Abstract
Previous studies demonstrated the association of particulate matter with an aerodynamic diameter of ≤ 2.5 μm (PM2.5) with mortality. The PM2.5 components that are associated with mortality and lagged effects vary across regions. This study aimed to evaluate the effects of PM2.5 constituents on overall, cardiovascular, and respiratory mortality in Seoul. PM2.5 and its chemical constituents were assessed in Seoul, Korea, by the National Institute of Environmental Research between 2016 and 2019. The daily overall, cardiovascular, and respiratory mortality data in Seoul were obtained from the Korea Public Data Portal. Moreover, the meteorological data were extracted from the Korean Meteorological Administration Open Weather Data Portal. The risks of mortality associated with PM2.5 and its constituents were analyzed using a Poisson model, and the lagged effects from the day of exposure up to 5 days were considered after adjusting for meteorological data and date. Respiratory mortality was associated with PM2.5 levels measured 3 days prior. Ni increased respiratory mortality on lag 3 with the highest relative risk (RR). (RR, 1.036; 95% confidence interval (CI), 1.017–1.055). S, V, and Se were also associated with increased respiratory mortality with delayed effects. Air pollution management targeting specific heavy metals may help reduce respiratory mortality.
Similar content being viewed by others
Introduction
Ambient particulate matter (PM) has adverse health effects, including all-cause, cardiovascular, and respiratory mortality1. PM is categorized according to the aerodynamic sizes of particles: PM with ≤ 10 μm in aerodynamic diameter (PM10) and PM with ≤ 2.5 μm in aerodynamic diameter (PM2.5). In comparison to PM10, PM2.5 is considered more injurious as the matter can deposit on the deeper surface of the lungs2. PM2.5 is related to the production of inflammatory cytokines and free radicals, leading to detrimental effects on the respiratory system3. Chronic exposure to PM2.5 upregulates the vasoconstrictor pathways and increases cardiac afterload, thereby contributing to left ventricular hypertrophy and myocardial fibrosis4,5. Owing to the adverse effects on both the respiratory and cardiovascular systems, short- and long-term PM2.5 exposure is positively associated with mortality6. Analyzing the effects of PM2.5 components and their sources is crucial for developing effective regulatory measures7. Daellenbach et al. suggested that oxidative stress may play a role in the adverse health effects of PM and that targeting the specific sources of PM may be more effective than controlling the overall PM levels8. Therefore, we analyzed the PM2.5 levels and its components to identify the sources that most significantly affect health.
Air pollution has a delayed effect on mortality, and lag models have been employed to identify the association between PM2.5 exposure and mortality. In a distributed lag model study conducted across 10 cities in the United States of America (USA), cardiovascular deaths were affected by same-day pollution, while respiratory deaths were affected by pollution on previous days9. Similarly, chronic pulmonary obstructive disease-related hospital visits were associated with PM2.5 levels measured 1 or 2 days prior10. However, the study by Kim et al. demonstrated that cardiovascular deaths were affected by previous exposure to air pollution, while respiratory deaths were affected by air pollution on the same day11. These discrepancies may be attributed to regional variations in PM2.5 composition and different susceptibilities across study populations. Per previous studies that investigated the association between PM2.5 exposure and mortality, we also considered the lagged effects of PM2.5 on mortality outcomes.
Heavy metals included titanium, vanadium (V), chromium (Cr), manganese (Mn), iron (Fe), nickel (Ni), copper (Cu), zinc (Zn), cadmium (Cd), lead (Pb), and arsenic (As). These metals generate reactive oxygen species and induce oxidative stress, which may lead to inflammation and cardiovascular diseases12. Previous studies have demonstrated that Cd and Pb are inversely related to lung function13. High levels of Cd and Cu, and low urine Mn levels are associated with increased overall mortality in the Taiwanese population14. A previous study conducted in Seoul between August 2008 and October 2009 characterized fine PM and examined the association between PM chemical constituents and mortality. The average PM2.5 level was 26.6 ± 16.5 µg/m3, and organic carbon (OC), elemental carbon (EC), nitrate (NO3−), and sulfate (SO42−) comprised the majority of the total PM2.5 mass7. However, studies examining the association between heavy metals and cardiovascular and respiratory mortality are limited. This study aimed to compare the characteristics of PM2.5 and its chemical components, including heavy metals, in Seoul between 2016 and 2019—8 years after the previous study—and determine the association of PM2.5 and its components with daily overall, cardiovascular, and respiratory mortality.
