Abstract
This research investigates the dynamic mechanism arising from the coupling between multi-path stiffness modulation and geometric eccentricity in multi-stage gear transmission systems (MGTS) for high-end equipment. The study aims to address the critical challenges in vibration suppression and precision control for such systems. A lumped parameter model integrating translational and rotational degrees of freedom was established, and an analytical method for three-path stiffness modulation based on center distance fluctuation, pressure angle reconstruction, and contact ratio transition was proposed. The influence of geometric eccentricity on the dynamic characteristics via the combined action of stiffness excitation and displacement error was then systematically analyzed. It was found that a strong nonlinear coupling exists between the eccentricity ratio and the initial phase difference: the combination of extreme asymmetry and an anti-phase condition markedly amplifies the stiffness modulation amplitude, inducing severe vibration, while symmetric eccentricity coupled with phase optimization effectively mitigates these oscillations. The feasibility of the established model was verified experimentally. The simulated and measured frequency spectra showed good agreement at the meshing frequency and its major sidebands, thereby demonstrating the accuracy of the stiffness-error coupling mechanism. Ultimately, a dynamic performance-based “parameter design safety domain” was constructed, which explicitly defines a low-vibration design interval centered on the eccentricity ratio and phase difference. This work thereby not only deepens the theoretical understanding of the error-stiffness-vibration coupling mechanism in the MGTS but also provides theoretical support and a practical guide for the dynamic design, vibration suppression, and operational optimization of high-precision gear transmission systems.
Introduction
The gear transmission system serves as the central power transfer unit in various high-end equipment, including wind turbines, aircraft engines, industrial robots, and high-precision numerical control machine tool, and its dynamic performance is critical to the machine’s reliability, operational efficiency, and service lifetime1,2,3. Gear transmission systems universally exhibit multiple internal excitations due to practical factors such as manufacturing tolerances, assembly conditions, and load-induced deformations. Geometric eccentricity, a typical error originating from manufacturing and assembly processes, has become a key factor influencing the system’s dynamic performance4,5. Under high-speed and heavy-load conditions, geometric eccentricity alters the mesh stiffness and center distance, thereby inducing strong parametric excitation that causes the system’s vibrational energy to concentrate around the mesh frequency and its sidebands. This excitation not only amplifies noise and dynamic load amplitudes but also leads to periodic fluctuations in tooth contact stress, accelerating the initiation of failure modes such as fatigue pitting and tooth breakage. These effects underscore the significant impact of geometric eccentricity in practical engineering and highlight the importance of further in-depth research.
In studies of gear systems, scholars conducted systematic research on the modeling and influence mechanisms of geometric eccentricity in different types of gear pairs, laying an important foundation for understanding gear system dynamics. Research on fixed-axis gear trains has primarily focused on dynamic modeling of geometric eccentricity and the analysis of parametric excitation mechanisms6,7,8,9,10,11. By establishing dynamic models for fixed-axis gear pairs that integrate time-varying mesh stiffness, transmission error, and dynamic backlash, studies in6,7,8 have revealed a mechanism whereby geometric eccentricity, by changing the position of the line of action and contact conditions, excites intense parametric excitation. The work in9,10 provided a new approach for condition monitoring of high-precision gear systems. Starting from a frequency-domain energy viewpoint, it constructed a quantitative mapping of geometric eccentricity to vibrational response, proposed a diagnostic method based on extracting fault-sensitive features from frequency-domain characteristics, and achieved early detection of micron-scale eccentricity. Reference11 developed a comprehensive dataset with multiple fault severity levels, achieving continuous adjustment of fault severity through a novel eccentricity simulation structure. By employing spectral correlation analysis and deep learning techniques, the study demonstrated the reliability of the data in characterizing fault features and its response under variable conditions, thereby providing high-quality training and validation resources for data-driven models in gear eccentricity fault diagnosis.
In the area of error modeling for planetary gear systems (PGS), research has primarily focused on the influence of manufacturing errors on system vibrational characteristics, modulation sidebands, and load-sharing behavior. Through the development of a coupled dynamic model that accounts for floating components and time-varying mesh stiffness in the PGS, the studies in12,13 systematically elucidated how eccentric errors propagate and couple within the complex mesh interactions, thereby establishing a theoretical basis for transmission error analysis in multi-planet systems. Regarding the interaction between errors and load-sharing behavior in the PGS, scholars have employed quasi-static contact mechanics models14, nonlinear dynamic models15, and three-dimensional planetary load distribution models16 to systematically analyze the effects of various error sources. These include carrier pinhole position errors, gear eccentricity, and run-out. Research demonstrates that these errors not only introduce displacement excitation by altering mesh positions but also generate inertial excitation, ultimately leading to uneven load sharing among planets and increased transmission error17. At the experimental level, the significant influence of errors on gear stress and load distribution has been further verified through methods such as strain measurement18. These studies consistently demonstrate that manufacturing errors are a critical factor affecting the load performance of the PGS. In the field of fault diagnosis, studies19,20 have focused on the intelligent identification of early-stage geometric eccentricity and local faults in planetary gears. The research revealed the characteristic excitation patterns of different fault types (such as cracks and spalls) in transmission error and vibration responses, and achieved precise fault localization by leveraging meshing phase relationships. This methodology has been experimentally validated, providing an effective solution for early fault diagnosis and intelligent maintenance of the PGS under strong noise conditions.
These findings deepen the understanding of PGS dynamics and the multi-path excitation mechanism of errors like eccentricity, providing a foundation for subsequent research on the dynamic design, vibration suppression, and condition monitoring of multi-stage transmission systems.
