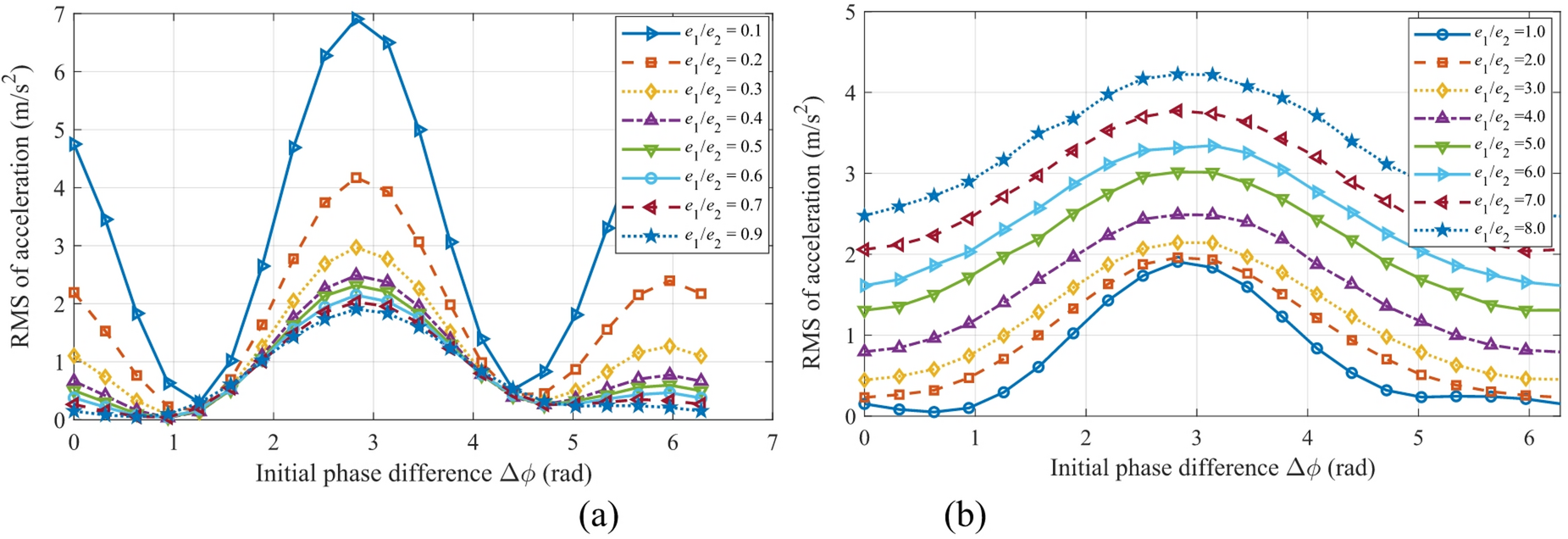
Fig. 22

Mapping of the vibration acceleration for the sun gear in the x-direction versus the initial phase difference Δϕ: (a) For eccentricity ratio e1/e2 < 1; (b) For eccentricity ratio e1/e2 > 1.

Mapping of the vibration acceleration for the sun gear in the x-direction versus the initial phase difference Δϕ: (a) For eccentricity ratio e1/e2 < 1; (b) For eccentricity ratio e1/e2 > 1.