Methods
PM2.5 and its chemical components
PM2.5 and its chemical components were assessed in Seoul, Korea, by the National Institute of Environmental Research, located in Eunpyenog-gu, Seoul (37.61°N, 126.93°E), between 2016 and 2019. The PM2.5 concentration was measured using a BAM-1020 instrument (Met One Instruments, Washington, USA). Additionally, PM2.5 was collected on a filter at a flow rate of 16.7 L/min and measured using the beta-ray absorption method. The PM2.5 concentration was calculated based on the degree of beta-ray attenuation. The ionic components of PM2.5 were examined using an ambient ion monitor (URG Co., 9000D, Carolina, USA). Carbonaceous compounds, including OC and EC, were assessed using thermal/optical transmittance and nondispersive infrared techniques. As previous studies have demonstrated that environmental effects may be delayed for several days7,15, we considered the lagged effects from the day of the event up to 5 days (from lag 0 to lag 5).
Meteorological information
Meteorological data including temperature and relative humidity were extracted from the Korean Meteorological Administration Open Weather Portal. The daily overall, cardiovascular, and respiratory mortality data in Seoul were collected from the Korea Public Data Portal. The causes of death were classified according to the Korean Standard Classification of Diseases (KCD). Overall mortality excluded deaths from external (KCD code V01-Y89), cardiovascular (KCD codes I00-I99), and respiratory causes (KCD codes J00-J98) based on daily counts. Data between January 1, 2016, and December 31, 2019, were collected. Daily averages of meteorological data were evaluated using available hourly values, with missing values excluded from the computation. Days with missing daily average values were excluded from the analysis.
Statistical analysis
Descriptive data were expressed as the mean ± standard deviation, minimum, maximum, and interquartile range (IQR). The dependent variables included daily overall, cardiovascular, and respiratory mortality. The PM2.5 constituent-specific risk of daily mortality was analyzed using a Poisson model and expressed as a relative risk along with the corresponding 95% confidence interval (CI). The relationship of PM2.5 and its constituents with daily mortality was adjusted for covariates, including temperature, relative humidity, season, and day of the week. The seasonal variables were categorized into four periods: spring (March to May), summer (June to August), autumn (September to November), and winter (December to February). Environmental effects may be delayed for several days; therefore, the lagged effects of the event up to 5 days (lag 0 to lag 5) were considered. Statistical significance was set at a P value of < 0.05. To estimate the relationship