Abstract
Transition metal oxides (TMOs) have garnered significant attention as supercapacitor electrode materials, primarily because of their excellent electrical conductivity, enhanced electrochemical properties, and feasibility. However, the application of TMOs is limited by their ongoing Faradaic reactions, which can cause significant structural alterations or even destruction, as well as phase changes (in some cases) during cycling, ultimately degrading their capacitive performance. Thus, coupling with carbonaceous materials is highly recommended to improve the structural stability of TMOs in electrochemical energy storage applications. This study demonstrates anchoring MoO3 over reduced graphene oxide (rGO) and carbon nanotubes to mitigate the structural losses that occur during the electrochemical process. The structural, morphological, and chemical characteristics of the synthesized materials were examined via XRD, FTIR, Raman spectroscopy, FE-SEM, EDS, and elemental mapping. BET analysis revealed that MWCNT@MoO3 and rGO@MoO3 had significantly larger surface areas and mesoporous characteristics, with specific surface areas of 43.97 m²/g and 81.14 m²/g, respectively, compared to those of pure MoO3 (17.89 m²/g). Furthermore, the electrochemical performance of the composites was investigated. The rGO@MoO3 nanocomposite electrode is superior to pure MoO3, and the MWCNT@MoO3 electrode has the most significant specific capacitance (490 F/g). After 5000 cycles, the electrode maintained 90.9% of its opening capacitance, indicating remarkable cycling stability. Furthermore, the coin-cell symmetric model of rGO@MoO3 yields an energy density of 36.04 Wh kg− 1 and a power density of 677.2 Wkg-1 at a current density of 1 Ag− 1. The rGO@MoO3 nanocomposite enhances its electrochemical performance due to its high surface area, mesoporous structure, and synergistic interaction between rGO and MoO3.
Introduction
The increased use of fossil fuels and increasing levels of pollutants in the environment make finding effective and eco-friendly solutions for storing energy crucial for addressing the growing need for energy storage from sustainable sources1,2,3. Supercapacitors (SCs) are gaining popularity because of their excellent power density, rapid discharge and charge rates, high specific capacitances, and extended cycle stability4,5. SC devices with high specific capacitance have emerged as promising solutions to the challenge of miniaturization in electrical appliances, electric vehicles, and microelectronic-based energy systems6,7,8,9. SCs can be divided into two core categories based on their methods of electrical charge storage: electrochemical double-layer SCs (EDLCs) and pseudocapacitors10,11. The charge accumulated in an EDLC arises from the nonfaradaic reversible processes of ion adsorption and desorption occurring at the interfaces between the electrodes and the electrolytes.
A pseudocapacitor gathers charge by extracting and inserting ions from the electrolyte at the surface of the electrode material, resulting in a greater energy density than that of an EDLC12,13. Extensive efforts have been undertaken to develop highly effective electrode substrates for SCs. The meticulous creation of electrode materials that exhibit enhanced electrochemical properties has been crucial for the advancement of effective electrical devices14,15. The prominent stability and abundant availability of redox-active sites in transition metal oxides have prompted investigations into their potential as effective electrode materials for supercapacitors16,17,18,19. Molybdenum oxide (MoO3) has attracted considerable attention as a pseudocapacitor material for energy storage applications20. MoO3 is recognized as a highly promising anode material, with a theoretical specific capacity of 1111 mAhg− 1, which is almost three times greater than that of graphite21,22. Prakash and colleagues developed a nanocrystalline MoO3 electrode material with a specific capacitance of 176 F/g23. Shakir and colleagues synthesized orthorhombic MoO3 nanowires, achieving a capacitance of 168 F/g at a current density of 0.5 A/g24. MoO3 has been synthesized via various methods, such as solvent combustion25, sol-gel26, microwave synthesis27, and green synthesis methods28. The hydrothermal process is widely used for producing MoO3 nanoparticles29. This approach enables researchers to investigate how temperature, pressure, and reaction time impact a material’s physicochemical properties. These settings may be systematically varied to optimize the properties and performance of the synthesized nanoparticles30.
However, MoO3 has limited ionic and electrical conductivity, which significantly limits its electrochemical properties and ability to achieve consistent theoretical values31. The discovery of graphene and its remarkable physical properties have led to significant interest in two-dimensional (2D) materials. Consequently, researchers have been exploring a diverse range of planar materials, including transition metal oxides, carbides, and nitrides32. The substances under investigation exhibit special properties such as higher conductivity, redox potential, excessive packing density, and extensive surface chemistry33. These characteristics are being explored for their potential applications in electrochemical energy storage. Consequently, researchers have been exploring a diverse range of planar materials, including transition metal oxides, carbides, and nitrides. The substances under investigation exhibit special properties such as higher conductivity, redox potential, excessive packing density, and extensive surface chemistry34. These characteristics are being explored for their potential applications in electrochemical energy storage.
Researchers have utilized MoO3 in conjunction with carbon materials that exhibit high electrical conductivity, such as MWCNTs and rGO, often mixed with metal oxides to enhance electrical performance35,36. Adding these carbon-based materials considerably enhances the overall electrochemical performance of the composites. MWCNTs are effective channels for electron transport; however, rGO has a larger surface area and increased conductivity, allowing faster charge transfer. This synergistic effect enhances capacitance and improves cyclic stability in electrochemical applications37. Deng et al. developed three-dimensional interlinked MoO3/polypyrrole/rGO composites. The resulting composites exhibited a specific capacitance of 412 F/g at 0.5 A/g and exceptional cycle stability38. Shakir et al. employed hydrothermal processes to synthesize interwoven nanocomposites of MoO3 and MWCNTs, thereby enhancing the performance of an energy storage device. The findings indicated that the nanocomposites demonstrated enhanced capacitive charge-discharge properties compared to those of the bare material39. Ho et al. utilized a low-temperature solvothermal method to attach MoO3 to exfoliated graphene sheets. The results indicate that the capacitance of the synthesized nanocomposite reaches 148 F/g, which is greater than that of pristine MoO340.
In this work, we synthesized MoO3 nanoparticles via a hydrothermal technique with polyethylene glycol (PEG) as a modifier to effectively tune the morphology of the nanoparticles. The hydrothermal method was employed because of its ability to produce highly crystalline nanoparticles with a uniform particle distribution and controlled morphology, size, and composition. Similarly, the hydrothermal method was adopted for the composite due to its high-temperature, high-pressure aqueous environment, which facilitates rapid reactions and diffusion among components, leading to better integration and enhanced material properties compared to those of other methods40. This novel synthesis method improves the structure and electrochemical characteristics of MoO3. Ramachandran et al. used PEG 400 to synthesize nanosized α-MoO3, resulting in a specific capacitance of 121 F/g41. Several studies have reported on the synthesis of MoO3 nanoparticles; however, very few have focused on tuning the morphology of these nanoparticles to effectively intercalate with carbonaceous materials. Thus, our study utilized PEG as a surfactant to tune the morphology of MoO3 nanoparticles into flakes and orient them as hexagonal rod structures under optimal hydrothermal conditions. The modified morphology of the prepared MoO3 nanoparticles allows successful intercalation with carbonaceous materials, such as MWCNTs and rGO, to form heterojunctions. The incorporation of MWCNT or rGO to MoO3 was employed in the ratio of 1:10. This ratio was specifically chosen based on the several nanocomposites reported with carbonaceous materials, such as Fe2O3/rGO, Co3O4/rGO, SnO2/CD, NiO-GCN, and Bi2O3/ZnO/CNT42,43,44,45,46.
Experimental details
Materials
All the chemicals obtained were of analytical (AR) grade and were procured from Merck, India. Ammonium molybdate tetrahydrate ((NH4)6Mo7O24.4H2O), polyethylene glycol (PEG-3350), graphene oxide (99% purity), Potassium hydroxide (KOH), Hydrochloric acid (HCl). Deionized water (DI) was employed throughout all of the experiments.
Preparation of pure MoO3 and its nanocomposite
The synthesis of MoO3, MWCNT/MoO3, and rGO/MoO3 nanocomposites was achieved through a hydrothermal method. To begin, 0.5 M ammonium molybdate was combined with 25 ml of deionised water and stirred for 40 min to ensure thorough dissolution. A distinct beaker held 0.01 M PEG, which was dissolved in 15 mL of deionized water and stirred for 35 min. The PEG solution was systematically integrated into the previously discussed precursor, succeeded by the careful dropwise introduction of 10 mL of diluted HCl, all while ensuring continuous stirring throughout the process. The mixture was subsequently placed in an autoclave and maintained at 160 °C for 24 h. The synthesised nanoparticles were meticulously cleaned using ethanol and deionised water, ensuring the complete removal of any residual chemicals. The nanoparticles were dried at 80 °C, followed by calcination at 400 °C for 4 h to achieve the MoO3 NPs. Additionally, the MWCNT/MoO3 and rGO/MoO3 nanocomposites were synthesized through the same method as pure MoO3 (1 g), incorporating 0.1 g of MWCNTs and rGO into the reaction mixture prior to transferring it to the autoclave. The resulting nanocomposites were gathered. Figure 1 presents a visual representation of the preparation process for pure MoO3 and its nanocomposites.
