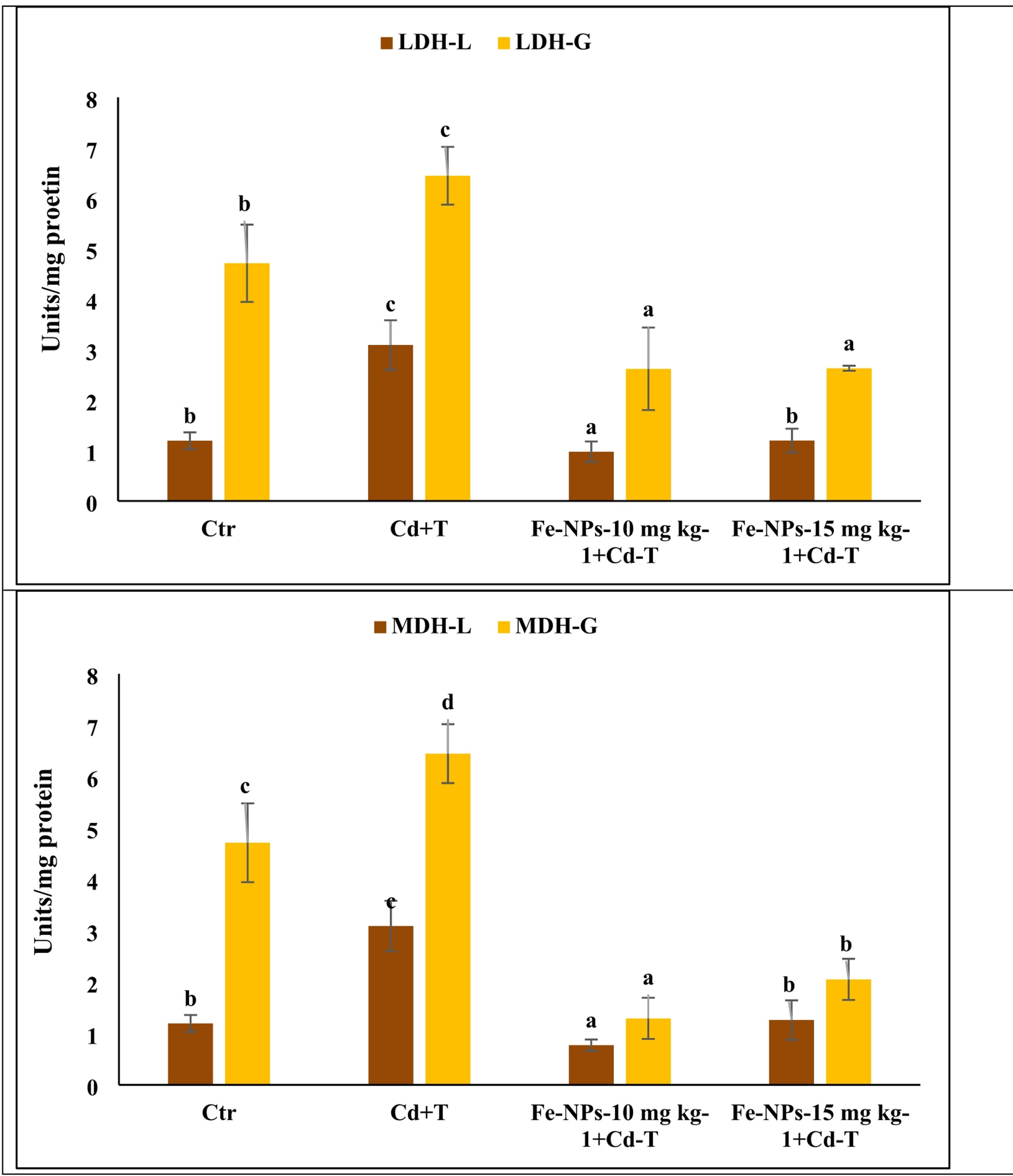
Fig. 8

(A,B) Potential role of Fe-NPs diets on LDH and MDH in liver and gill tissues of fish reared under control or cadmium and high temperature stress for 40 days. Within endpoints and groups, bars with different superscripts differ significantly (a–d). Data expressed as Mean ± SE (n = 6).