between daily, cardiovascular, and respiratory mortality and PM2.5 mass and chemical constituents, a Poisson generalized linear model with natural cubic splines for time and weather was employed. We conducted sensitivity analyses to test the robustness of our findings by including other pollutants - PM10, O3, NO2, CO and SO2.Correlation among PM2.5 and PM10, O3, NO2, CO and SO2 are shown in Fig. 1. PM2.5 was strongly correlated with PM10 (correlation, 0.8). Since PM2.5 was less correlated with O3, NO2, CO, and SO2 (correlation, < 0.6), we adjusted for O3, NO2, CO, and SO2.
\(\:\text{ln}\left[\text{E}\left({Y}_{t}\right)\right]={\beta\:}_{0}^{i}+\:{\beta\:}_{1}^{i}{X}_{t}^{i}+\:\text{n}\text{s}\left({\text{t}\text{i}\text{m}\text{e}}_{\text{t}}\right)+\text{n}\text{s}\left({\text{t}\text{e}\text{m}\text{p}\text{e}\text{r}\text{a}\text{t}\text{u}\text{r}\text{e}}_{\text{t}}\right)++\text{n}\text{s}\left({\text{h}\text{u}\text{m}\text{i}\text{d}\text{i}\text{t}\text{y}}_{\text{t}}\right)+\sum\:_{j=1}^{3}{\gamma\:}_{d}^{i}\cdot\:{S}_{j,t}+\sum\:_{d=1}^{6}{\delta\:}_{d}^{i}\cdot\:{D}_{d,t}+\:\left[\text{E}\left({Y}_{t}\right)\right]\) represents the expected number of deaths on day t. \(\:{\beta\:}_{0}^{i}\) indicates the model intercept for PM2.5 total mass or component exposure i. \(\:{X}_{t}^{i}\) denotes the levels of PM2.5 mass or component exposures on day t. \(\:{\beta\:}_{1}^{i}\) is the coefficient that represents the relationship between mortality and exposure. \(\:{\gamma\:}_{d}^{i}\cdot\:{S}_{j,t}\) are the dummy variables for season and \(\:{\delta\:}_{d}^{i}\cdot\:{D}_{d,t}\) are the dummy variables for day of the week. \(\:\text{n}\text{s}\left({\text{t}\text{i}\text{m}\text{e}}_{\text{t}}\right)\) is the natural cubic spline of a variable representing time to adjust for seasonality with 6 degrees of freedom per year, \(\:\text{n}\text{s}\left({\text{t}\text{e}\text{m}\text{p}\text{e}\text{r}\text{a}\text{t}\text{u}\text{r}\text{e}}_{\text{t}}\right)\) is the natural cubic spline of temperatures on day t with 3 degrees of freedom. \(\:\text{n}\text{s}\left({\text{h}\text{u}\text{m}\text{i}\text{d}\text{i}\text{t}\text{y}}_{\text{t}}\right)\) is the natural cubic spline of current day humidity on day t with 3 degrees of freedom O3, NO2, CO, and SO2 were adjusted. Previous studies have utilized similar models to investigate the relationship between mortality and PM2.5 components7,16. To investigate potential interactions between PM2.5 components and seasons, likelihood ratio tests were conducted to compare models with season interactions and models without season interactions. Since models without season interactions demonstrated better fit, subsequent analyses were performed without including interaction terms. All analyses were performed using the R software (version 3.6.3; R Foundation, Vienna, Austria). This study was approved by the Institutional Review Board of Kangwon National University Hospital (IRB No-2023-12-005). The requirement for informed consent was waived due to the retrospective nature of the study.
