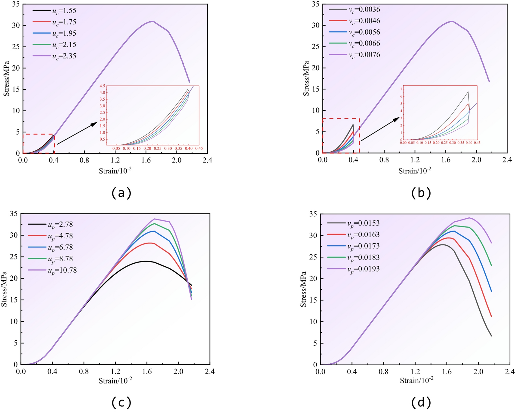
Fig. 9

Effect of different parameters on model curves. (a) Effect of uc on the model curve, (b) Effect of vc on the model curves, (c) Effect of up on the model curve, (d) Effect of vp on the model curves.

Effect of different parameters on model curves. (a) Effect of uc on the model curve, (b) Effect of vc on the model curves, (c) Effect of up on the model curve, (d) Effect of vp on the model curves.