With the widespread application of multi-stage compound transmission structures in high-end equipment-such as the hybrid configuration of “parallel fixed-axis stage and planetary stage” commonly used in wind turbine gearboxes and the multi-stage planetary gear compound configurations in tunnel boring machines-the internal excitation sources within systems have become more diverse, and the dynamic coupling behaviors have become particularly complex. Building on research into single-stage systems, scholars have increasingly recognized that the cross-scale dynamic coupling effects induced by manufacturing errors, such as geometric eccentricity, in multi-stage transmissions have become a critical factor affecting transmission performance21,22,23,24,25,26,27. Existing research indicates that certain progress has been made in the dynamic modeling and error excitation analysis of MGTS. Studies21,22 have established a load-sharing coefficient calculation model considering multiple errors and a dynamic model of a two-stage PGS, respectively, revealing the significant influence of manufacturing and assembly errors on the system’s load-sharing performance. Studies23,24 further indicate that carrier assembly errors and gear geometric eccentricity can significantly alter the dynamic mesh force and vibration response of the system, and may even induce changes in the frequency structure. In the areas of fault coupling and system regulation, studies25,26,27 have all been dedicated to developing dynamic models for MGTS that integrate fault-induced excitation and stiffness modulation, aiming to reveal the cross-scale influence mechanisms of errors and defects in compound transmissions.
Collectively, these studies demonstrate that fault and error behaviors in MGTS are highly coupled, necessitating holistic modeling and coordinated regulation from multiple dimensions such as stiffness excitation, load transmission, and system elasticity. They also provide an important reference for investigating the coupled dynamic mechanisms of geometric eccentricity in MGTS. Nevertheless, a unified theoretical framework and a deep mechanistic understanding are still lacking regarding the error coupling mechanism between parallel and planetary stages, the cooperative evolution of stiffness, and their impact on the overall dynamic behavior of the system, which points to an important direction for future research.
In current research, several underlying coupling mechanisms still require further revelation. The respective contributions of the multiple pathways through which geometric eccentricity jointly modulates mesh stiffness — namely center distance fluctuation, pressure angle reconstruction, and contact ratio variation — have not yet been systematically analyzed. Furthermore, the coupling relationship between the base circle displacement error and tooth profile error induced by eccentricity still needs precise modeling. In MGTS, a quantitative description of the mechanism by which the phase difference between eccentricities in different gears suppresses or amplifies vibration sidebands is lacking, making it difficult to support tolerance design and dynamic optimization for high-precision gear systems.
In response to the aforementioned challenges, and building upon existing research, this paper is dedicated to establishing a closed-loop coupling dynamics theory of “stiffness-error” interactions in MGTS. The work will focus intensively on the following aspects: developing a multi-path analytical model for stiffness modulation under the influence of geometric eccentricity, systematically revealing the coupled influence mechanisms of center distance fluctuation, pressure angle reconstruction, and contact ratio variation on time-varying stiffness, and quantifying the contribution weight of each physical path; elucidating the nonlinear joint regulatory mechanism of eccentricity amplitude ratio and phase difference on the vibration response in MGTS, with particular attention to the suppression effect of specific phase combinations on vibration sideband energy. This research is expected to provide a theoretical basis and technical support for precision design, dynamic optimization, and condition monitoring of high-end equipment transmission systems.
Dynamic modeling of MGTS under geometric eccentricity excitation
System structure and definition of degrees of freedom
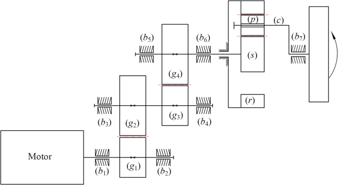
The study focuses on a compound MGTS comprising a two-stage fixed-axis gear transmission and a single-stage PGS. Its three-dimensional experimental bench model and kinematic diagram are shown in Figs. 1 and 2, respectively.
The power flow path of the system is illustrated in Fig. 2: The motor is connected to the pinion (g1) of the first-stage fixed-axis transmission, and the input shaft carrying g1 is defined as Shaft 1. g1 meshes with the first large gear (g2), and this stage is defined as the first-stage gear transmission. g2 is rigidly connected to the pinion (g3) of the second-stage fixed-axis transmission via Shaft 2, establishing a series power flow. g3 meshes with the large gear (g4), and this stage is defined as the second-stage gear transmission. g4 is connected to the sun (s) of the PGS via the output shaft (Shaft 3), transmitting power to the PGS, which is defined as the third-stage gear transmission. In the PGS, the sun gear (s) acts as the power input, while the carrier (c) serves as the power output and is connected to the external load. The ring gear (r) is fixed to the housing. The system employs three planet gears (pn, n = 1, 2, 3) evenly distributed between the sun and ring to achieve power splitting. The bearings at various stages are denoted as bi (i = 1, 2, …, 7).
Multi-scale coupled dynamic modeling of the system
To accurately characterize the dynamic behavior of the system under geometric eccentricity excitation, this study employs a lumped parameter method to establish a coupled translational-torsional dynamic model. In this model, each component is assigned three degrees of freedom: two translational degrees of freedom (x, y) along mutually perpendicular directions, and one equivalent torsional displacement degree of freedom (u). Here, the equivalent torsional displacement is defined as u = rb⋅θ, where rb represents the base circle radius of the gear and θ denotes the absolute angular torsional displacement. This definition of degrees of freedom effectively couples the lateral and torsional vibrations of the components, thereby establishing a foundation for subsequent analysis of the system’s complex dynamic response under excitation from multiple error sources.
The translational-torsional coupled dynamic model of the MGTS established in this study is shown in Fig. 3. This model integrates modeling approaches from Zhang et al.28 for fixed-axis gear pairs and from Lin and Parker29 for the PGS.