Results
Data on PM2.5 and its chemical components
Data encompassing PM2.5 mass and its chemical components are presented in Table 1. During the study, the daily mean level of PM2.5 was 26.02 ± 16.32 µg/m3 (range: 1.07–142.00 µg/m3. NO3− was the largest contributor to PM2.5, with a mean level of 5.03 ± 5.66 µg/m3 (range: 0–51.91 µg/m3), followed by SO42−, which had a mean level of 4.02 ± 3.34 µg/m3 (range: 0–27.48 µg/m3). The components SO42−, NO3−, OC, NH4+, and EC constituted approximately 65% of the total PM2.5 mass. Among the metal components, potassium (K) had the highest mean level of 239.65 ± 195.24 ng/m3 (range: 7.68–2287.96 ng/m3) followed by Fe (mean: 199.73 ± 129.29 ng/m3, range: 9.64–1642.18 ng/m3).
Mortality and meteorological data
The mortality and meteorological data are presented in Tables 2 and 3. During the study, the daily overall, cardiovascular, and respiratory rates were 108.89 ± 13.36 (range: 72–182), 24.12 ± 5.58 (range: 8–44), and 11.93 ± 3.88 (range: 2–29), respectively. The mean temperature was 13.32℃ (range: −14.8℃ to 33.7℃), while the relative humidity was 57.79% (range: 21.8%–97%).
Total and disease-specific mortality according to the level of exposure to PM2.5 and its chemical components
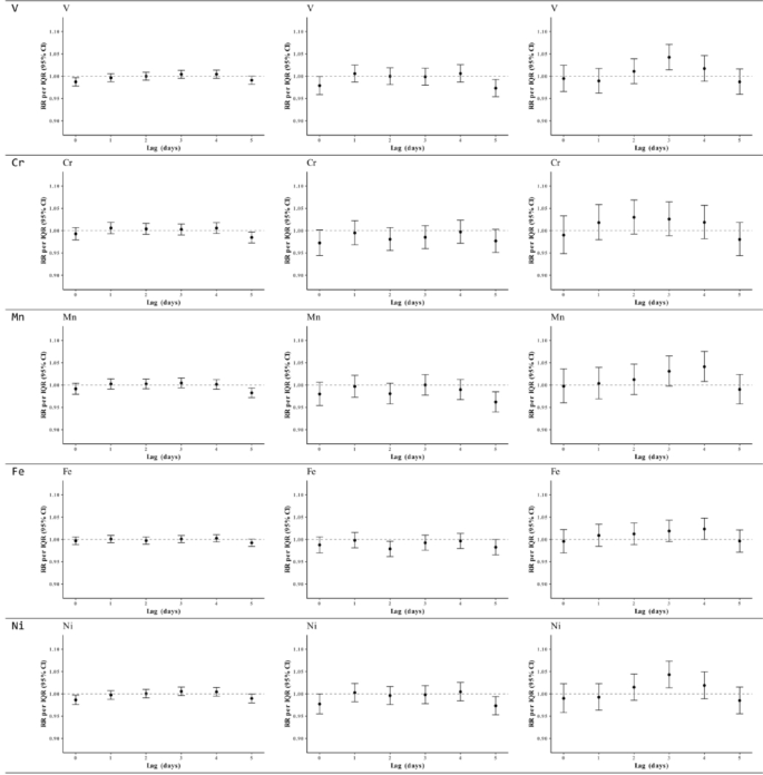
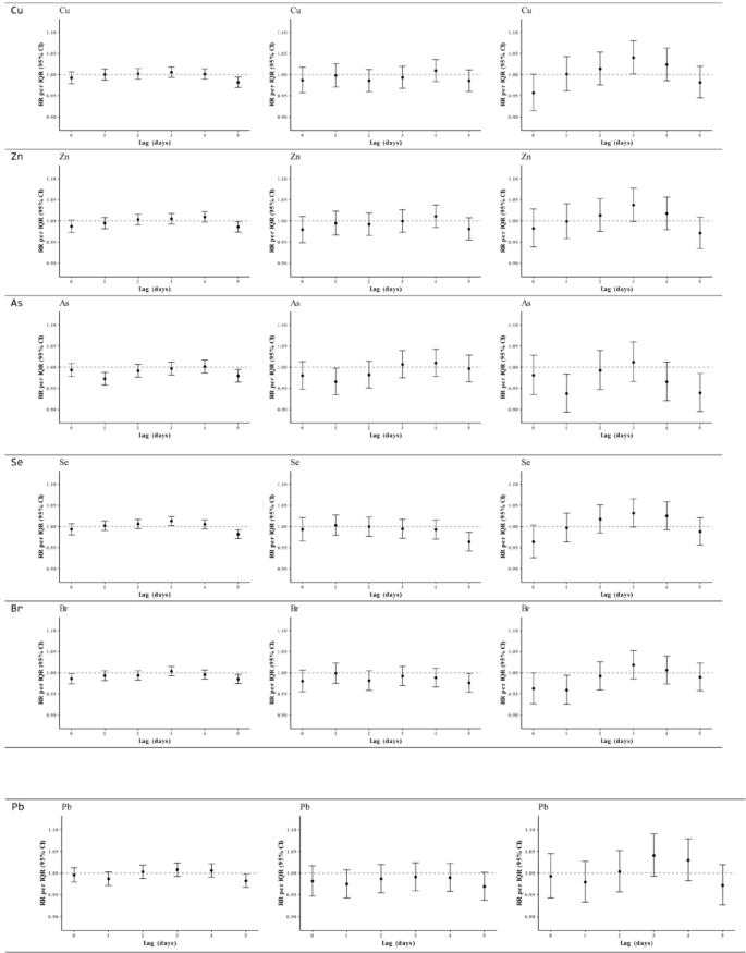
The association of PM2.5 with daily overall, cardiovascular, and respiratory mortality rates is displayed in Fig. 2. The relationship between the PM2.5 components and daily overall, cardiovascular, and respiratory mortality are demonstrated in Figs. 3 and 4, and 5. Results are expressed as relative risk (RR) with 95% confidence interval (CI) per IQR increase. S increased respiratory mortality on lag 3 (RR, 1.024; 95% CI, 1.005–1.044). V increased respiratory mortality on lag 3 (RR, 1.036; 95% CI, 1.017–1.055). Ni increased respiratory mortality on lag 3 (RR, 1.036; 95% CI,1.016–1.055). Cu increased respiratory mortality on lag 3 (RR, 1.022; 95% CI 1.000–1.045.000.045). Se increased respiratory mortality on lag 3 (RR, 1.020; 95% CI, 1.002–1.038).
Relative risk (RR) and 95% confidence intervals (CI) in total, cardiovascular, respiratory mortality for every interquartile range (IQR) increase in PM2.5. lag 0, exposure on the present day; lag 1, exposure on the previous day; lag 2, exposure on the previous 2 days; lag 3, exposure on the previous 3 days; lag 4, exposure on the previous 4 days; lag 5 exposure on the previous 5 days. Adjusted for average temperature, relative humidity, year, season and day of the week.