Graphic illustration of the formation of MoO3 and its nanocomposites.
Structural characterizations
The materials’ crystallographic properties were studied using an Empyrean Malvern Panalytical multipurpose X-ray diffractometer (XRD). The formation of the functional group was investigated via Fourier transform infrared (FTIR) spectroscopy (Bruker VERTEX 70). Raman spectroscopy was performed via a laser Raman microscope (Raman-11,500 mm spectrometer from Nanophoton Corporation, Japan). The material was scanned via a Carl Zeiss-Sigma 300 FESEM apparatus. The pore volumes and adsorbent N2 isotherms were measured via the Quanta Chrome Nova 1200e system. To gain deeper insight into the bonding characteristics of the prepared MoO3 and carbonaceous nanocomposites, X-ray photoelectron spectroscopy (XPS) (PHI - VERSAPROBE III) was employed.
Electrochemical measurements
The preparation of a three-electrode cell was conducted for electrochemical testing, utilizing a nickel foam coated with active compounds as the working electrode, a platinum wire as the counter electrode, and a saturated Ag/AgCl electrode as the reference electrode. The working electrode consisted of 85% active material, 10% PVDF serving as a binder, and 5% carbon black. This mixture was then blended with several droplets of N-methyl-2-pyrrolidone to create a slurry. The resulting slurry was consistently applied to a 1 × 1 cm2 nickel foam substrate and dried for 8 h at 80 °C. A 3 M KOH aqueous electrolyte was employed to conduct measurements within the 0–0.5 V potential range. An AutoLab PGSTAT 30 potentiostat workstation was used to conduct these experiments at room temperature. The techniques employed included electrochemical impedance spectroscopy, galvanostatic charge‒discharge (GCD), cyclic voltammetry (CV), and cyclic stability (CTS). The material’s specific capacitance was assessed via Equ. (1)24.
where m denotes the mass of the active material (grams), i denotes the charge‒discharge current (amps), Δv represents the variation in voltage during discharge, and Δt represents the discharge time (seconds).
Results and discussion
Figure 2. (a) XRD patterns of the prepared MoO3 and nanocomposites. The observed predominant peaks of the prepared MoO3 NPs are consistent with the orthorhombic structure of α-MoO3 with space group pn m a (62), matching ICDD card no. 96–900-967047. Notably, a strong diffraction peak observed at 27.35°, corresponding to the (210) crystal plane, confirms the presence of the α-MoO3 phase in the prepared MoO3 NPs. Moreover, the diffraction peaks are sharp, well resolved, and intense, indicating the phase purity and high crystallinity of the synthesized sample. Furthermore, the absence of amorphous phases of PEG in the MoO3 XRD spectra suggests that the addition of PEG in minimal quantities plays only a surfactant role. The absence of PEG phases in the XRD analysis can also be attributed to the use of a calcination process specifically at 400 °C, which ultimately breaks the chain structure of PEG. The addition of MWCNTs and rGO does not produce sharp peaks; however, the changes in the intensities of the MoO3 peaks suggest the successful integration of MWCNTs and rGO48. Furthermore, the XRD patterns of the rGO@MoO3 and MWCNT@MoO3 samples indicate that the addition of carbonaceous materials does not change the crystalline phase of MoO3, implying the potential for heterojunction formation49,50,51. The successful integration of MWCNTs and rGO was additionally validated through elemental studies, encompassing EDAX and XPS. Other crystallographic modifications, including changes in the cell volume, lattice parameters, microstrain, and dislocation density caused by anchoring MoO3 with MWCNTs and rGO, were investigated and are depicted in Table 1.
(a) XRD data and Rietveld refinement of (b) MoO3 NPs, (c) MWCNT@MoO3, and (d) rGO@MoO3 NCs.
Furthermore, the crystalline sizes of the prepared MoO3, MWCNT@MoO3, and rGO@MoO3, as determined via the Debye-Scherrer equation, are 38.52, 41.84, and 42.08 nm, respectively, as summarized in Table 1. Adding MWCNTs and rGO significantly increased the crystalline size of MoO3, which can be attributed to the increased size distribution and lattice strain51. To confirm this, the microstrain values of the prepared samples were determined via the following equation:
The calculated microstrain values for MoO3, MWCNT@MoO3, and rGO@MoO3 increased, as shown in Table 1. The calculated dislocation densities of the prepared MoO3, MWCNTs@MoO3, and rGO@MoO3 were 6.73 × 10− 3 line/m2, 5.71 × 10− 3 line/m2 and 5.64 × 10− 3 line/m2, respectively.
The Rietveld refinement was performed using Xpert HighScore Plus analytical software to analyze the structural parameters based on the calculated data. The Rietveld refinement was performed with user-identified background points following the pseudo-Voigt function. All the samples were refined with specific parameters in sequential order. The pure MoO3 nanoparticles were refined using ICDD card number 96–900-9670, and the calculated data for the MWCNTs and rGO were based on their graphite structural patterns, as found in ICDD card numbers 96–110-0004 and 96–901-4869. As observed from Fig. 2(b-d), the Rietveld refinement shows a good correlation with the observed and calculated data; however, minor deviations in the intensities of the observed data can be attributed to the following modifications in the experimental procedure. As shown in Table 1, the R factors obtained for the prepared samples correlate significantly with those reported in previous studies52,53,54. The Chi2 (χ2) values also illustrate that the sample correlates well with the specified calculated profile.
(a) FTIR spectra and (b) Raman spectra of pure MoO3 and the nanocomposites.
The detected peaks at 2924 and 3444 cm− 1 correspond to the symmetric and asymmetric O‒H stretching modes, along with the H‒O‒H bending mode, as shown in Fig. 3. The MWCNT@MoO3 and rGO@MoO3 nanocomposites exhibit peaks at 1628 cm− 1, which are attributed to C = C bonds and carbon dioxide55,56. This outcome validates the successful integration of carbon-based elements into the MoO3 matrix. The presence of CO2 results from the carbonization of organic molecules throughout synthesis and calcination. The carbon adsorbed on the surface of the composite particle signifies the existence of a well-integrated MoO3‒carbon composite structure57,58. This attribute augments the material’s applicability in supercapacitor applications59.
Figure 3. (b) Raman spectra of pure MoO3 alongside its nanocomposites, emphasizing their structural and vibrational characteristics. The observed peak at 824 cm− 1 (Ag, B1g) is attributed to the MO2 = O stretch modes associated with corner-sharing oxygen atoms located between two MoO6 octahedra. The peak at 997 cm− 1 (Ag, B1g) indicates asymmetric bending related to terminating oxygen atoms60. Notably, the spectra of MWCNT@MoO3 and rGO@MoO3 lack prominent Raman peaks associated with carbon, specifically the D or G bands. This absence can be attributed to the higher Raman scattering cross-section of most MoO3 emissions61,62,63. The reduced intensity of the MoO3 peaks in the MWCNT@MoO₃ and rGO@MoO3 nanocomposites indicates the presence of carbonaceous elements, which partially decreases the Raman response of MoO3. The interaction between MoO3 and carbonaceous materials improves the surface area and conductivity, which is important for electrochemical applications.
(a & b) FESEM images of pure MoO3, (c & d) MWCNT@MoO3, and (e & f) rGO@MoO3 NCs.
The FESEM images in Fig. 4 show the surface morphology and structural properties of the synthesized nanocomposites. Figure 4. (a & b) show that pure MoO3 has a hexagonal plate-like structure with irregular sizes and a wide surface area, measuring approximately 1–2 μm in width and 1–1.5 μm in length. The H⁺ ions from concentrated HCl were allowed to react with the MoO3 nanoparticles to generate hexagonal plates. These structures have a large surface area and are ideal for SC applications. Figure 4. (c & d) show the composite structure of MWCNT@MoO3, indicating a strong connection between MoO3 and the MWCNTs that prohibits particle aggregation. The unique structure of MWCNTs offers a wide surface area, enhancing the material’s interaction with electrolytes and improving its electrochemical activity. The functional groups on MWCNT surfaces promote chemical reactions and improve the catalytic capabilities of MoO3 nanoparticles64.
