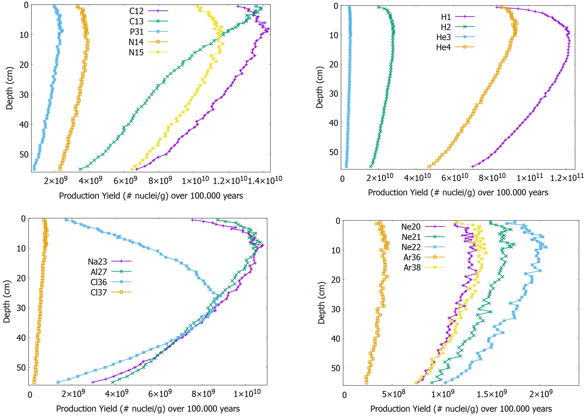
Fig. 3
From: Recent production rates of cosmogenic nuclides in the igneous rocks of Jezero crater floor, Mars

Accumulated production yield (#nuclei/g) over 100,000 years of different nuclides as a function of depth for the incident neutron flux measured by RAD for target (a).