Relative risk (RR) and 95% confidence intervals (CI) in total, cardiovascular, respiratory mortality for every interquartile range (IQR) increase in OC and EC. OC, organic carbon; EC, elemental carbon; lag 0, exposure on the present day; lag 1, exposure on the previous day; lag 2, exposure on the previous 2 days; lag 3, exposure on the previous 3 days; lag 4, exposure on the previous 4 days; lag 5 exposure on the previous 5 days. Adjusted for average temperature, relative humidity, year, season and day of the week.
. Relative risk (RR) and 95% confidence intervals (CI) in total, cardiovascular, respiratory mortality for every interquartile range (IQR) increase in ions. lag 0, exposure on the present day; lag 1, exposure on the previous day; lag 2, exposure on the previous 2 days; lag 3, exposure on the previous 3 days; lag 4, exposure on the previous 4 days; lag 5 exposure on the previous 5 days. Adjusted for average temperature, relative humidity, year, season and day of the week.
Relative risk (RR) and 95% confidence intervals (CI) in total, cardiovascular, respiratory mortality for every interquartile range (IQR) increase in heavy metals. lag 0, exposure on the present day; lag 1, exposure on the previous day; lag 2, exposure on the previous 2 days; lag 3, exposure on the previous 3 days; lag 4, exposure on the previous 4 days; lag 5 exposure on the previous 5 days. Adjusted for average temperature, relative humidity, year, season and day of the week.
Discussion
In our study, the average daily PM2.5 level was 26.02 ± 16.32 µg/m3, which closely resembles the PM2.5 level of 26.6 ± 16.5 µg/m³ measured 8 years prior. The major components of PM2.5 identified in the previous study were OC, NO3−, SO42−, and EC. In our study, the major components of PM2.5 were NO3−, SO42−, OC, and NH4+, arranged in order of concentration. Notably, the OC concentration decreased from 5.7 ± 2.9 µg/m³ in the previous study to 3.58 ± 1.91 µg/m³ in our current study. Similarly, the EC concentration declined from 2.2 ± 1.3 µg/m3 in the previous study to 1.06 ± 0.58 µg/m3 in our current study. Conversely, the NO3− concentration increased from 4.4 ± 3.1 µg/m3 in the previous study to 5.03 ± 5.67 µg/m3 in our current study. The previous study reported a mean temperature of 14.8 ± 9.7℃ and a relative humidity of 61.2 ± 14.0%7. Conversely, our study, which was conducted 8 years later, reported a mean temperature of 13.32 ± 10.93℃ and a relative humidity of 57.79 ± 14.78% (Table 3). The PM2.5 components were measured at the Gwangjin monitoring station, located in Gwangjin-gu, Seoul (37.32°N, 127.05°E), and at the National Institute of Environmental Research Center (NIER), located in Eunpyenog-gu, Seoul (37.61°N, 126.93°E). Given that these two locations are approximately 20 km apart and exhibit different traffic densities, variations between PM2.5 levels and weather data may exist. There was no significant interaction between seasonal variation and PM2.5 related mortality (P values > 0.05) which is consistent with the findings of a previous study conducted across 205 cities in 20 countries/region. Therefore, we conducted analyses without season interactions.
OC originates from biomass combustion, traffic, long-range transport, and secondary production. Traffic accounts for approximately 15%–27% of OC17. A previous study identified that the major contributors to PM2.5 were secondary NO3−, secondary SO42−, and gasoline-fueled vehicles18. Compared with previous research conducted in Seoul between 2008 and 20097, our study, conducted between 2016 and 2019, identified a shift in the major PM2.5 component from OC to NO3−. However, the average level of PM2.5 between the two study intervals was similar. According to the annual traffic reports from Seoul Transport Operation & Information Service (http://175.193.202.192:8080/eng/english.jsp assessed 15 July 2024)), the average traffic density per day in Seoul increased from 6.6 million vehicles in 2015 to 10.1 million vehicles in 2020. Notably, the NO3−/SO42− ratio tends to increase when motor vehicle emissions exceed those from coal combustion19. In line with Seoul’s traffic growth, the NO3−/SO42− ratio has increased from 1.02 to 1.25. Globally, traffic contributes 5%–61% of PM worldwide, with an average of 27%20. Despite the increase in traffic density, the average PM2.5 levels remained unchanged. This may indicate that the traffic’s contribution to PM in Seoul is relatively low. Although the PM2.5 levels were similar between the two study intervals, the respiratory mortality in the latter interval was higher. The average daily respiratory mortality (deaths/day) increased from 5.4 in 2008–2009 to 11.93 in 2016–2019. As the total and cardiovascular mortality rates were similar between the two intervals, the increase in respiratory mortality could be attributed to the changes in the proportions of PM2.5 components. In a murine model, chronic NO3− exposure induced a significant decrease in respiratory function and an increase in pulmonary neutrophil infiltration. However, chronic SO42− exposure has a lesser impact on respiratory function compared with that of NO3 − 21. Therefore, the increase in the NO3−/SO42− ratio may partly elucidate the increase in respiratory mortality. Given the link between a high NO3−/SO42− ratio and traffic factors, controlling traffic volume could potentially help reduce respiratory mortality.