The model fully incorporates elastic coupling between components, damping effects, and key excitation from geometric eccentricity. The specific parameter definitions are as detailed below:
(1) Stiffness parameters:
Bearing support stiffness: kgix, kgiy (i = 1, 2, 3, 4) denote the support stiffness of the fixed-axis gears gi in the x and y directions, respectively; kjx, kjy (j = c, r, s, p) represent the support stiffness of the various components within the PGS.
Mesh stiffness of gear pairs: The mesh stiffness of gear pair g1-g2 is denoted by k12, and that of gear pair g3-g4 is denoted by k34. For the PGS, the mesh stiffness between the sun and each planet is denoted by kspn (n = 1, 2, 3), and the mesh stiffness between the ring and each planet is denoted by krpn (n = 1, 2, 3).
Inter-stage coupling stiffness: The coupling stiffness between the first and second stages is defined as kt2, and the coupling stiffness between the second and third stages is defined as kt3.
(2) Damping parameters: The naming convention for all damping parameters in the model corresponds exactly to that of the stiffness parameters. For example, cgix, cgiy (i = 1, 2, 3, 4) denote the support damping of the fixed-axis gears gi in the x and y directions, respectively; cjx, cjy (j = c, r, s, p) represent the support damping of the various components within the PGS. The mesh damping of gear pair g1-g2 is denoted by c12, and that of gear pair g3-g4 is denoted by c34. In the PGS, the mesh damping between the sun and each planet, between the ring and each planet, are denoted by cspn and crpn (n = 1, 2, 3), respectively.
(3) Error excitation parameters: The geometric eccentricity error of gi is denoted as ei (i = 1, 2, 3, 4). The static transmission errors of gear pairs g1-g2 and g3-g4 induced by geometric eccentricity are denoted as eecc,12 and eecc,34, respectively. The static transmission errors between the sun and each planet, and between the ring and each planet, induced by geometric eccentricity, are denoted as espn and erpn (n = 1, 2, 3), respectively.
The equations of motion for the MGTS can be expressed as:
where: M denotes the system mass matrix, q(t) represents the generalized coordinate vector of the system (comprising 10 core components with 30 degrees of freedom), K is the system stiffness matrix, C is the system damping matrix, formulated as Rayleigh damping C = αM + βK30, Fext signifies the external load vector, and Fecc(t) indicates the eccentric excitation vector.
The mass matrix of the MGTS is given by:
The stiffness matrix consists of five sub-matrices:
The bearing support stiffness matrix Kbearing can be expressed as:
where: the support stiffness sub-matrices within the PGS are given by Kj = diag [kjx, kjy, 0] (j = c, r, s, pn); the support stiffness sub-matrices in the fixed-axis transmission are given by Kgi = diag [kgix, kgiy, 0] (i = 1, 2, 3, 4).
The torsional stiffness Kshaft of the shaft is written as:
The torsional stiffness matrix Kt2 for Shaft 2 can be written as:
The torsional stiffness matrix Kt3 for Shaft 3 can be written as:
The mesh stiffness matrix Kmesh for the fixed-axis gear pairs can be expressed as
In Eq. (8), the mesh stiffness matrix K12 for gear pair g1-g2 is:
In Eq. (8), the mesh stiffness matrix K34 for gear pair g3-g4 is:
The mesh stiffness matrix Kplanet of the PGS can be expressed as:
In Eq. (11), the sun-planet mesh stiffness matrix is:
where: ψn = ϕn + αspn, and ϕn = (n − 1)(2π/3). Here, ϕn is the planetary gear phase angle, and αspn is the pressure angle of the sun-planet mesh.
In Eq. (11), the ring-planet mesh stiffness matrix is:
where: γn = ϕn − αrpn, and αrpn is the pressure angle of the ring-planet mesh.
The carrier-planet coupling stiffness matrix Kcouple can be expressed as:
The coefficient matrices Qn and Sn in Eq. (14) can be expressed as:
where: δij denotes the Kronecker function.
The time-varying mesh deformation of gear pair g1-g2 resulting from geometric eccentricity is given by:
The resulting eccentric excitation is:
The time-varying mesh deformation of gear pair g3-g4 resulting from geometric eccentricity is given by:
The resulting eccentric excitation is:
The total eccentric excitation generated by the fixed-axis gear system, Fecc(t), is:
Modulation mechanism of time-varying mesh stiffness
The stiffness modulation model established in this section is based on the small eccentricity assumption (e/a0 < 0.01), which aligns with the precision requirements of most engineering applications and ensures the validity of the subsequent linearization approximation. To characterize the modulation effects and coupling mechanisms of dual rotational frequencies (Ωi, Ωj) in a gear pair (gi-gj) with geometric eccentricities (eccentricities ei, ej), a model for time-varying mesh stiffness modulation induced by geometric eccentricity was developed. The eccentricity-mesh model for gear pair gi-gj is illustrated in Fig. 4, where: the geometric centers of gears gi and gj are located at Ogi and Ogj, respectively; their actual rotation centers are at Ori and Ori, respectively; the coordinate system is defined with Ogi as the origin and the direction OgiOgj as the x-axis.
The geometric eccentricities of gears gi and gj are denoted as ei and ej, respectively. The eccentricity phase angles are θi and θj, respectively. The nominal center distance of the gear pair is a0, and the nominal pressure angle is α0. Due to the presence of geometric eccentricity, these parameters become time-varying: the time-varying center distance induced by geometric eccentricity is defined as a(t), and the time-varying pressure angle is defined as α(t). Furthermore, geometric eccentricity alters the start and end points of the mesh, thereby affecting the contact ratio of the gear pair. The theoretical line of action for gear pair gi-gj is N11N22, while the actual line of action becomes N1N2. The root circle radii of gear pair gi-gj are rfi and rfj, respectively; the base circle radii are rbi and rbj, respectively; and the tip circle radii are ra.i. and raj, respectively.