Figure 4 (e & f) shows the morphology of the rGO@MoO3 nanocomposite. The rGO sheets are uniformly distributed on the MoO3 nanoparticles, resulting in a high surface area and an interconnected network that improves the electrochemical performance. The strong electrical conductivity of rGO enhances the electrical characteristics of MoO3, facilitating rapid charge transfer during electrochemical processes64. The rGO layer incorporates MoO3 particles, facilitating efficient access to ions and electrons, making it suitable for outstanding performance in power storage devices. The charge storage ability of a material is significantly influenced by its morphology, and its cyclic stability is influenced by its crystallinity65. Thus, the hexagonal plate structures of alpha-phase MoO3, combined with highly surface-morphology materials such as rGO and MWCNTs, significantly improve the electrochemical energy storage and cycling stability. The FESEM morphologies directly rationalize the superior electrochemical response. Hexagonal MoO3 plates present high-density edge/terrace sites that host the surface-confined Mo6+/Mo5+ redox (HxMoO3 ↔ MoO3 + xH+ + xe−). When anchored on rGO sheets or intertwined with MWCNTs, the plates are uniformly dispersed, preventing agglomeration and creating short, open pathways for electrolyte infiltration. Together with the mesoporous regime evidenced by BJH (≈ 1.7–6.1 nm), this architecture shortens ion diffusion lengths and sustains rapid intercalation/de-intercalation during CV/GCD. Simultaneously, the continuous rGO/MWCNT network facilitates rapid electron percolation from redox fronts, thereby reducing charge-transfer losses and polarization. The carbon scaffold also contributes electric double-layer capacitance, while MoO3 supplies pseudocapacitance, yielding a synergistic EDL-pseudocapacitive response and enhanced cycling stability64.
EDS spectra of MWCNT@MoO3 and the rGO@MoO3 nanocomposite.
The EDS spectrum in Fig. 5(a) shows the elemental composition of MWCNT@MoO3, which contains 82.61% carbon (C), 12.36% oxygen (O), and 5.03% molybdenum (Mo). The significant presence of carbon indicates that the composite has a high concentration of MWCNTs, which contributes to increased electrical conductivity. Figure 5. (b) Elemental composition of rGO@MoO3 with a uniform distribution of weight percentages: C 50.92%, O 24.18%, and Mo 24.90%. This uniform distribution of rGO sheets across the MoO₃ nanoparticles highlights the excellent integration of the components.
Mapping images of the (a-d) MWCNT@MoO3 and (e-h) rGO@MoO3 nanocomposites.
Figure 6. (a-d) Spatial arrangement of carbon (C), oxygen (O), and molybdenum (Mo) in MWCNT@MoO3. The MWCNT framework shows a well-distributed MoO3 phase, with Mo (69%), O (13%), and C (18%) present. Figure 6. (e-h) shows the rGO@MoO3 nanocomposite with a balanced mixture of C (59%), O (10%), and Mo (31%). This elemental mapping confirmed the uniform anchoring of MoO3 on both the MWCNT and rGO supports, resulting in improved material characteristics.
The XPS spectra provide important insights into the bonding and electronic environment of the hybrid nanomaterial. The XPS survey spectra and depth profile images of the C 1 s, O 1 s, and Mo 3 d peaks of the MWCNTs@MoO3 nanocomposite are shown in Fig. 7(a-d), respectively. The C 1 s region shows characteristic peaks for sp² graphitic carbon along with C–O and O–C = O groups. The appearance of these oxygenated functionalities suggests that the MWCNTs undergo partial oxidation during the deposition of MoO3. This surface modification enhances the affinity between the carbon nanotubes and the oxide phase, enabling the stable anchoring of MoO3 nanostructures. Additionally, the broadening of the C 1 s peak compared with that of the pristine MWCNTs indicates strong interfacial interactions, which are favorable for charge transfer processes.
XPS spectra of the MWCNTs@MoO3 nanocomposite: (a) survey spectrum and (b, c, d) depth profiles of C 1 s, O 1 s, and Mo 3 d, respectively.
The O 1 s spectrum displays two main components: a lower binding energy peak near ~ 530 eV assigned to lattice oxygen in Mo–O bonds and a higher binding energy feature (~ 531–532 eV) attributed to hydroxyl groups or adsorbed oxygen species. The presence of this high-energy component implies the existence of oxygen vacancies and surface defects, which can serve as active sites in electrochemical reactions. Furthermore, the Mo 3 d region shows the characteristic doublets of Mo6+ at ~ 232.5 and ~ 235.7 eV, confirming the formation of MoO3. However, the minor features at slightly lower binding energies (~ 231 eV) suggest the coexistence of Mo5+ species, indicating the partial reduction of molybdenum and the presence of defect states. This mixed-valence behavior enhances the redox activity and conductivity of the composite, improving its suitability for energy-related applications.
XPS spectra of the rGO@MoO3 nanocomposite: (a) survey spectrum and (b, c, d) depth profiles of C 1 s, O 1 s, and Mo 3 d, respectively.
The XPS survey spectra and depth profile images of the C 1 s, O 1 s, and Mo 3 d peaks of the rGO@MoO3 nanocomposite are shown in Fig. 8 (a-d), respectively. The rGO@MoO3 nanocomposite exhibited distinct XPS features that reflected its defect-rich structure and strong oxide carbon interactions. The C 1 s spectrum reveals intense peaks for sp2 C-C bonds alongside oxygen-containing groups such as C-O and C = O. Unlike MWCNTs, rGO retains a greater fraction of oxygen functionalities even after reduction, which promotes effective chemical bonding with MoO3 nanoparticles. These residual oxygen groups provide nucleation sites for MoO3 growth and enhance the dispersion of oxide particles on the graphene sheets.
In the O 1 s region, the lattice oxygen peak is accompanied by a more prominent high-binding-energy signal than that of MWCNTs@MoO3, indicating that rGO stabilizes more adsorbed oxygen species and defect sites. These features arise from the abundant edges and structural imperfections inherent in rGO, which increase its reactivity and surface area. The Mo 3 d spectrum further supports this observation, as typical Mo6+ doublets are accompanied by a more significant contribution from Mo5+ species. This indicates a higher oxygen vacancy concentration and partial reduction of molybdenum in the rGO composite. Such defect-rich chemistry facilitates enhanced electronic conductivity and catalytic activity, making rGO@MoO3 highly attractive for use in electrochemical energy storage and conversion applications.
While both composites exhibit Mo6+ as the dominant oxidation state with minor contributions from Mo5+, their carbon support plays distinct roles. MWCNTs provide a stable, less defective tubular framework that ensures mechanical integrity and moderates electronic interactions. In contrast, rGO has a planar structure with a higher defect density and more oxygen vacancies, resulting in stronger interfacial bonding and superior redox activity. Thus, MWCNTs@MoO3 exhibits structural robustness, whereas rGO@MoO3 offers enhanced electrochemical reactivity, making it more promising for applications that require high activity and rapid charge transfer.
(a) N2 isotherm plots and (b) BJH pore size distribution curves.
Figure 9 illustrates the N2 adsorption-desorption isotherms (Fig. 9a) and BJH pore size distribution curves (Fig. 9b) of pristine MoO3 and its nanocomposites, MWCNT@MoO3 and rGO@MoO3. All samples exhibit characteristic type IV isotherms with H1-type hysteresis loops, confirming the mesoporous nature of the materials according to the IUPAC classification66,67,68. The pronounced hysteresis loops observed in the relative pressure range P/P₀ = 0.4–1.0.4.0 indicate capillary condensation within uniform mesopores, a typical feature of aggregated slit-like pore channels formed by layered oxide nanostructures. The BJH pore size distributions (Fig. 9b) reveal that all materials possess pore diameters within the mesoporous regime (1.7–6.1 nm). The pure MoO3 shows an average pore diameter of 6.14 nm, while the incorporation of MWCNTs and rGO effectively narrows the pore size to 3.44 nm and 1.71 nm, respectively, suggesting improved textural refinement due to the uniform dispersion of MoO3 nanoparticles along the conductive carbon network. As summarized in Table 2, the specific surface area significantly increases from 17.89 m2/g (MoO3) to 43.97 m2/g (MWCNT@MoO3) and 81.14 m2/g (rGO@MoO3). This substantial enhancement for rGO@MoO3 can be attributed to the high surface area and two-dimensional structure of the rGO sheets, which prevent the agglomeration of MoO3 particles and create an interconnected porous framework. Furthermore, the reduced pore size and abundant mesopores facilitate faster ion transport and electrolyte accessibility, which are advantageous for photocatalytic and electrochemical applications68,69,. In terms of electrochemical behavior, such structural and textural improvements directly translate to superior performance. The larger surface area provides a greater number of electroactive sites, promoting efficient redox activity and faster charge accumulation. The smaller pore size and interconnected mesopores in rGO@MoO3 enable rapid ion diffusion, minimizing internal resistance and thereby improving both charge transfer kinetics and capacitive response. Furthermore, the conductive rGO framework enhances electron mobility throughout the electrode matrix, reducing polarization losses and ensuring stable cycling. Conversely, the lower surface area and wider pores of pristine MoO3 hinder ion accessibility and slow charge transport, resulting in reduced electrochemical activity.
The thermal stability of the pure MoO3, rGO@MoO3, and MWCNT@MoO3 nanocomposites was systematically evaluated via thermogravimetric (TG) analysis, as shown in Fig. 10. The TG profiles of all the samples exhibited two major stages of weight loss. The first stage, occurring in the lower temperature region up to ~ 200 °C, corresponds to the desorption of physically adsorbed water and the elimination of volatile surface groups. In this region, pure MoO3 undergoes a more pronounced weight reduction than the composites do, indicating that bare MoO3 possesses a greater density of surface hydroxyl groups and physisorbed water molecules. In contrast, the incorporation of carbon supports significantly suppresses the initial weight loss, as the strong interfacial interaction of MoO3 with rGO, especially with MWCNTs, minimizes surface defect sites and adsorbed species. This effect is particularly evident for MWCNT@MoO3, which displays the smallest weight loss in the initial region.