Gasoline exhaust is associated with a high OC to EC concentration ratio, while diesel emissions are related to elevated EC concentrations and high contributions from Ca, Cu, and Si22. The OC to EC concentration ratio increased from 2.6 in 2008–2009 to 3.38 in 2016–2019. According to the open data from the Seoul Metropolitan Government (https://data.seoul.go.kr/dataList/10860/S/2/datasetView.do(asessed 15 July 2024)) the average number of registered vehicles was 1,642,817 for gasoline vehicles and 856,648 for diesel vehicles between 2008 and 2009. Between 2016 and 2019, the average number of registered vehicles was 1,599,369 for gasoline and 1,128,168 for diesel vehicles. A decline in the number of gasoline vehicles coupled with an increase in the number of diesel vehicles typically contributed to a reduction in the OC/EC concentration ratio. However, an increase in the OC/EC concentration ratio was observed in this study. Seoul has designated severely polluted areas as low-emission zones since 2010, restricting the transportation of vehicles that fail to comply with the low-emission vehicle program. Low-emission vehicle programs include the installation of diesel particulate filters, retrofitting engines for zero emissions, and the disposal of vehicles that do not meet emission requirements. As a result of these initiatives, both OC and EC concentrations decreased compared with those reported in a previous study. However, the EC concentration demonstrated a greater reduction compared with the OC concentration, leading to an increase in the OC/EC ratio. This finding indicates that the low-emission vehicle program was significantly effective in decreasing EC concentrations.
Previous study indicated that PM exerts immediate and delayed effects on cardiovascular and respiratory diseases, respectively23. In our study, respiratory mortality was significantly affected by air pollution levels 2–3 days prior. This result is consistent with the findings of a previous study. Kim et al. demonstrated that EC and OC have immediate effects on cardiovascular diseases, with more immediate impacts compared to SO42− and NO3− 23. Cardiovascular diseases, including myocardial infarction, respond rapidly to triggers, while respiratory diseases progress gradually9. In our study, the EC and OC levels were lower, while the NO3− level was higher than those reported in a study conducted 8 years ago7. As NO3− displayed delayed effects compared with those demonstrated by EC and OC, the increase in NO3− might have resulted in delayed effects on respiratory mortality in our study.
Local industrial activities are known sources of Mn, Fe, Ni, Cu, Zn, and Br18. Cu is emitted from metal brake wear, while Mg, Al, Si, Ca, Ti, Fe, and K originate from soil22. V, Ni, and Fe are linked to oil burning, while Fe, Zn, C, and Pb are related to heavy industries24. In the present study, the S, V, Ni, Cu, and Se levels were associated with delayed respiratory mortality. Zhang F et al. demonstrated exposure to mixtures of heavy metals - Pb, Cd and Hg were associated with elevated risk of respiratory mortality25.Our study was consistent with the previous study that exposures to heavy metals are associated with respiratory mortality. National industrial complexes located in the northwest and southwest of the sampling site contributed to this finding, with the conditional probability function plot indicating that industrial emissions affected the sampling site when transport came from the northwest18. Unlike the previous study conducted 8 years ago, which did not collect data on heavy metals, our study revealed an association between heavy metals and respiratory mortality. In Seoul, northwesterly winds are prevalent during winter, a season when respiratory diseases typically aggravate. Heavy metals transported from northwest industrial facilities may exacerbate these conditions during cold months. Therefore, patients with respiratory diseases should remain indoors, close windows, and minimize outdoor activities3 in winter. Ambient heavy metals were associated with increased health risk across 50 Chinse cities. China’s 2018 Air Pollution Prevention and Control Action Plan significantly reduced PM2.5 and heavy metal concentrations which resulted in a decline in health risk26. According to our study, the mean of daily PM2.5 concentration was 26.02 µg/m3 which is higher than the WHO air quality guidelines value (15 µg/m3)27. Air pollution management, including industrial source regulations targeting specific heavy metals, may help reduce respiratory mortality.