Time-varying model of center distance and pressure angle
The rotation center position of gear gi:
The rotation center position of gear gj:
where: Ωi and Ωj represent the rotational angular velocities of the gear pair, and φi and φj denote the initial phase angles.
The actual center distance a(t) of the gear pair can be expressed as:
Expanding and retaining first-order small quantities (ei ≪ a0, ej ≪ a0):
Therefore, the fluctuation Δa(t) of the center distance can be written as:
Since the base circle radii are constant, the actual pressure angle α(t) satisfies:
Taylor expansion to the first-order term yields:
Substituting into Eq. (25) yields:
2.3.2 Three-path modulation mechanism of mesh stiffness
The mesh stiffness kij(t) of gi-gj can be defined as13:
where: kavg denotes the average mesh stiffness, and Δke(t) represents the stiffness modulation term induced by eccentricity errors.
Eccentricity leads to uneven load distribution among tooth pairs, resulting in variations in contact deformation and consequently, changes in contact stiffness. The altered pressure angle due to eccentricity causes the mesh point to shift along the tooth profile height, thereby modifying the bending stiffness of the gear tooth. Simultaneously, the change in center distance induces a variation in the contact ratio, which may lead to a jump in the number of teeth in contact.
Based on the above mechanistic analysis, the stiffness modulation term Δke(t) induced by eccentricity can be decomposed into three components:
where: Δkload is the stiffness variation induced by the load redistribution effect, Δkb is the stiffness variation caused by the mesh point displacement, and Δkε is the stiffness variation resulting from contact ratio fluctuation.
a) Effect of load redistribution.
The total mesh force Ftotal required to transmit the same torque Ti changes as follows:
Since ei ≪ rbi, Ftotal can be approximated expanded as:
where: F0 denotes the rated load under design conditions.
The load share on the m-th tooth pair is:
where: Nc(t) denotes the instantaneous number of tooth pairs in contact, and κm(t) is the load distribution deviation caused by eccentricity:
where gα0 represents the theoretical length of the line of action. κm(t) is the load distribution deviation on the m-th tooth pair caused by eccentricity, which is proportional to the difference in the eccentricity projections along the line of action.
According to Hertz contact theory, when the tooth surfaces are approximated as smooth spherical surfaces, kh, m ∝ Fm1/331. Consequently, the contact stiffness under an arbitrary load Fm is given by:
where kh0 represents the nominal value of the contact stiffness.
The load varies due to geometric eccentricity. Defining the actual load as Fm=F0 + ΔFm, where ΔFm is the deviation from the rated load, the resulting variation in contact stiffness is thus given by:
When the condition ΔFm / F0 ≪ 1 holds true, a Taylor series expansion is applied, and by neglecting the higher-order terms, we obtain:
Therefore, the variation in contact stiffness induced by load redistribution is:
b) Effect of mesh point position shift.
Bending deformation is induced by the tangential component of the force, Ft = Ftotal cos α. The bending deformation of the gear tooth can be expressed as:
where: E represents the elastic modulus of the gear material, I denotes the moment of inertia of the critical cross-section, b is the face width of the gear, L signifies the distance from the meshing point to the tooth root, and s is the tooth thickness at the root critical section.
Thus, the bending stiffness of the gear tooth can be approximately expressed as:
The sensitivity of the bending stiffness to the force arm is:
The first-order approximation of the variation in bending stiffness can be expressed as:
Differentiating the radial distance L from the meshing point to the root critical section, given by L = rb / cos α – rf, yields:
Therefore, the variation in the force arm L caused by a change in the pressure angle Δα is given by:
Substituting the expression for ΔL into Eq. (42) yields:
Subsequently, substituting the expression for the pressure angle variation Δα into the equation for Δkb yields:
where: kb denotes the nominal value of the gear bending stiffness.
c) Effect of contact ratio fluctuation.
The expression for the length of the line of action can be formulated as:
Neglecting higher-order infinitesimals, Eq. (47) can be further expressed as:
Substituting Δα(t) yields:
Therefore, the expression for the contact ratio can be written as:
where pb is the base pitch. Substituting Eq. (25) into the expression for the contact ratio yields:
The meshing tooth number transition function of the gear pair is expressed as:
where the term cos [π(ε − n)] = cos (πδ) serves as a phase function determining the meshing state: when δ < 0.5, cos (πδ) > 0, the number of tooth pairs in contact remains n; when δ ≥ 0.5, cos(πδ) ≤ 0, the number of tooth pairs transitions to n + 1.
Therefore, the meshing stiffness transition function of the gear pair can be expressed as:
For the stiffness modulation term Δke(t) = f(ei cos θi, ej cos θj), when the eccentricity is small (e/a0 < 0.01), its first-order Taylor series expansion is given by:
The eccentricity-stiffness coupling coefficient βl is defined as:
The stiffness modulation term Δke(t) can be further expressed as:
The eccentricity-stiffness coupling coefficient can be further expressed as:
where: δεn is defined as the activation factor for the contact ratio transition term, and ηc is the critical deviation threshold that determines whether the contact ratio transition is activated, which is dependent on the gear accuracy level, \({\delta _{\varepsilon n}}=\left\{ {\begin{array}{*{20}{l}} {1 |{\varepsilon _0} - n|<{\eta _c}} \\ {0 {\text{otherwise}}} \end{array}} \right.\).
The influence mechanism of eccentricity on excitation characteristics
The core parameters of the MGTS dynamic model established in this study are defined collectively by the PGS parameters in Table 1, the fixed-axis gear train parameters in Table 2, and the meshing and coupling stiffness parameters in Table 3. Tables 1 and 2 provide comprehensive design parameters, such as the number of teeth, module, and pressure angle, along with the gear mass and equivalent moment of inertia, thereby establishing a data foundation for the coupling of inertial effects and eccentricity-induced excitations.