Thermal analysis of the pure MoO3, MWCNT/MoO3, and MWCNT/MoO3 nanocomposites.
The second stage, extending from ~ 200 °C to 1000 °C, is associated with the gradual loss of structural oxygen, partial decomposition of MoO3, and oxidative degradation of the carbonaceous matrix in the composites. Notably, the total weight loss at 1000 °C differed among the three samples. The pure MoO3 and rGO@MoO3 nanocomposites exhibited almost identical overall mass losses of 12.65% and 12.58%, respectively, whereas the MWCNT@MoO3 nanocomposite demonstrated significantly improved thermal resistance with a lower mass loss of 9.38%. The nearly overlapping TG curves of MoO3 and rGO@MoO3 suggest that the introduction of rGO does not impart substantial thermal stabilization. This is likely due to the presence of residual oxygenated functional groups in rGO, which decompose at elevated temperatures and counteract any stabilizing effect. On the other hand, MWCNTs, which are more graphitic and structurally ordered, resist thermal oxidation more effectively, providing a robust conductive framework that protects the MoO3 phase from decomposition. Additionally, the tubular geometry of MWCNTs may create a shielding effect that reduces oxygen diffusion and restricts volatilization of lattice oxygen from MoO3, thereby improving overall mass retention.
The thermal stability of the studied samples followed the order MWCNT@MoO3 > rGO@MoO3 > pure MoO3. The improved stability of MWCNT@MoO3 makes it a promising candidate for high-temperature applications, particularly in catalysis and energy devices where enhanced structural robustness is critical. In contrast, the rGO-based composite does not significantly enhance stability under oxidative conditions, highlighting the importance of selecting appropriate carbon supports to optimize the thermal endurance of oxide-based nanocomposites.
(a) Comparison of the CV curves of the MoO3 and nanocomposite electrodes at 25 mV/s. (b) MoO3, (c) MWCNTs@MoO3 and (d) rGO@MoO3 nanocomposites.
The comparison CV profiles are represented in Fig. 11 (a). The rGO@MoO3 electrode exhibits a greater current response than the MWCNTs@MoO3 and pure MoO3, indicating enhanced electrochemical activity. This enhancement is potentially due to the superior electrical conductivity and larger surface area of rGO, which facilitates faster electron transport and ion diffusion70,71. Figure 11 (b-d) shows the CV curves of all the electrodes, revealing different reduction and oxidation peaks. These peaks indicate that reversible redox reactions occur inside the electrodes during charge‒discharge. The pseudocapacitive characteristics of the electrode materials are demonstrated by this behavior69..
(a) Comparative GCD curves of pure MoO3 and nanocomposite electrodes at 1 A/g, (b) MoO3, (c) MWCNTs, and (d) rGO nanocomposites.
The supercapacitive characteristics of the electrode were assessed via charge-discharge curves with a potential window of 0–0.5 V. Figure 12(a) shows the comparative GCD curves at a current density of 1 A/g. The rGO@MoO3 electrode exhibited the longest charge-discharge durability, indicating its superior specific capacitance compared with that of MWCNTs@MoO3 and pure MoO3, which was attributed to the enhanced conductivity and effective ion transport of rGO. Figure 12 (b-d) shows GCD profiles of all electrodes at current densities ranging from 0.5 to 10 A/g, which reveal symmetry in charge‒discharge cycles with redox peaks, suggesting significant reversibility of the electrodes72,73,74. Pure MoO₃ has substantial decreases in IR and shorter charge‒discharge times, indicating low conductivity and limited charge storage capacity. MWCNT@MoO3 reduces the number of IR drops and improves the charge‒discharge duration via its conductive network. rGO@MoO3 has remarkable electrochemical performance, with extended discharge durations, low IR drops, and high rate capability across all current densities. The improved performance of rGO@MoO3 is attributed to the synergistic impact of rGO, which enhances the electrical conductivity and provides a solid structure for effective ion transport and the utilization of active sites. When the maximum pore sizes observed for MWNCT@MoO3 and rGO, as determined by BET, were compared, superior performance was observed for the rGO@MoO3 nanocomposites. This can be attributed to several factors. Initially, the layered structure of rGO offers short ion diffusion pathways and a larger contact interface with the electrolyte, whereas in MWCNTs, ion diffusion is restricted to the external walls, and inner cavities are often blocked or less accessible. Furthermore, rGO contains structural defects, vacancies, and edge sites that act as additional storage points for ions; on the other hand, MWCNTs are comparatively more crystalline, with fewer defect sites, which limits their ability to adsorb ions. Thus, despite the large pore size observed in MWCNT@MoO3, the rGO@MoO3 nanocomposite exhibited superior electrochemical performance.
(a) Variation in specific capacitance, (b) cyclic stability graph for 5000 GCD cycles at 10 A/g.
Figure 13. (a) Comparison of the Csp values that were calculated for all electrodes on the basis of the GCD curves. The rGO@MoO3 electrode exhibited the highest Csp of 491 F/g at a current density of 0.5 A/g, which was significantly higher than the Csp values of 452 and 380 F/g for the MWCNTs@MoO3 and pure MoO3 electrodes, respectively. At 10 A/g, the Csp values for rGO@MoO3, MWCNTs@MoO3, and pure MoO3 decreased to 277, 260, and 220 F/g, respectively. This reduction is attributed to limitations in ion intercalation as the current density increases. Table 3 compares the Csp values for the three electrodes. The high specific capacitance of rGO@MoO3 arises from its pseudocapacitive nature in the KOH electrolyte, which improves ion transport and charge storage efficiency.
Figure 13 (b) shows the cycling stability of all electrodes after 5000 GCD cycles at a current density of 10 A/g. The rGO@MoO3 electrode maintained 90.9% of its initial capacitance for 5000 cycles, demonstrating exceptional cycling stability and extended performance. The MWCNTs@MoO3 electrode maintained 88.8% of its initial capacitance after cyclic testing, whereas the pure MoO3 electrode retained 80.4% of its initial capacitance. Compared with the other electrodes, the rGO@MoO3 electrode retained a high capacitance after 5000 cycles, indicating high cycling stability and long-term performance. Similarly, Murugesan et al. synthesized a MoO3/carbon cloth composite via magnetron sputtering. The electrode exhibited a high Csp of 240 F/g at 1.5 mA/cm² and demonstrated outstanding cycling stability, retaining 78.8% of its original capacitance after 5000 cycles75. Xia Zhang et al. employed in situ oxidative polymerization to produce a MoO3/PPy composite. At 1 A/g, the electrode exhibited a Csp of 113 F/g. Additionally, it demonstrated exceptional cycling stability, maintaining 90% of its original capacitance after 200 cycles76.
Capacitive contribution of the CV curve at 10 mV/s and estimated values of capacitive charge storage relative to diffusion at different scan rates for (a, d) MoO3, (b, e) MWCNT@MoO3, and (c, f) rGO@MoO3.
Figure 14 (a, b, c) shows the surface-controlled contribution at 10 mV/s, and Fig. 14 (d, e, f) shows the capacitive contribution, which is greater than the diffusion contribution at high scan rates, likely due to rapid ion exchange with increasing scan rates. The charge storage mechanism of the active materials was determined by the power-law relationship from the CV curves
.
where ν denotes for a scan rate, a and b are configurable variables, and i represents a current density. The charge storage mechanism was defined by the b-value obtained from the slope of log i against log v plot at a fixed potential. A ″b″ value of 1 represents the surface-controlled capacitive performance, while a " b≈” value of 0.5 indicates the diffusion-controlled process. The b-values for the oxidation and reduction reactions of electrodes were approximately 0.56, 0.66, and 0.72 for MoO3, MWCNTs@MoO3, and rGO@MoO3, respectively, suggesting the ion capacitive process for MWCNT and rGO conquered the charge storage mechanism. The capacitive and diffusion contributions were assessed by Dunn’s Eqs. 45,76.
where k1 and k2 are constants, ν is a scan rate corresponding to the CV curves, and i(V) denotes the current response at an assumed voltage. The intercept and slope of the linear relationship between \(\:i\left(V\right)/{v}^{1/2}\) and \(\:{v}^{1/2}\) are attributed to the values of k2 and k1, respectively. The addition of MWCNTs and rGO to MoO3 could lead to an improvement in the electronic conductivity of the composite, thereby enhancing the charge transfer kinetics at the electrode‒electrolyte interface. This enhancement increases the diffusive capacitance and total specific capacitance. However, the capacitive contribution to the total specific capacitance is closely linked to the electrode’s surface area. The incorporation of MWCNTs and rGO could increase the surface area available for charge storage, thereby increasing the capacitive contribution to the total specific capacitance. Nevertheless, the increase in surface area may not fully offset the decrease in the capacitive contribution relative to the diffusive portion caused by the higher electronic conductivity of rGO. The diffusive capacitance of MoO3 is very low due to its rod morphology, which has a less porous surface, preventing the intercalation of ions. However, the diffusivity increases with the addition of carbon materials that have high porosity, which enables ions to intercalate and enhances the overall energy storage.
