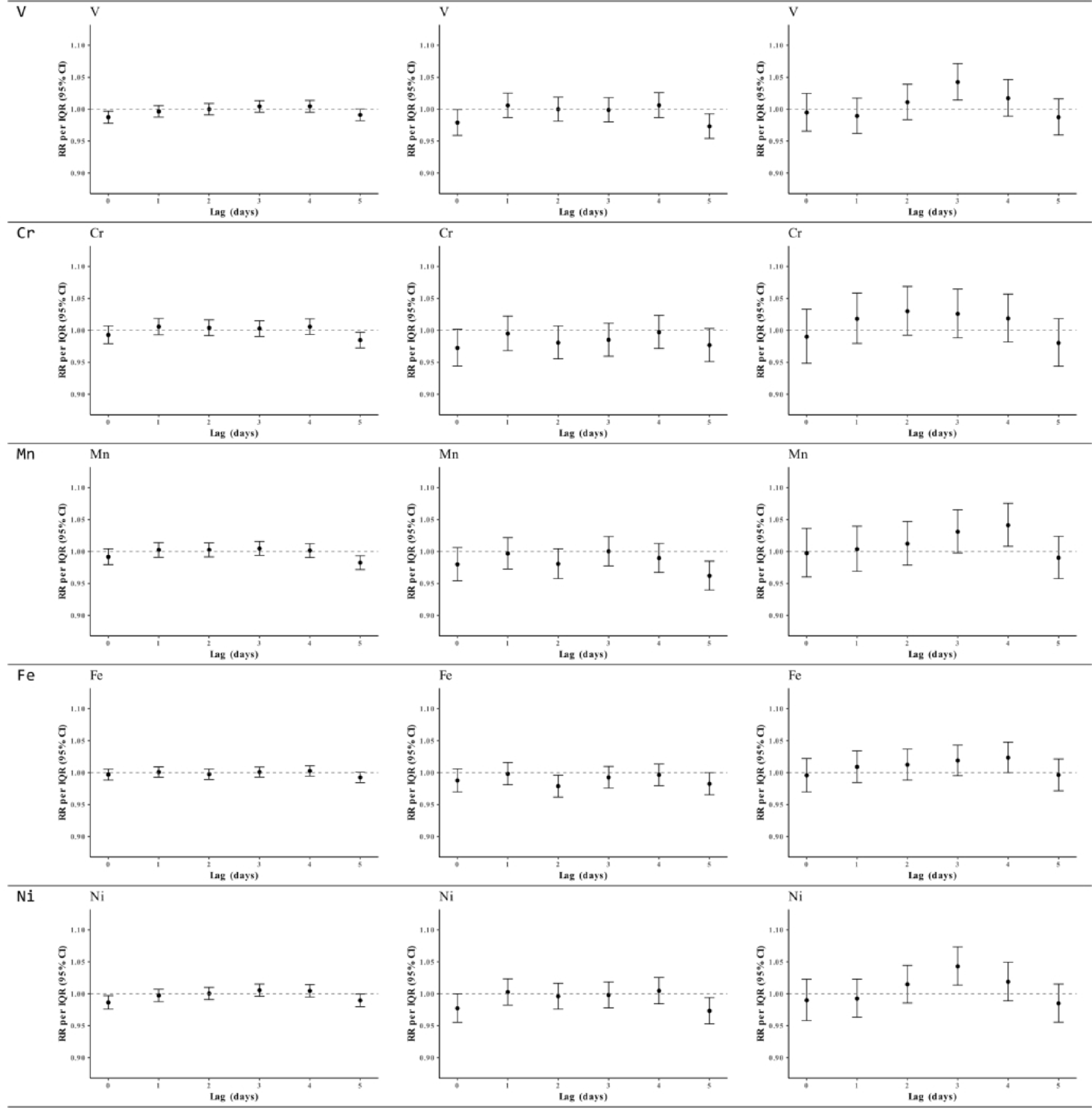
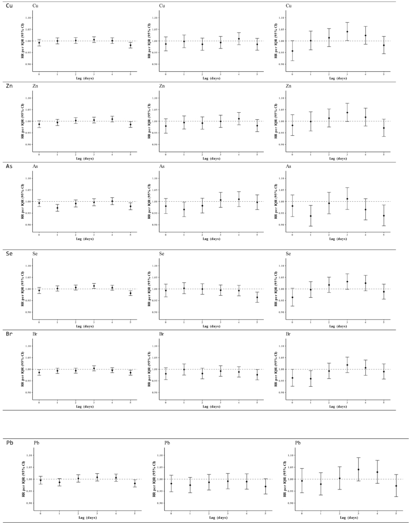
Fig. 5



Relative risk (RR) and 95% confidence intervals (CI) in total, cardiovascular, respiratory mortality for every interquartile range (IQR) increase in heavy metals. lag 0, exposure on the present day; lag 1, exposure on the previous day; lag 2, exposure on the previous 2 days; lag 3, exposure on the previous 3 days; lag 4, exposure on the previous 4 days; lag 5 exposure on the previous 5 days. Adjusted for average temperature, relative humidity, year, season and day of the week.