However, this study has some limitations. First, PM2.5 and its components were assessed in a single center, which may not represent the level of PM2.5 in Seoul. Second, owing to the study’s cross-sectional design, causality could not be established. Additionally, potential measurement errors may have affected the analysis of PM2.5 and its components. A key advantage of this study is the extended period of analysis compared with that of a previous study, allowing for a comprehensive investigation of the changes in the levels of PM2.5 and its components in Seoul. Although alterations in PM2.5 components were observed, the specific contributions of various sources (e.g., traffic-related emissions and biomass burning) remain unclear. Therefore, future studies should investigate these contributions to effectively manage and mitigate PM2.5 sources.
Conclusions
S, V, Ni, and Cu were associated with respiratory mortality with delayed effects. Air pollution management targeting specific heavy metals may help reduce respiratory mortality.
Data availability
The data presented in this study are available from the corresponding author upon request.
References
Liu, C. et al. Coarse particulate air pollution and daily mortality: A global study in 205 cities. Am. J. Respir Crit. Care Med. 206, 999–1007 (2022).
Tsai, S. S., Chang, C. C. & Yang, C. Y. Fine particulate air pollution and hospital admissions for chronic obstructive pulmonary disease: a case-crossover study in Taipei. Int. J. Environ. Res. Public. Health. 10, 6015–6026 (2013).
Xing, Y. F., Xu, Y. H., Shi, M. H. & Lian, Y. X. The impact of PM2.5 on the human respiratory system. J. Thorac. Dis. 8, E69–74 (2016).
Wold, L. E. et al. Cardiovascular remodeling in response to long-term exposure to fine particulate matter air pollution. Circ. Heart Fail. 5, 452–461 (2012).
Bourdrel, T., Bind, M. A., Béjot, Y., Morel, O. & Argacha, J. F. Cardiovascular effects of air pollution. Arch. Cardiovasc. Dis. 110, 634–642 (2017).
Kloog, I., Ridgway, B., Koutrakis, P., Coull, B. A. & Schwartz, J. D. Long- and short-term exposure to PM2.5 and mortality: using novel exposure models. Epidemiology 24, 555–561 (2013).
Son, J. Y., Lee, J. T., Kim, K. H., Jung, K. & Bell, M. L. Characterization of fine particulate matter and associations between particulate chemical constituents and mortality in Seoul, Korea. Environ. Health Perspect. 120, 872–878 (2012).
Daellenbach, K. R. et al. Sources of particulate-matter air pollution and its oxidative potential in Europe. Nature 587, 414–419 (2020).
Luís, F., Braga, A., Zanobetti, A. & Schwartz, J. The lag structure between particulate air pollution and respiratory and cardiovascular deaths in 10 US cities. J. Occup. Environ. Med. 43, 927–933 (2001).
Jo, Y. S., Lim, M. N., Han, Y. J. & Kim, W. J. Epidemiological study of PM(2.5) and risk of COPD-related hospital visits in association with particle constituents in Chuncheon, Korea. Int. J. Chron. Obstruct Pulmon Dis. 13, 299–307 (2018).
Kim, H., Kim, Y. & Hong, Y. C. The lag-effect pattern in the relationship of particulate air pollution to daily mortality in Seoul, Korea. Int. J. Biometeorol. 48, 25–30 (2003).
Yang, A. M. et al. Environmental heavy metals and cardiovascular diseases: status and future direction. Chronic Dis. Transl Med. 6, 251–259 (2020).
Leem, A. Y. et al. Relationship between blood levels of heavy metals and lung function based on the Korean National health and nutrition examination survey IV-V. Int. J. Chron. Obstruct Pulmon Dis. 10, 1559–1570 (2015).
Liu, Y. H. et al. Association of heavy metals with overall mortality in a Taiwanese population. Nutrients 13, 2070 (2021).
Liu, C. et al. Ambient particulate air pollution and daily mortality in 652 cities. N Engl. J. Med. 381, 705–715 (2019).
Zhou, J., Ito, K., Lall, R., Lippmann, M. & Thurston, G. Time-series analysis of mortality effects of fine particulate matter components in Detroit and Seattle. Environ. Health Perspect. 119, 461–466 (2011).