Nyquist plots of pure MoO3 and its nanocomposite electrodes (the inset shows an equivalent circuit diagram).
Figure 15 shows the Nyquist plots obtained from EIS for the synthesized electrode materials, with the corresponding equivalent circuit model shown in the inset. The solution resistance (Rs) values for the pure MoO3, MWCNTs@MoO3, and rGO@MoO3 electrodes were measured to be 0.69 Ω, 0.72 Ω, and 1.80 Ω, respectively. The charge transfer resistance (Rct) decreases notably across the samples, with values of 190 Ω for MoO3, 115 Ω for MWCNTs@MoO3, and 60 Ω for rGO@MoO3. This reduction in Rct suggests enhanced charge transport within the composite materials. The improved conductivity is attributed to the incorporation of carbon and oxygen-containing functional groups on the electrode surfaces, which promote better ion and electron movement62,77. This increase in electrochemical behavior is further supported by the presence of Warburg impedance (Zw), represented by the inclined line in the low-frequency region, indicating ion diffusion within the electrolyte78. Among the studied materials, the rGO@MoO3 nanocomposite demonstrates outstanding performance as a supercapacitor electrode, exhibiting efficient redox activity, excellent ion mobility, and low internal resistance, making it a promising candidate for real-world energy storage applications.
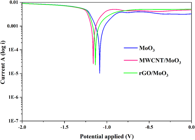
Tafel polarization plot of the prepared MoO3 and its nanocomposite electrodes.
The electrochemical behaviour of the prepared electrodes was further evaluated via Tafel polarisation analysis in a three-electrode system. The corresponding curves, along with the fitted parameters, are presented in Fig. 16; Table 4. The pristine MoO3 electrode exhibited an equilibrium potential (Ecorr) of −1.0839 V with a relatively low corrosion current density (icorr) of 0.000306 A. The associated polarization resistance (Rp) was calculated as 57.59 Ω, while the anodic and cathodic slopes were 0.08461 and 0.07806 V dec− 1, respectively. These values suggest sluggish charge transfer kinetics, originating from the intrinsically poor conductivity of pure MoO3, which restricts efficient electron transport and utilization of electroactive sites. Upon incorporation of carbonaceous materials, the electrochemical performance improved significantly. The MWCNT@MoO3 nanocomposite displayed a more negative Ecorr (−1.161 V), indicating a stronger thermodynamic driving force for interfacial redox reactions. Its icorr increased to 0.000661 A, nearly double that of pristine MoO3, whereas the Rp decreased to 29.237 Ω, confirming reduced charge transfer resistance and enhanced reaction kinetics. The observed anodic and cathodic slopes (0.12496 and 0.063116 V dec− 1, respectively) were steeper than those of bare MoO3, reflecting a more sensitive current response to the overpotential. This improvement can be attributed to the conductive framework of the MWCNTs, which promotes electron transport and offers additional active sites for redox processes.
Notably, the rGO@MoO3 composite demonstrated the highest icorr value (0.0009066 A) among the tested electrodes, even though its Rp (37.718 Ω) was slightly higher than that of MWCNT@MoO3. This apparent discrepancy can be rationalised by considering the Stern–Geary constant (B), which is directly related to the Tafel slopes. In the case of rGO/MoO3, both the anodic (0.2434 V dec− 1) and cathodic (0.1164 V dec− 1) slopes were significantly larger, leading to a higher B value and consequently a larger icorr despite a moderately higher Rp. Compared with that of pristine MoO3, the more negative Ecorr (−1.1348 V) of rGO@MoO3 also indicates an improved electron transfer capability. The enhanced performance of this composite can be attributed to the sheet-like architecture of rGO, which establishes an interconnected conductive network, prevents particle agglomeration, and ensures effective electrolyte penetration into the electrode structure.
Symmetric cell analysis of prepared rGO@MoO3: (a) CV curve, (b) GCD curve, (c) cyclic stability graph over 10,000 cycles, and (d) comparative analysis with various previously reported methods.
Among the prepared nanocomposite electrodes, the rGO@MoO3 nanocomposite electrode showed the best electrochemical performance. We fabricated a symmetric supercapacitor device with identical rGO@MoO3 nanocomposite (2 g each) electrodes separated by a cellulose-filled electrolyte solution containing 3 M KOH. The CV curves (Fig. 17a) were recorded over a potential window of 0–1.4 V at scan rates ranging from 5 to 100 mV s− 1. The curves exhibit a nearly rectangular shape without prominent redox peaks, indicating dominant electric double-layer capacitance (EDLC) behaviour with a minor pseudocapacitive contribution from MoO3. The increase in the current response with increasing scan rates confirms the excellent rate capability and fast ion transport kinetics. Even at the highest scan rate (100 mV s− 1), the CV profiles maintain their shape, indicating minimal internal resistance and a stable electrode-electrolyte interface. The specific capacitance calculated at 5 mV s− 1 is 122.6 F g− 1, confirming substantial energy storage ability.
The GCD curves of the device (Fig. 17b) were obtained at current densities ranging from 0.5 to 10 A g− 1. The near-triangular shapes, with slight deviations from linearity, indicate a combination of EDLC and faradaic charge storage mechanisms. The longest discharge time was observed at 0.5 A g− 1, while higher current densities led to shorter discharge durations due to limited ion diffusion into the inner active sites at high rates. At 1 A g− 1, the device delivers a specific capacitance of 132.4 F g− 1, an energy density of 36.04 Wh kg− 1, and a power density of 677.2 W kg-1, demonstrating a balanced performance between energy and power capabilities. The enhanced energy and power features of the rGO@MoO3 based supercapacitor result from the synergistic combination of conductive rGO sheets and pseudocapacitive MoO3. The elevated energy density of 36.04 Wh kg− 1 is attributed to the improved charge accumulation enabled by the large surface area and effective ion diffusion at the rGO-MoO₃ interface. In the meantime, the device exhibits a remarkable power density of 677.2 W kg− 1, validating its capacity to provide energy swiftly without a considerable voltage decline. The remarkable electrochemical reversibility and minimal internal resistance facilitate stable charge-discharge transitions, underscoring the material’s potential for applications that demand both high power output and consistent energy delivery.
The cycling stability of the rGO@MoO3 symmetric cell was evaluated over 10,000 continuous GCD cycles at a current density of 10 A g− 1 (Fig. 17c). The device retains 94.2% of its initial capacitance, indicating exceptional durability and structural stability of the electrode material. The coulombic efficiency remains above 90.1% throughout cycling, confirming minimal energy losses and highly reversible charge-discharge processes. The inset plots of the first and last few cycles show almost identical GCD profiles, reinforcing the structural robustness of the rGO@MoO3 hybrid framework and stable electrolyte-electrode interaction over prolonged operation. The Ragone plot (Fig. 17d) compares the energy and power densities of the present device with those of previously reported rGO@MoO3 supercapacitors from the literature79,80,81,82. The fabricated symmetric device demonstrates a superior combination of high energy density and competitive power density, outperforming most reported systems in similar electrolyte configurations. This improved performance can be attributed to the synergistic effect between the pseudocapacitive MoO₃ nanoparticles and the high-conductivity rGO sheets, which together provide a large electroactive surface area, efficient electron transport pathways, and enhanced ion diffusion channels.
FRA spectra of the prepared symmetric coin cell of the rGO@MoO3 nanocomposite.
The impedance spectrum of the prepared coin cell electrode of the rGO@MoO3 nanocomposite is presented in Fig. 18, providing important insights into the charge transport behaviour and interfacial resistance of the electrode material before and after prolonged cycling. The Nyquist plots exhibit the characteristic features of supercapacitor electrodes, consisting of a high-frequency semicircle related to the charge transfer resistance (Rct) and a low-frequency linear region corresponding to the Warburg diffusion process. Initially, before cycling, the electrode showed a relatively large semicircle, indicating a high Rct and poor ion transfer kinetics at the electrode‒electrolyte interface. The relatively high values of Z′ and -Z″ in the pristine state reflect the intrinsic resistance of MoO₃ and the incomplete utilisation of active sites during the early stages. After 10,000 GCD cycles, a marked change in the impedance spectrum was observed. The radius of the semicircle decreased significantly, indicating a considerable reduction in the charge transfer resistance. This implies that the rGO@MoO₃ electrode underwent an activation process during repeated cycling, increasing the accessibility of electroactive sites and improving the electrical pathways. The reduction in both the real and imaginary impedance components suggests improved conductivity as well as better ion diffusion within the electrode structure. The presence of rGO in the composite plays a crucial role here, as its highly conductive carbon framework establishes efficient electron transport channels and prevents the agglomeration of MoO3. The long-term stability of the electrode material was further confirmed by the EIS results. Even after 10,000 cycles, the electrode not only maintained structural integrity but also exhibited improved electrochemical behavior compared with its pristine state. This improvement can be attributed to the synergistic interaction between rGO and MoO3, where rGO buffers the volumetric changes in MoO3 during repeated ion intercalation/deintercalation processes, thereby preserving the electrode morphology and preventing resistance growth. The reduced Rct after extensive cycling demonstrates that the electrode–electrolyte interface becomes more stable and conductive with time, which is highly desirable for practical supercapacitor applications.
