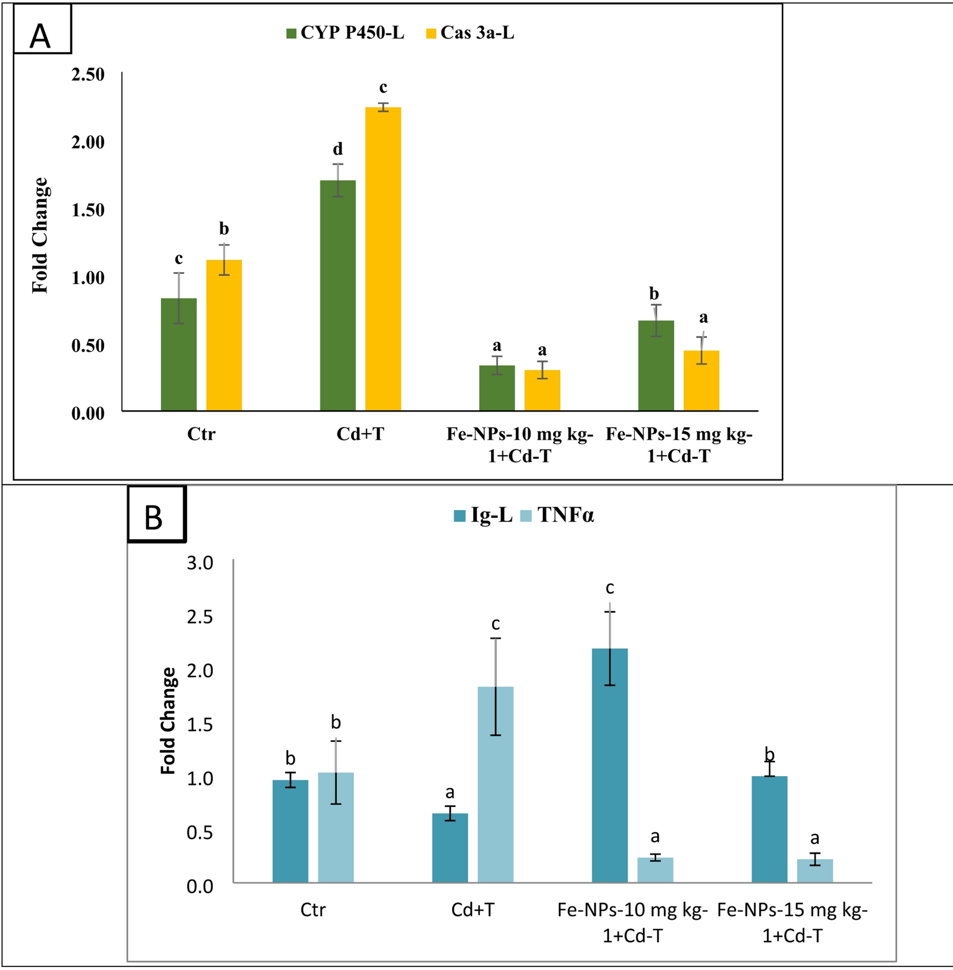
Fig. 4

(A,B) Potential role of Fe-NPs diets on gene expressions of CYP 450, CAS 3a, Ig and TNFα in liver tissue in fish reared under control or cadmium and high temperature stress for 40 days. Within endpoints and groups, bars with different superscripts differ significantly (a–d). Data expressed as Mean ± SE (n = 6).