Fig. 7
From: Mango peels-assisted synthesis of carbon quantum dots for potential optical sensing of diazinon



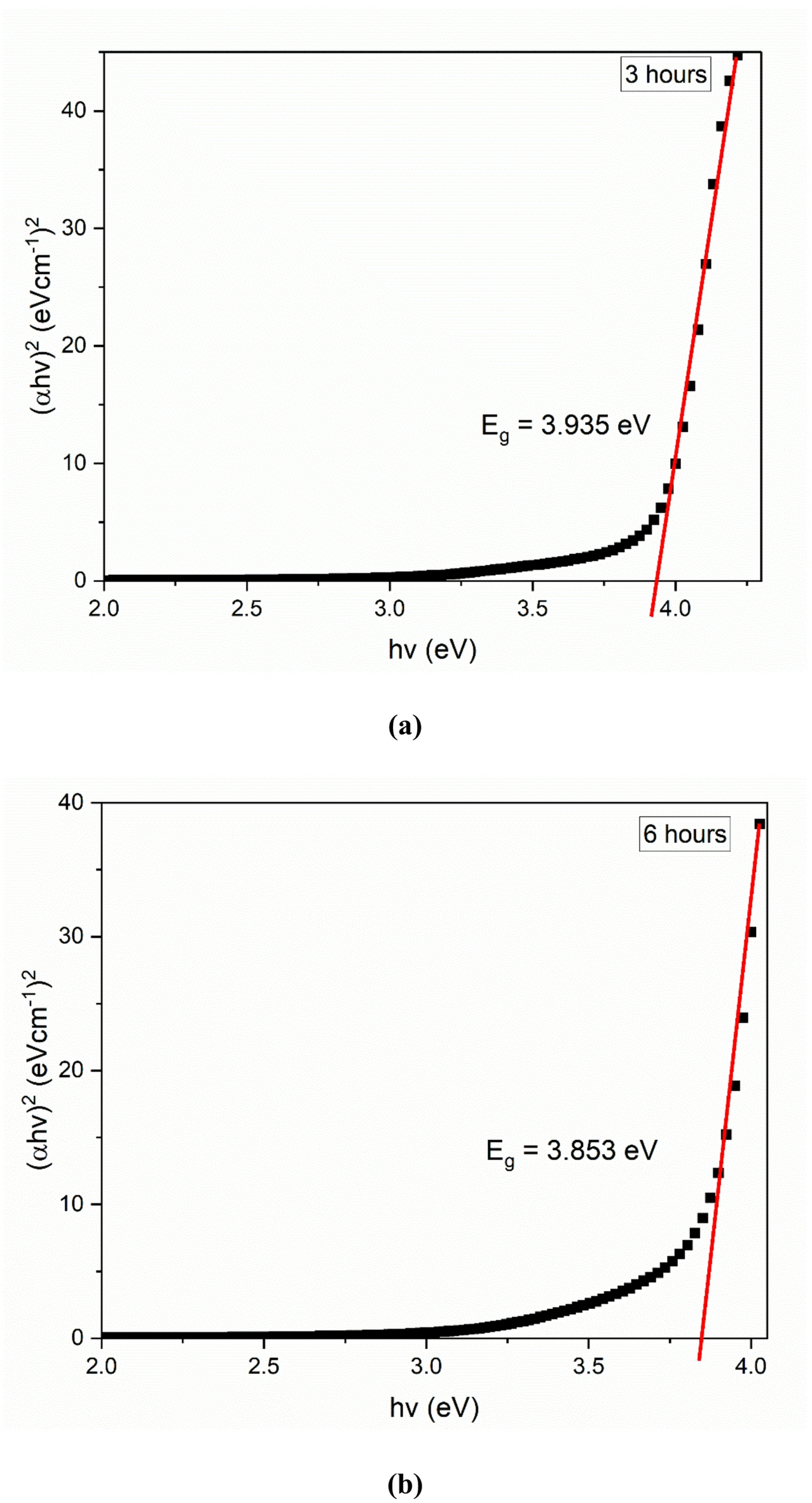
Optical band gap for CQDs synthesis of (a) 3 h, (b) 6 h, (c) 9 h, (d) 12 h, and (e) 15 h.
From: Mango peels-assisted synthesis of carbon quantum dots for potential optical sensing of diazinon



Optical band gap for CQDs synthesis of (a) 3 h, (b) 6 h, (c) 9 h, (d) 12 h, and (e) 15 h.