Schematic representation of the charge transfer mechanism in the rGO@MoO3 nanocomposite.
The electrochemical charge transfer mechanism of the rGO@MoO3 nanocomposite is illustrated in Fig. 19. The charge transfer mechanism of the prepared nanocomposites involves a series of steps. Initially, the electrolyte cations migrate toward the surface of the MoO3 electrode, where they interact with the electroactive sites of the material83,84. This interaction is followed by redox reactions involving the transition metal centers of MoO3, in which Mo atoms undergo reversible changes in oxidation states (typically between Mo6+ and Mo5+). These redox transitions enable the storage and release of charge through electron transfer processes. In addition to redox activity, the electrochemical adsorption of cations occurs at the electrode/electrolyte interface58. This step involves a charge-transfer mechanism in which cations are adsorbed onto the surface of the MoO3 nanoflakes, thereby playing a significant role in the pseudocapacitive behavior of the electrode. Ultimately, due to the layered crystal structure of MoO3, the process of cation intercalation into the van der Waals gaps between adjacent layers is crucial for charge storage mechanisms. In addition to the intrinsic charge storage mechanisms of MoO3, the incorporation of an rGO matrix provides a significant synergistic effect. The rGO acts as a highly conductive pathway, facilitating rapid electron transport to and from the electroactive sites of the MoO3 nanostructures. The conductive network serves to diminish the internal resistance of the electrode material, consequently enhancing the charge transfer kinetics throughout electrochemical processes. The findings indicate that electrons can access the redox-active Mo centers with greater efficiency, thereby enhancing the overall effectiveness of MoO3 in charge storage applications. Additionally, the rGO plays a significant role in the overall capacitance by facilitating the development of an electric double layer due to its extensive specific surface area. The phenomenon of double-layer capacitance is attributed to the electrostatic accumulation of electrolyte ions at the interface formed between the carbon surface and the electrolyte. While MoO3 is primarily charged via faradaic redox reactions and ion intercalation into its layered structure, the rGO provides an additional nonfaradaic contribution, thereby improving the total capacitance of the composite electrode. Table 5 summarizes the electrochemical performance of previously reported MoO3-based electrodes from the literature, highlighting the importance of the rGO@MoO3 nanocomposite electrode.
Conclusion
In this study, we successfully synthesized and evaluated nanocomposites of pure MoO3, MWCNT@MoO3, and rGO@MoO3 to assess their potential for supercapacitor applications. Structural analysis validated the integrity of the MoO3 phase and its successful interaction with MWCNTs and rGO. BET analysis revealed significant improvements in the specific surface area and mesoporosity, with rGO@MoO3 exhibiting the largest surface area at 81.14 m2/g. The homogenous distribution of MoO3 in the carbon matrix was verified by Raman spectroscopy and elemental mapping. Electrochemical tests demonstrated the superior performance of rGO@MoO3 over MWCNT@MoO3 and pure MoO3 in terms of charge storage and conductivity. The rGO@MoO3 nanocomposite achieved a high Csp of 490 F/g, above the capacities of MWCNT@MoO3 (452 F/g) and pure MoO3 (380 F/g). In a 3 M KOH electrolyte, the retention of rGO@MoO3 after 5000 GCD cycles was observed to be 90.9%, surpassing the retention rates of 88.4% for MWCNT@MoO3 and 80.8% for pure MoO3. The rGO@MoO3 material demonstrated improved electrochemical performance attributed to its mesoporous structure, extensive surface area, and synergistic nanostructures. These features contributed to the acceleration of ion transport and the optimization of charge storage capabilities. Furthermore, symmetric cell analysis of the rGO@MoO3 nanocomposite exhibited outstanding electrochemical characteristics, achieving an energy density of 36.04 Wh kg− 1 and a power density of 677.2 W kg− 1, along with remarkable cyclic stability sustained over 10,000 cycles. The EIS spectra revealed minimal variation in charge-transfer resistance, confirming excellent interfacial integrity and long-term durability of the electrode material. These synergistic properties highlight the rGO@MoO3 nanocomposite as a highly efficient and structurally resilient candidate for next-generation supercapacitors. Looking ahead, integrating metal chalcogenides or heteroatom-doped carbon frameworks could further tailor the redox activity and electronic conductivity, paving the way toward high-energy, high-power hybrid energy storage systems with real-world applicability.
Data availability
Datasets generated and/or analysed during the current study are available from thecorresponding author upon reasonable request balamohan2006@gmail.com (M. Balachandramohan) ramasundaram79@hotmail.com (Subramaniyan Ramasundaram); Prathap.somu@jaipur.manipal.edu (Prathap Somu).
References
Song, K. et al. Novel hierarchical CoFe2Se4@CoFe2O4 and CoFe2S4@CoFe2O4 core-shell nanoboxes electrode for high-performance electrochemical energy storage. Chem. Eng. J. 390, 124175 (2020).
Li, Y. et al. Manganese-doped nickel molybdate nanostructures for high-performance asymmetric supercapacitors. Chem. Eng. J. 372, 452–461 (2019).
Hao, Y., Huang, H., Wang, Q., Wang, Q. & Zhou, G. Nitrogen-doped carbon/NiMoO4 nanospheres assembled by nanosheets and ultrasmall nanoparticles for supercapacitors. Chem. Phys. Lett. 728, 215–223 (2019).
Aadil, M. et al. Fabrication of CNTs supported binary nanocomposite with multiple strategies to boost electrochemical activities. Electrochim. Acta. 383, 138332 (2021).
Yuan, L. et al. Polypyrrole-coated paper for flexible solid-state energy storage. Energy Environ. Sci. 6, 470 (2013).
Ashan, M. et al. Elevating capacitive features of hydrothermally produced CeVS3 utilizing rGO for supercapacitor applications. Diam. Relat. Mater. 147, 111319 (2024).
Ejaz, Y. et al. Development of cost-efficient BaMnO3/rGO nanocomposite as electrode for energy storage applications in supercapacitor. Ceram. Int. 50, 27508–27519 (2024).
Zeshan, M. et al. Fabrication of ZnCr2O4/MnO2 composite electrodes by sonication procedure for advanced symmetric supercapacitors. Ceram. Int. 50, 47585–47594 (2024).
Xia, X. et al. Reduced-graphene oxide/molybdenum oxide/polyaniline ternary composite for high energy density supercapacitors: synthesis and properties. J. Mater. Chem. 22, 8314 (2012).
Zhang, S. et al. Template-assisted synthesized MoS2/polyaniline Hollow microsphere electrode for high performance supercapacitors. Electrochim. Acta. 312, 1–10 (2019).
Wang, Y. et al. Supercapacitor devices based on graphene materials. J. Phys. Chem. C Nanomater Interfaces. 113, 13103–13107 (2009).
Bose, S. et al. Carbon-based nanostructured materials and their composites as supercapacitor electrodes. J. Mater. Chem. 22, 767–784 (2012).
Zhao, C. et al. Improving the performance of microbial fuel cell stacks via capacitive-hydrogel bioanodes. Int. J. Hydrogen Energy. 97, 708–717 (2025).
Poudel, M. B., Yu, C. & Kim, H. J. Synthesis of conducting bifunctional polyaniline@Mn-TiO2 nanocomposites for supercapacitor electrode and visible light driven photocatalysis. Catalysts 10, 546 (2020).
Chao, D. et al. Array of nanosheets render ultrafast and high-capacity Na-ion storage by tunable pseudocapacitance. Nat. Commun. 7, 12122 (2016).
Amiri, O. et al. Plasmonic enhancement of dye-sensitized solar cells by using Au-decorated ag dendrites as a morphology-engineered. Renew. Energy. 125, 590–598 (2018).
Mahdiani, M., Sobhani, A., Ansari, F. & Salavati-Niasari, M. Lead hexaferrite nanostructures: green amino acid sol–gel auto-combustion synthesis, characterization and considering magnetic property. J. Mater. Sci. : Mater. Electron. 28, 17627–17634 (2017).
Ansari, F., Sobhani, A. & Salavati-Niasari, M. Simple sol-gel synthesis and characterization of new CoTiO3/CoFe2O4 nanocomposite by using liquid glucose, maltose and starch as fuel, capping and reducing agents. J. Colloid Interface Sci. 514, 723–732 (2018).
Lu, K., Song, B., Li, K., Zhang, J. & Ma, H. Cobalt hexacyanoferrate nanoparticles and MoO 3 thin films grown on carbon fiber cloth for efficient flexible hybrid supercapacitor. J. Power Sources. 370, 98–105 (2017).
Dong, Y. et al. Inhibiting effect of Na + pre-intercalation in MoO3 nanobelts with enhanced electrochemical performance. Nano Energy. 15, 145–152 (2015).