Equivalent moment of inertia (I/rb2): The gear’s moment of inertia I is normalized (unit: kg) such that the torsional degree of freedom u = rbθ becomes dimensionally consistent with the translational degrees of freedom. This enables consistent modeling of the coupled translational-torsional dynamic equations (as detailed in Sect. Multi-scale coupled dynamic modeling of the system).
Equivalent circumferential torsional stiffness (keq = kt/rb2): The torsional stiffness is converted into a physical quantity dimensionally consistent with the translational stiffness (unit: N/m), ensuring that the torsional and translational terms in the stiffness matrix can be directly superimposed.
Single-parameter sensitivity and phase modulation
Figure 5 illustrates the relationship between the initial phase difference of gear pair g1-g2 and dynamic excitation parameters when varying the amplitude of parameter e1 (with an eccentricity ratio e1/e2 set to 1, and without considering eccentricity errors in e3 and e4): (a) amplitude of center distance fluctuation, (b) static transmission error, (c) meshing stiffness modulation term, and (d) amplitude of coupled eccentricity excitation fluctuation.
Figure 5 illustrates how the initial phase difference modulates the dynamic excitation of gear pair g1-g2:
(1) The center distance fluctuation amplitude Δa (Fig. 5a) peaks at Δϕ = π and minimizes at Δϕ = 0 or 2π. Under the condition of Δφ = π, Δa shows a linear positive correlation with the amplitude of e1: Δa = 10 μm when e1 = 5 μm, and increases to 60 μm when e1 = 30 μm.
(2) The amplitude of the static transmission error varies approximately sinusoidally with Δϕ, reaching its maximum at Δϕ = π (78 μm when e1 = 30 μm) and its minimum near Δϕ = 0 and 2π.
(3) The stiffness modulation term Δke increases significantly at Δϕ = π (Δke ≈ 4.2 × 10⁷ N/m when e1 = 30 μm) and reaches its minimum (close to zero) at Δϕ = 0 and 2π, demonstrating that phase synchronization can mitigate stiffness fluctuations.
(4) The coupling excitation amplitude Fecc exhibits a prominent peak at Δϕ = π (Fcouple ≈ 2300 N when e1 = 30 μm). The vibration risk is highest when the initial phase difference falls within the range of 90° to 270°, which coincides with the peak stiffness modulation region (Fig. 5c). This indicates that the stiffness-error coupling is the primary cause of vibration.
Mapping relationship between the initial phase difference and dynamic excitation parameters of gear pair g1-g2 with variation of the single parameter e1: (a) amplitude of center distance fluctuation, (b) static transmission error, (c) mesh stiffness modulation term, (d) amplitude of eccentric excitation fluctuation.
Eccentricity ratio-phase synergistic mechanism
While the single-parameter analysis in Sect. 3.1 reveals the fundamental influence of phase difference on dynamic excitation, actual engineering applications involve coupled effects between multiple eccentricity parameters. To bridge the gap between isolated parameter analysis and real-world multi-parameter coupling, this section systematically investigates the synergistic effects between the eccentricity ratio (e1/e2) and the initial phase difference (Δϕ). This analysis aims to provide deeper insights into the nonlinear coupling mechanisms governing the system’s dynamic behavior under complex error conditions.
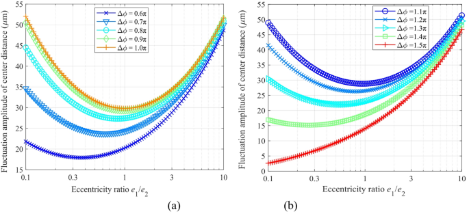
Figure 6 shows the relationship between the amplitude of center distance fluctuation Δa and the eccentricity ratio, where the eccentricity ratio e1/e2 varies from 0.1 to 10 (with the constraint that e1·e2 = (15 μm)², and the eccentric errors of e3 and e4 are not considered). Figure 6(a) corresponds to an initial phase difference range of (π/2, π), while Fig. 6(b) corresponds to a range of (π, 3π/2).
Figure 6 reveals that the center distance fluctuation amplitude Δa follows a characteristic “U-shaped” distribution versus the eccentricity ratio e1/e2 for nearly all phase differences, suggesting an optimal configuration for minimizing vibrational fluctuations. For Δϕ ∈ (π/2, π) (Fig. 6a), the optimal ratio yielding the minimum Δa falls between 0.5 and 1.0. Notably, the minimum amplitude at Δϕ = 0.6π (≈ 18 μm) is about 40% smaller than that at Δϕ = 1.0π (≈ 30 μm).
When Δϕ ∈ (π, 3π/2) (Fig. 6b), the optimization effect becomes even more pronounced. The global minimum fluctuation amplitude at Δϕ = 1.5π drops below 5 μm, representing a reduction of approximately 94% compared to the value at Δϕ = 1.1π. This phenomenon sheds light on the critical role of the initial phase difference in the motion compensation effect: an appropriate matching of the eccentricity ratio can achieve the optimal motion compensation. This finding provides a theoretical basis and design guidelines for parameter optimization in high-precision eccentric transmission systems.
Figure 7 demonstrates the variation of the center distance fluctuation amplitude Δa with the initial phase difference Δϕ for an eccentricity ratio e1/e2 ranging from 0.1 to 1 (eccentric errors e3 and e4 are neglected).
The results reveal a clear periodic variation in Δa with a period of 2π. The extreme values of the amplitude are consistently located at phase differences equal to odd multiples of π (e.g., Δϕ = π, 3π, 5π). Results analysis reveals that the eccentricity ratio plays a decisive role in the fluctuation amplitude. At e1/e2 = 0.1, the maximum amplitude is 52 μm, whereas increasing the ratio to 1.0 substantially reduces it to about 30 μm — a 42.3% decrease. Moreover, a larger eccentricity ratio noticeably reduces both the curve oscillation amplitude and the phase sensitivity, demonstrating a significant improvement in system stability. This finding reveals that the center distance fluctuation can be effectively suppressed by rationally matching the eccentricity ratio with the phase difference, thereby providing a theoretical basis for the optimal design of high-precision gear.
