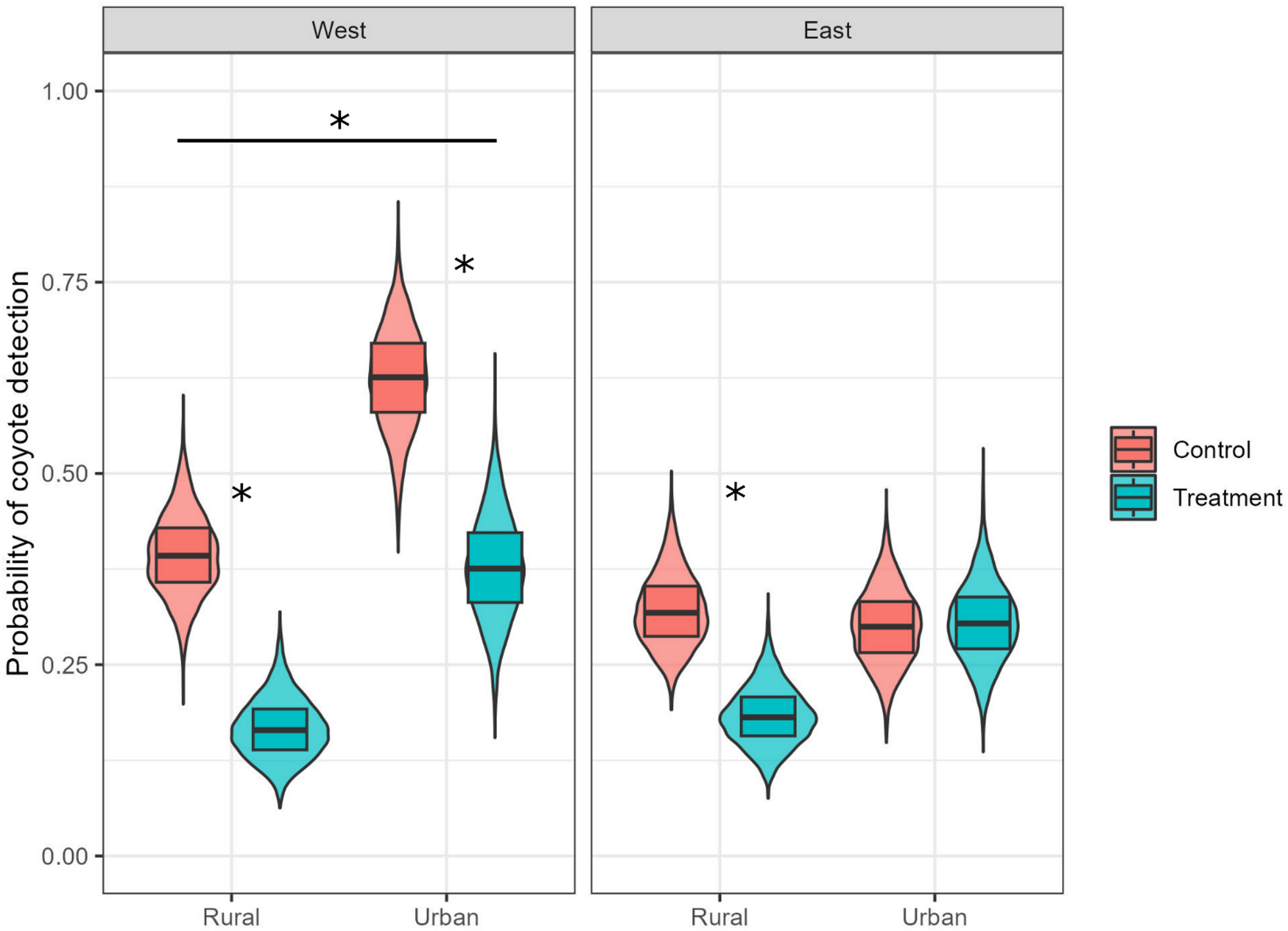
Fig. 2
From: Large-scale experimental assessment of coyote behavior across urban and rural landscapes

Model-predicted probabilities of coyote detection at 16 urban and 16 adjacent rural sites surveyed across the USA. Boxes show the median, upper 75%ile, and lower 25%ile; violin plots behind boxes show the full posterior distribution. Treatment sites were those with a novel object. Asterisks indicate instances where 95% credible intervals failed to overlap, indicating a difference between groups.