Li, H., Balaya, P. & Maier, J. Li-storage via heterogeneous reaction in selected binary metal fluorides and oxides. J. Electrochem. Soc. 151, A1878 (2004).
Rabbani, A. W. et al. Investigating the electrochemical performance of MnSe-supported SrZrO3 perovskite oxide nanocomposite as an electrode material for supercapacitor. Ceram. Int. 50, 22884–22896 (2024).
Prakash, N. G. et al. High performance one dimensional α-MoO3 nanorods for supercapacitor applications. Ceram. Int. 44, 9967–9975 (2018).
Shakir, I., Shahid, M., Rana, U. A. & Warsi M. F. In situ hydrogenation of molybdenum oxide nanowires for enhanced supercapacitors. RSC Adv. 4, 8741 (2014).
Parviz, D., Kazemeini, M., Rashidi, A. M. & Jafari Jozani, K. Synthesis and characterization of MoO3 nanostructures by solution combustion method employing morphology and size control. J. Nanopart. Res. 12, 1509–1521 (2010).
Dong, W. & Dunn, B. Sol–gel synthesis and characterization of molybdenum oxide gels. J. Non Cryst. Solids. 225, 135–140 (1998).
Manteghain, M., Tari, F. & Bozorgi, B. Microwave-assisted synthesis of molybdenum oxide nanoparticles. J. Part. Sci. Technol. 1, 121–127 (2015).
Fang, L., Shu, Y., Wang, A. & Zhang, T. Green synthesis and characterization of anisotropic uniform single-crystal α-MoO3nanostructures. J. Phys. Chem. C Nanomater Interfaces. 111, 2401–2408 (2007).
Sen, U. K. & Mitra, S. Synthesis of molybdenum oxides and their electrochemical properties against Li. Energy Procedia. 54, 740–747 (2014).
Bai, S. et al. HYDROTHERMAL SYNTHESIS OF α-MoO3 NANORODS FOR NO2 DETECTION. Int. J. Nanosci. 11, 1240044 (2012).
Chaji, A., Sajjadi, S. A. & Darband, G. B. Electrochemical efficiency of carbon nanofiber/molybdenum oxide nanocomposites synthesized by electrospinning used in supercapacitors and oxygen evolution reaction. J. Electroanal. Chem. (Lausanne Switz). 965, 118368 (2024).
Abdelmohsen, S. A. M. et al. Development and fabrication of transition metal based rGO nanocomposite for ultracapacitors applications. Diam. Relat. Mater. 156, 112429 (2025).
Maati, L. A. E. et al. Development of N-doped rGO/spinel nanohybrid for supercapacitor application. J. Organomet. Chem. 1040, 123824 (2025).
Abu, E. et al. Electrocatalyst for OER using surface-oriented stable perovskite nanostructure anchored g-C3N4 nanosheets. J. Indian Chem. Soc. 102, 102039 (2025).
Xie, B. et al. Advances in graphene-based electrode for triboelectric nanogenerator. Nanomicro Lett. 17, 17 (2024).
Wu, J. et al. A cost-effective and sensitive voltammetric sensor for determination of Baicalein in herbal medicine based on shuttle-shape α-Fe2O3 nanoparticle decorated multi-walled carbon nanotubes. Colloids Surf. Physicochem Eng. Asp. 717, 136850 (2025).
Earp, B. et al. Enhancement of electrical conductivity of carbon nanotube sheets through copper addition using reduction expansion synthesis. Mater. Res. Bull. 131, 110969 (2020).
Deng, H. et al. Fabrication of a three-dimensionally networked MoO3/PPy/rGO composite for a high-performance symmetric supercapacitor. ACS Omega. 6, 9426–9432 (2021).
Shakir, I. & Sarfraz, M. Evaluation of electrochemical charge storage mechanism and structural changes in intertwined MoO3–MWCNTs composites for supercapacitor applications. Electrochim. Acta. 147, 380–384 (2014).
Ho, M. Y., Khiew, P. S., Isa, D., Chiu, W. S. & Chia, C. H. Solvothermal synthesis of molybdenum oxide on liquid-phase exfoliated graphene composite electrodes for aqueous supercapacitor application. J. Mater. Sci. : Mater. Electron. 28, 6907–6918 (2017).
Ramachandran, S. P. et al. PEG-400 effect on α-MoO3 nanoparticle synthesis for Pseudo capacitance applications. J. Mater. Sci. : Mater. Electron. 28, 13780–13786 (2017). Hexamine.
Aadil, M. et al. Superior electrochemical activity of α-Fe2O3/rGO nanocomposite for advance energy storage devices. J. Alloys Compd. 689, 648–654 (2016).
Kumar, R. et al. Microwave-assisted thin reduced graphene oxide-cobalt oxide nanoparticles as hybrids for electrode materials in supercapacitor. J. Energy Storage. 40, 102724 (2021).
Balamurugan, A. et al. Detoxification of textile industry effluents using SnO2/carbon dots nanocomposites synthesized by green fabrication using Moringa leaves extract. J Mater. Sci. : Mater. Electron 36, 1125 (2025).
Kumar, G. S. et al. Exploring the synergistic effects of rGO and MWCNT in NiO-based mesoporous hybrid nanostructures for supercapacitor applications. J. Ind. Eng. Chem. https://doi.org/10.1016/j.jiec.2025.09.001 (2025).
Shanmugapriya, V. et al. Enhanced electrochemical performance of mixed metal oxide (Bi2O3/ZnO) loaded multiwalled carbon nanotube for high-performance asymmetric supercapacitors. J. Energy Storage. 55, 105739 (2022).
Barzegar, F. et al. Asymmetric supercapacitor based on an α-MoO3 cathode and porous activated carbon anode materials. RSC Adv. 5, 37462–37468 (2015).
Munawar, T. et al. Sunlight-activated Mo-doped La2CuO4/rGO perovskite oxide nanocomposite for photocatalytic treatment of diverse dyes pollutant. Mater. Sci. Eng. B Solid State Mater. Adv. Technol. 304, 117355 (2024).
Gouadria, S. et al. Facile development of perovskite/g-C3N4 nanohybrid as advance electrode materials for supercapacitor. Electrocatalysis 16, 738–748 (2025).
Rana, U. et al. Outstanding electrochemical behavior of reduced graphene oxide wrapped chromium sulfide nanoplates directly grown on nickel foam for supercapacitor applications. J. Solgel Sci. Technol. 103, 704–712 (2022).
Gouadria, S. et al. Investigation of metal chalcogenide/rGO nanohybrid supercapacitor as an efficient electrode for supercapacitor applications. Ionics (Kiel). 31, 6205–6217 (2025).
Medeiros Leão, G. S. et al. The synergic effect of h-MoO3, α-MoO3, and β-MoO3 phase mixture as a solid catalyst to obtain Methyl oleate. ACS Appl. Mater. Interfaces. 16, 60103–60121 (2024).
Silva, A. L. et al. Synthesis of MoO 3 by pilot-scale combustion reaction and evaluation in biodiesel production from residual oil. Int. J. Energy Res. 46, 7775–7787 (2022).
Lima, C. D. A. et al. Co-doped α-MoO3 hierarchical microrods: Synthesis, structure and phonon properties. Ceram. Int. 47, 27778–27788 (2021).
Puebla, S. et al. Strain tuning MoO3 vibrational and electronic properties. Npj 2D Mater. Appl 8, 5 (2024).
Hong, S. M. et al. Preparation of porous carbons based on polyvinylidene fluoride for CO 2 adsorption: A combined experimental and computational study. Microporous Mesoporous Mater. 219, 59–65 (2016).
Alanazi, M. M. et al. Electrochemical enhancement of BaMnO3 perovskites using Sm doping for supercapacitor applications. Ceram. Int. https://doi.org/10.1016/j.ceramint.2025.01.569 (2025).
Ali, M. et al. Development of Ce-doped SrTiO3 low-cost electrode material for supercapacitor applications. J Mater. Sci. : Mater. Electron 36, 320 (2025).
Klinbumrung, A., Thongtem, T. & Thongtem, S. Characterization of orthorhombic α-MoO 3 microplates produced by a microwave plasma process. J. Nanomater. 1–5 (2012). (2012).
Gowtham, B., Ponnuswamy, V., Pradeesh, G., Chandrasekaran, J. & Aradhana, D. MoO3 overview: hexagonal plate-like MoO3 nanoparticles prepared by precipitation method. J. Mater. Sci. : Mater. Electron. 29, 6835–6843 (2018).
Alrowaily, A. W. et al. Hydrothermally synthesized neodymium-doped Co3O4 nanostructures as electrode for supercapacitor applications. J Mater. Sci. : Mater. Electron 36, 246 (2025).
Kashif, M. et al. Physicochemical and electrochemical investigation of lead sulphide-graphene oxide hybrid nanostructure for energy storage applications. J. Electroanal. Chem. (Lausanne Switz). 974, 118680 (2024).