Figure 8 presents the fluctuation amplitude of the center distance Δa, as a function of the eccentricity ratio (e1/e2 = 0.1 ~ 10) and the initial phase difference (Δϕ = 0 ~ 2π). Figure 8(a) shows a 3D surface map, and Fig. 8(b) displays the corresponding heat map.
As shown in Fig. 8, the fluctuation amplitude of the center distance (Δa), exhibits a highly nonlinear coupling relationship with the eccentricity ratio (e1/e2) and the initial phase difference (Δϕ). The 3D surface map in Fig. 8(a) indicates that the system reaches its maximum amplitude (Δamax ≈ 52 μm) when Δϕ ≈ 0, π, or 2π, and e1/e2 approaches either 0.1 or 10. The heat map in Fig. 8(b) reveals two distinct “optimal valley” paths (dark blue regions in the heat map) within the parameter space. Specifically, when e1/e2 ≈ 1 and Δϕ ≈ 0 or 2π, Δa can drop to a local minimum of approximately 5 μm. This phenomenon demonstrates the effectiveness of vibration suppression achieved through a phase cancellation mechanism. This relationship underscores that the cooperative optimization of both the eccentricity ratio and phase difference is essential for achieving high motion precision, as opposed to their independent selection.
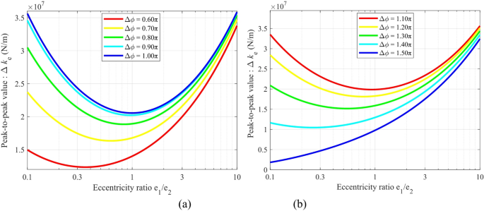
Figure 9 illustrates the relationship between the peak-to-peak value of the modulated stiffness Δke versus the eccentricity ratio e1/e2 for different ranges of the initial phase difference Δϕ: (a) for Δϕ ∈ (π/2, π), and (b) for Δϕ ∈ (π, 3π/2).
Analysis of the results in Fig. 9 indicates a significant nonlinear coupling between Δke and the eccentricity ratio e1/e2. Specifically, Δke first decreases and then increases with the variation of e1/e2, reaching a local minimum near e1/e2 = 1 (e.g., Δkemin ≈ 2.0 × 10⁷ N/m at Δϕ = 0.9π). This reveals the fundamental role of a symmetric eccentric configuration (e1 = e2) in suppressing stiffness fluctuation. However, precise control of the phase difference remains a critical condition for achieving ultra-low stiffness variation.
Figure 10 illustrates the mapping relationship between the peak-to-peak value of the modulated stiffness (Δke) and the initial phase difference (Δϕ) under different eccentricity ratios (e1/e2). Analysis of the results in Fig. 10 indicates that Δke is governed by a nonlinear coupling between Δϕ and e1/e2. For asymmetric eccentric structures (e1/e2 < 1), Δke exhibits a distinct multi-peak characteristic as a function of Δϕ. The peaks occur near Δϕ ≈ nπ (n = 0, 1, 2, …); for instance, Δkemax ≈ 3.5 × 10⁷ N/m when e1/e2 = 0.1. Conversely, the troughs are located near Δϕ ≈ π/2 and 3π/2. However, as the eccentricity ratio approaches 1, this multi-peak characteristic gradually diminishes and eventually evolves into a single-peak distribution centered at Δϕ = π. When e1/e2 = 1.0, the stiffness fluctuation amplitude is Δke ≈ 2.0 × 10⁷ N/m, representing a 44.4% reduction compared to the maximum amplitude. This phenomenon confirms that a symmetric eccentric structure can effectively suppress stiffness fluctuation. Nevertheless, due to its inherent dynamic coupling characteristics that cannot be entirely eliminated, further system optimization requires controlling Δϕ away from π.
The peak-to-peak modulated stiffness (Δke) exhibits a strong dependence on the nonlinear synergy between the eccentricity ratio (e1/e2) and the initial phase difference (Δϕ), as shown in Fig. 11. Both the 3D surface and the heat map demonstrate that the maximum system stiffness fluctuation (Δke ≈ 3.5 × 10⁷ N/m) occurs under the combined condition of a highly asymmetric eccentricity ratio (e1/e2 = 0.1 or 10) and a specific phase difference (Δϕ = π), which is represented by the dark red regions indicating high values on the heat map.
It is noteworthy that a blue “canyon region”, centered at (e1/e2 = 1, Δϕ = 0 or 2π), exists within the parameter space. Here, Δke can drop to the global minimum (< 0.5 × 10⁷ N/m). This finding provides a clear design pathway for vibration suppression: primarily adopting an equal-eccentricity design (e1/e2 ≈ 1) and strictly controlling the phase difference near 0 or 2π during assembly can inherently and significantly reduce the system’s stiffness modulation fluctuation.
Figure 12 shows the mapping of the peak-to-peak eccentric excitation force (Fecc) against the eccentricity ratio (e1/e2). A systematic analysis of Fig. 12 indicates that Fecc is co-modulated by both the eccentricity ratio and the initial phase difference. All subfigures reveal that Fecc exhibits a “U-shaped” distribution versus e1/e2, reaching its global minimum near the symmetric configuration (e1/e2 = 1). For example, the minimum value is approximately 0 N at Δϕ = 0.1π, and about 590 N at Δϕ = π. In contrast, Fecc surges to its maximum under highly asymmetric conditions (e1/e2 = 0.1 or 10), reaching up to 1740 N when Δϕ = π. Therefore, to achieve an ultra-low eccentric excitation force (< 400 N), it is essential to adopt a symmetric eccentric structure (e1/e2 ≈ 1) and avoid the high-sensitivity region around Δϕ ≈ π.
