Fig. 1


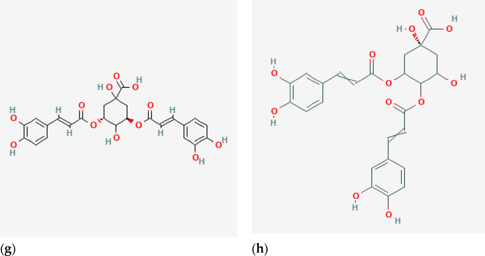
Structures of Identified Compounds;. (a).neochlorogenic acid; (b) chlorogenic acid; (c) cryptochlorogenic acid; (d) caffeic acid; (e) demethylbellidifolin; (f) isochlorogenic acid B; (g) isochlorogenic acid A; (h) isochlorogenic acid C.


Structures of Identified Compounds;. (a).neochlorogenic acid; (b) chlorogenic acid; (c) cryptochlorogenic acid; (d) caffeic acid; (e) demethylbellidifolin; (f) isochlorogenic acid B; (g) isochlorogenic acid A; (h) isochlorogenic acid C.