Saarikoski, S. et al. Sources of organic carbon in fine particulate matter in Northern European urban air. Atmos. Chem. Phys. 8, 6281–6295 (2008).
Heo, J. B., Hopke, P. K. & Yi, S. M. Source apportionment of PM2.5 in Seoul, Korea. Atmos. Chem. Phys. 9, 4957–4971 (2009).
Shen, Z. et al. Seasonal variations and evidence for the effectiveness of pollution controls on water-soluble inorganic species in total suspended particulates and fine particulate matter from Xi’an, China. J. Air Waste Manag Assoc. 58, 1560–1570 (2008).
Heydari, S., Tainio, M., Woodcock, J. & de Nazelle, A. Estimating traffic contribution to particulate matter concentration in urban areas using a multilevel bayesian meta-regression approach. Environ. Int. 141, 105800 (2020).
Zhang, J. et al. Chronic exposure to PM(2.5) Nitrate, sulfate, and ammonium causes respiratory system impairments in mice. Environ. Sci. Technol. 55, 3081–3090 (2021).
Lee, J. H. & Hopke, P. K. Apportioning sources of PM2.5 in St. Louis, MO using speciation trends network data. Atmos. Environ. 40, 360–377 (2006).
Kim, S. Y. et al. Lag structure of the associations between PM2.5 components and hospitalization in Denver. Epidemiology 22, S199 (2011).
Thangavel, P., Park, D. & Lee, Y. C. Recent insights into particulate matter (PM2.5)-mediated toxicity in humans: an overview. Int. J. Environ. Res. Public Health. 19, 7511 (2022).
Zhang, F. et al. Exposure–response associations of ambient heavy metal and persistent organic pollutant with all-cause and cause-specific mortality: a prospective cohort study. Environ. Health. 3, 493–503 (2025).
Cha, Z. et al. Atmospheric heavy metal pollution characteristics and health risk assessment across various type of cities in China. Toxics 13, 220 (2025).
Oh, J. et al. Mortality burden due to short-term exposure to fine particulate matter in Korea. J. Prev. Med. Public. Health. 57, 185–196 (2024).
Acknowledgements
This work was supported by the Core Technology Development Project for Environmental Disease Prevention and Management (grant number: RS-2022-KE002052) and the Particulate Matter Management Specialized Graduate Program of the Korea Environmental Industry & Technology Institute, funded by the Ministry of Environment. This work was also supported by a grant from the NIER, funded by the Ministry of Environment of the Republic of Korea (grant number: NIER-2021-03-03-001).
Author information
Authors and Affiliations
Contributions
O.B.K.: Formal analysis, Writing-original draft, Writing-review & editing, E.J.L.: Software, Validation, Formal analysis, Visualization, M.N.L.: Software, Validation, Y.J.H.: Methodology, Resources, J.Y.A.: Resources H.J.S. : Resources, Writing-review & editing J.M.P.: Resources J.K.: Writing-review&editing W.J.K.: Conceptualization, Methodology, Writing-review & editing, Supervision.
Corresponding author
Ethics declarations
Competing interests
The authors declare no competing interests.
Additional information
Publisher’s note
Springer Nature remains neutral with regard to jurisdictional claims in published maps and institutional affiliations.
Rights and permissions
Open Access This article is licensed under a Creative Commons Attribution-NonCommercial-NoDerivatives 4.0 International License, which permits any non-commercial use, sharing, distribution and reproduction in any medium or format, as long as you give appropriate credit to the original author(s) and the source, provide a link to the Creative Commons licence, and indicate if you modified the licensed material. You do not have permission under this licence to share adapted material derived from this article or parts of it. The images or other third party material in this article are included in the article’s Creative Commons licence, unless indicated otherwise in a credit line to the material. If material is not included in the article’s Creative Commons licence and your intended use is not permitted by statutory regulation or exceeds the permitted use, you will need to obtain permission directly from the copyright holder. To view a copy of this licence, visit http://creativecommons.org/licenses/by-nc-nd/4.0/.
About this article
Cite this article
Kwon, O.B., Lee, E.J., Lim, M.N. et al. Effects of PM2.5 and particle constituents on overall, cardiovascular, and respiratory mortality in Seoul. Sci Rep 16, 2984 (2026). https://doi.org/10.1038/s41598-025-32878-y
Received:
Accepted:
Published:
Version of record:
DOI: https://doi.org/10.1038/s41598-025-32878-y