Figure 13 shows the mapping relationship between the peak-to-peak eccentric excitation force (Fecc) and the initial phase difference (Δϕ) under different eccentricity ratios. Analysis of Fig. 13 indicates that Fecc reaches its global maximum at Δϕ = π for all eccentricity ratios considered, and the force amplitude increases with the degree of asymmetry. Specifically, under a highly asymmetric condition (e1/e2 = 0.1), the peak force reaches approximately 1740 N. As the eccentricity ratio approaches 1 (symmetric structure), the peak force decreases to a minimum of about 580 N, representing a significant reduction of 66.7%. This phenomenon clearly reveals that a symmetric eccentric design plays a fundamentally beneficial role in suppressing vibration excitation under severe operating conditions.
Figure 14. shows the mapping of the peak-to-peak eccentric excitation force (Fecc) versus the eccentricity ratio (e1/e2) and the initial phase difference (Δϕ). The eccentricity ratio varies from 0.1 to 10, and the initial phase difference Δϕ ranges from 0 to 2π. Figure 14(a) shows the three-dimensional surface map, and Fig. 14(b) presents the heat map of the amplitude variation.
The 3D surface and heat map in Fig. 14 collectively demonstrate that the global maximum value (max{Fecc} = 1740 N) is located at the combination of a highly asymmetric eccentricity ratio (e1/e2 = 0.1 or 10) and a phase difference of Δϕ = π, which appears as the red high-value regions on both sides of the heat map. In stark contrast, the global minimum values are distributed within the dark blue symmetric regions of the heat map. Two specific examples are: first, under the symmetric eccentric condition (e1/e2 = 1 and Δϕ = 0 or 2π), and second, under a highly asymmetric but phase-orthogonal condition (e1/e2 = 0.1 and Δϕ = π/2 or 3π/2). This precise quantitative distribution proves that there are two effective yet distinct pathways for optimizing the excitation force: (1) If a symmetric eccentric design (e1/e2 = 1) is adopted, the phase difference must be strictly controlled near 0 or 2π; (2) If design constraints necessitate a highly asymmetric eccentric wheel (e1/e2 = 0.1), the phase difference should be maintained close to π/2 or 3π/2 to achieve optimal dynamic performance.
Analysis of the dynamic response characteristics
To systematically investigate the influence of geometric eccentricity on the dynamic excitation of the MGTS, this section employs a translational-torsional coupled dynamic model based on the lumped parameter method (as shown in Fig. 3) to reveal the mapping relationship between eccentricity parameters and system response through numerical simulation. The Runge-Kutta method was used to numerically integrate the differential equations of motion (Eq. (1)), with a time step set to 10⁻⁵ s and a relative error tolerance of 10− 4, ensuring computational accuracy for high-frequency dynamic responses. The carrier output speed was 28.1 rpm, and the output load torque was 10 N⋅m.
Influence of single eccentricity parameter
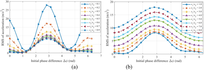
The dynamic responses of the x-direction vibration acceleration are shown for the sun gear (Fig. 15) and gear g1 (Fig. 16) under various single eccentricity errors (e1) and initial phase differences (Δϕ).
A comprehensive analysis of the dynamic responses in Fig. 15 (sun gear) and Fig. 16 (gear g1) indicates that the system’s vibrational characteristics are governed by the coupled dynamics of the MGTS. The global maximum vibration acceleration of gear g1 is approximately 8 m/s², significantly higher than that of the sun gear (≈ 3.2 m/s²), revealing the attenuation of vibrational energy along the transmission path. Both components exhibit peak responses under the combination of a large eccentricity error (e1 = 40 μm) and a specific phase difference (Δϕ ≈ 3 ~ 4 rad, i.e., near π), identifying this parameter region as a high-risk zone for vibration. In contrast, the low vibration region (< 1 m/s²) is concentrated within the “safe zone” of small eccentricity errors (e1 < 10 μm). This pattern conclusively demonstrates that suppressing system vibration hinges on controlling gear manufacturing and assembly precision while synergistically optimizing the assembly phase. This strategy avoids the amplification of excitation from the preceding stages and thereby globally enhances the dynamic performance of the transmission chain.
Figure 17 illustrates the 3D mapping relationship between the fluctuation coefficient (Lf = (Fmax-Fmin)/Fmean) of the dynamic meshing force in the PGS and both the gear eccentricity (e1) and the initial phase difference (Δϕ) between e1 and e2. Figure 17 reveals the fluctuation characteristics of the dynamic meshing forces for different gear pairs within the PGS: the fluctuation coefficient amplitude of Fsp1 is relatively low (ranging from 1.12 to 1.25), with its high-risk zone concentrated in the combination of large eccentricity errors (e1 > 30 μm) and a specific phase range (Δϕ ≈ 3 ~ 4 rad). In contrast, the load fluctuation of Fsp3 is more pronounced (ranging from 0.9 to 1.8), exhibiting not only a wider amplitude range but also greater sensitivity to parameter variations. This stark contrast indicates that eccentric errors disrupt the inherent load-sharing characteristics among the planetary gears, leading to a significant redistribution and intense fluctuation of the load among them.
