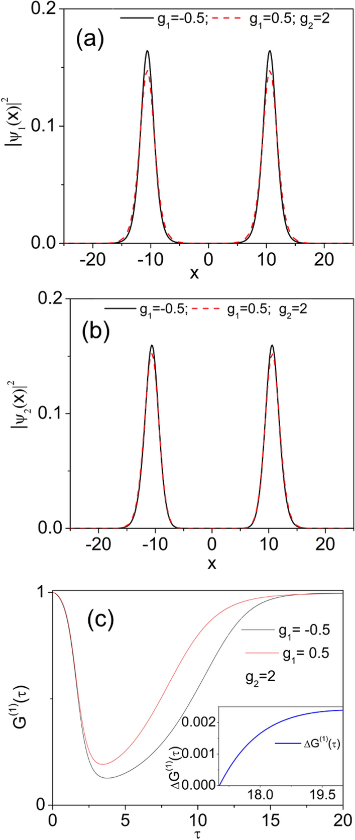
Fig. 5

Panels (a) and (b) show the ground-state density distributions of components 1 and 2, respectively, for attractive (\(g_1=-0.5\)) and repulsive (\(g_1=0.5\)) intra-atomic interactions in component 1, with \(g_2=2\) and \(g_{12}=-5\). For \(g_1=-0.5\), component 1 exhibits stronger localization, while component 2 remains essentially unchanged. Panel (c) displays the first-order correlation function \(G^{(1)}(\tau )\) as a function of \(\tau\), where the attractive case (\(g_1=-0.5\)) achieves the highest correlation, reaching \(G^{(1)}(\tau )\approx 0.998\) between the two components. The difference in \(G^{1}(\tau )\) for \(g_1=-0.5\) and \(g_1=0.5\) is presented as \(\Delta G^{1}(\tau )\), which is shown in the inset over the range \(\tau\) =17 to 20.