Gouadria, S., Abdullah, M., Alharbi, F. F., Aman, S. & Farid, H. M. T. Determination of doping strategy on the electrochemical performance of the hydrothermally prepared perovskite material. J. Solgel Sci. Technol. 113, 617–626 (2025).
Khandare, L. & Late, D. J. MoO3-rGO nanocomposites for electrochemical energy storage. Appl. Surf. Sci. 418, 2–8 (2017).
Ameri, B., Davarani, S. S. H., Roshani, R., Moazami, H. R. & Tadjarodi, A. A flexible mechanochemical route for the synthesis of copper oxide nanorods/nanoparticles/nanowires for supercapacitor applications: the effect of morphology on the charge storage ability. J. Alloys Compd. 695, 114–123 (2017).
Priyan, S. R. et al. Microwave-assisted sol-gel synthesis of mesoporous NiO-decorated silica nanostructures utilizing biogenic silica source for supercapacitor applications. J. Alloys Compd. 976, 173206 (2024).
Prashad Ojha, D., Babu Poudel, M. & Joo Kim, H. Investigation of electrochemical performance of a high surface area mesoporous Mn doped TiO2 nanoparticle for a supercapacitor. Mater. Lett. 264, 127363 (2020).
Alshammari, D. A., Aman, S., Ahmad, N., Riyad, Y. M. & Tahir Farid, H. M. Development of N doped C/MnAl2O4 spinel as environmental friendly energy storage devices. Ceram. Int. 50, 5424–5433 (2024).
Nagaraju, P., Arivanandhan, M., Alsalme, A., Alghamdi, A. & Jayavel, R. Enhanced electrochemical performance of α-MoO3/graphene nanocomposites prepared by an in situ microwave irradiation technique for energy storage applications. RSC Adv. 10, 22836–22847 (2020).
Askari, M. B., Salarizadeh, P. & Ramezan Zadeh, M. H. MoO3/WO3/rGO as electrode material for supercapacitor and catalyst for methanol and ethanol electrooxidation. Sci. Rep. 14, 9907 (2024).
Aryal, K. P. & Jeong, H. K. Nickel decorated graphite oxide and carbon nanofiber surface for electrochemical detection of dopamine. Chem. Phys. Lett. 761, 138088 (2020).
Rao, T. P., Kumar, A., Naik, V. M. & Naik, R. Effect of carbon nanofibers on electrode performance of symmetric supercapcitors with composite α-MnO2 nanorods. J. Alloys Compd. 789, 518–527 (2019).
Hussain, M. et al. Enhancement of capacitive properties of Ce-doped MnAl2O4 electrode for high performance energy storage applications. JOM (1989). 76, 4587–4597 (2024).
Hussain, M. et al. Synthesis of high-performance supercapacitor electrode materials by hydrothermal route based on ZnSe/MnSe composite. J. Phys. Chem. Solids. 188, 111919 (2024).
Murugesan, D., Prakash, S., Ponpandian, N., Manisankar, P. & Viswanathan, C. Two dimensional α-MoO3 nanosheets decorated carbon cloth electrodes for high-performance supercapacitors. Colloids Surf. Physicochem Eng. Asp. 569, 137–144 (2019).
Zhang, X., Zeng, X., Yang, M. & Qi, Y. Investigation of a branchlike MoO(3)/polypyrrole hybrid with enhanced electrochemical performance used as an electrode in supercapacitors. ACS Appl. Mater. Interfaces. 6, 1125–1130 (2014).
Zeshan, M. et al. Facile fabrication of binary metal chalcogenides (MS@NS) for supercapacitors applications via hydrothermal route. J. Solgel Sci. Technol. 113, 855–867 (2025).
Seliem, A. F. et al. ZIF-67 MOF-derived Mn3O4 @ N-doped C as a supercapacitor electrode in different alkaline media. ACS Omega. 9, 17563–17576 (2024).
Zhou, C. et al. A facile route to synthesize ag decorated MoO3 nanocomposite for symmetric supercapacitor. Ceram. Int. 46, 15385–15391 (2020).
Yuan, X. et al. Promising carbon nanosheets decorated by self-assembled MoO2 nanoparticles: controllable synthesis, boosting performance and application in symmetric coin cell supercapacitors. Ceram. Int. 46, 19981–19989 (2020).
Rajagopal, R. & Ryu, K. S. Synthesis of La and Ce mixed MnO2 nanostructure/rGO composite for supercapacitor applications. ChemElectroChem 5, 2218–2227 (2018).
Abbas, S. et al. High performance α-Fe2O3/rGO based prototype asymmetric coin cell supercapacitor in hybrid electrolyte. Electrochim. Acta. 517, 145761 (2025).
Qasim, M. Y. et al. Facile synthesis of MOF-derived carbon-supported LaZn@C nanocomposite as an efficient electrode material for supercapacitor. J. Alloys Compd. 1007, 176402 (2024).
Alharbi, F. F. et al. Design and fabrication of novel MnCr2O4 nanostructure: electrochemically deposited on stainless steel strip with enhanced efficiency towards supercapacitor applications. J. Mater. Sci. : Mater. Electron. 33, 7256–7265 (2022).
Tao, T., Chen, Q., Hu, H. & Chen, Y. MoO3 nanoparticles distributed uniformly in carbon matrix for supercapacitor applications. Mater. Lett. 66, 102–105 (2012).
Shaheen, I. et al. Electrochemical energy storage by nanosized MoO3/PdO material: investigation of its structural, optical and electrochemical properties for supercapacitor. J. Energy Storage. 36, 102447 (2021).
Zhou, J. et al. The synthesis of shape-controlled α-MoO3/graphene nanocomposites for high performance supercapacitors. New. J. Chem. 39, 8780–8786 (2015).
Bashir, S., Jamil, A., Habib, A., Ibn Shamsah, S. M. & Shahid, M. Role of carbonaceous matrix and nobel metal doping to boost the electrochemical aptitude of nanostructured MoO3. Ceram. Int. 47, 35224–35233 (2021).
Kumar, V. & Lee, P. S. Redox active polyaniline-h-MoO3hollow nanorods for improved pseudocapacitive performance. J. Phys. Chem. C Nanomater Interfaces. 119, 9041–9049 (2015).
Vattikuti, S. V. P. et al. Tiny MoO3nanocrystals self-assembled on folded molybdenum disulfide nanosheets via a hydrothermal method for supercapacitor. Mater. Res. Lett. 6, 432–441 (2018).
Acknowledgements
The authors acknowledge Manipal University Jaipur (MUJ) for financial support towards open-access publication. Prathap Somu also thanks Manipal University Jaipur for providing the necessary infrastructure and analytical facilities, including Field Emission Scanning Electron Microscopy (FESEM) and Fourier Transform Infrared Spectroscopy (FTIR), which were essential for conducting this study. Prathap Somu further acknowledges the Manipal Research Board (MRB) for financial support to carry out this research.
Funding
Open access funding provided by Manipal University Jaipur.
Author information
Authors and Affiliations
Contributions
M. Periyasamy: Conceptualisation, Investigation, Writing-Original Draft. M. Balachandramohan: Project administration, Supervision, Review and Editing. Srinivasan Surendhiran: Formal analysis, Data curation. Krishnaveni Selva Ganeshan Jagan: Formal analysis, Software. Athinarayanan Balasankar: Validation, Data curation. Tae Hwan Oh: Formal analysis, Data curation. Subramaniyan Ramasundaram: Review and Editing, Data curation. Prathap Somu: Formal analysis, Validation, Review and Editing, Data curation.
Corresponding authors
Ethics declarations
Competing interests
The authors declare no competing interests.
Ethical approval
This article does not contain any clinical Trial studies with human participants or animals performed by any authors.
Clinical trial number
Not applicable.
Consent to publish
Not applicable.
Consent to participate
Not applicable.
Additional information
Publisher’s note
Springer Nature remains neutral with regard to jurisdictional claims in published maps and institutional affiliations.
Rights and permissions
Open Access This article is licensed under a Creative Commons Attribution-NonCommercial-NoDerivatives 4.0 International License, which permits any non-commercial use, sharing, distribution and reproduction in any medium or format, as long as you give appropriate credit to the original author(s) and the source, provide a link to the Creative Commons licence, and indicate if you modified the licensed material. You do not have permission under this licence to share adapted material derived from this article or parts of it. The images or other third party material in this article are included in the article’s Creative Commons licence, unless indicated otherwise in a credit line to the material. If material is not included in the article’s Creative Commons licence and your intended use is not permitted by statutory regulation or exceeds the permitted use, you will need to obtain permission directly from the copyright holder. To view a copy of this licence, visit http://creativecommons.org/licenses/by-nc-nd/4.0/.
About this article
Cite this article
Periyasamy, M., Balachandramohan, M., Surendhiran, S. et al. Tailoring the electrochemical performance of MoO3 nanocomposites with MWCNTs and rGO for high-performance supercapacitors. Sci Rep 16, 214 (2026). https://doi.org/10.1038/s41598-025-32926-7
Received:
Accepted:
Published:
Version of record:
DOI: https://doi.org/10.1038/s41598-025-32926-7


