Analysis of multi-parameter coupling effects
Figure 18 illustrates the mapping relationships between the acceleration responses of the sun gear in the x- and y-directions relative to the eccentricity ratio (e1/e2) and the initial phase difference (Δϕ). The results indicate that the global maximum vibration responses of the sun gear (approximately 6.8 m/s² in the x-direction and 2.5 m/s² in the y-direction) consistently occur within the same high-risk region of the parameter space. This region corresponds to a combination of an eccentricity ratio of e1/e2 ≈ 0.1 and an initial phase difference of Δϕ ≈ π, appearing as steep peaks in the 3D surface plots and the most prominent red high-value areas in the heatmaps. This phenomenon demonstrates that the combination of a highly asymmetric eccentricity configuration and an antiphase operating condition excites the most severe dynamic unbalanced excitation, leading to intense vibrations of the sun gear in both translational directions. In contrast, the most stable low-vibration state globally is observed in another region of the parameter space: operating conditions with a symmetric or near-symmetric eccentric structure (e1/e2 ≈ 1) and a phase difference far from Δϕ = π, which manifest as blue low-value regions in the figures.
Figure 19 illustrates the mapping relationship between the acceleration responses of gear g4 and the eccentricity ratio (e1/e2) as well as initial phase difference (Δϕ). The global maximum vibration response occurs precisely at the same high-risk parameter combination: a highly asymmetric eccentricity ratio (e1/e2 ≈ 0.1) under an anti-phase condition (Δϕ ≈ π). Under this condition, the root mean square (RMS) of acceleration reaches approximately 12 m/s² in the x-direction (Fig. 19a, b) and about 4.5 m/s² in the y-direction (Fig. 19c, d). These amplitudes are significantly higher than the responses of the sun gear under identical conditions, indicating that the high-speed stage acts as the primary excitation source and the key amplification stage for system vibrations.
In summary, the mapping relationships in Fig.s 18 and 19 provide clear design guidelines for vibration control of the transmission system: the high-risk parameter combination of “asymmetry + anti-phase” (e1/e2 < < 1 and Δϕ = π) must be avoided. To achieve high performance, a symmetric eccentric design (e1/e2 ≈ 1) should be prioritized, with the phase difference set near Δϕ ≈ π/2 or 3π/2, thereby suppressing vibration at the source.
Mapping of the sun’s acceleration responses versus the eccentricity ratio (e1/e2) and initial phase difference (Δϕ): (a) 3D surface map of the x-direction acceleration; (b) Heat map of the x-direction acceleration; (c) 3D surface map of the y-direction acceleration; (d) Heat map of the y-direction acceleration.
Mapping of the acceleration responses of gear g4 versus the eccentricity ratio (e1/e2) and initial phase difference (Δϕ): (a) 3D surface map of the x-direction acceleration; (b) Heat map of the x-direction acceleration; (c) 3D surface map of the y-direction acceleration; (d) Heat map of the y-direction acceleration.
The mapping relationships between the RMS value of the x-direction acceleration and the eccentricity ratio (e1/e2) are shown in Fig. 20 for the sun gear and Fig. 21 for the gear g2.
Figure 20 reveals a strong nonlinear dependence between the vibration acceleration response of the sun gear and both the eccentricity ratio (e1/e2) and the initial phase difference (Δϕ). A comprehensive view of the four subfigures shows that all curves exhibit a significant “U-shaped” distribution. Specifically, the vibration acceleration reaches its global minimum near the symmetric structure (e1/e2 ≈ 1), with values as low as < 1.0 m/s², while it increases sharply to a peak (up to 7.0 m/s²) under highly asymmetric configurations (e1/e2 → 0.1 or 10). This confirms the fundamental role of a symmetric eccentric design in vibration suppression. The phase difference Δϕ is a key factor modulating the amplitude of this “U-shaped” curve: for a fixed eccentricity ratio, the curve’s amplitude shows an increasing trend as Δϕ approaches π, reaching its global maximum precisely at Δϕ = π.
The mapping relationship between Figs. 20 and 21 provides clear design criteria for vibration control: To achieve the optimal dynamic performance, symmetrical or nearly symmetrical eccentric wheel designs (e1/e2 ≈ 1) should be given priority, and the assembly phase difference should be set as close as possible to Δϕ ≈ π/2 or 3π/2, so as to simultaneously utilize the inertial balance effect of the symmetrical structure and the excitation cancellation effect of the phase difference, thereby essentially suppressing vibration.
Figure 22 shows the mapping relationship between the peak acceleration of the sun gear in the x-direction and the initial phase difference Δϕ under different eccentricity ratios. Specifically, Fig. 22(a) presents the curves for eccentricity ratios less than 1, while Fig. 22(b) displays the curves for eccentricity ratios greater than 1. A comprehensive analysis of both subfigures reveals that the response curves under all eccentricity ratios exhibit a periodic distribution symmetric about Δϕ = π (≈ 3.14 rad), reaching their global maxima near this point. For instance, the peak value approaches 7.0 m/s² when e1/e2 = 0.1, and reaches 4.2 m/s² when e₁/e₂ = 8.0.
Figure 23 illustrates the mapping relationship between the peak vibration acceleration of gear g2 in the x-direction and the initial phase difference Δϕ under various eccentricity ratios. A comprehensive analysis of Fig.s 22 and 23 reveals that the optimal phase difference is strongly dependent on the specific value of the eccentricity ratio. When e1/e2 < 1 (Fig. 22a), the low-vibration regions are concentrated near Δϕ ≈ π/2 and 3π/2. Conversely, when e1/e2 > 1 (Fig. 22b), these low-vibration regions shift to the vicinity of Δϕ ≈ 0 and 2π. This critical finding demonstrates that the optimal setting of the phase difference must be adjusted according to the specific eccentricity ratio configuration: quadrature phases (Δϕ = π/2, 3π/2) should be selected for small eccentricity ratios, while in-phase conditions (Δϕ = 0, 2π) are preferable for large eccentricity ratios. This finding provides a theoretical basis for the phase optimization of precision transmission systems.
Engineering application: toward an optimized structural design
Figure 24 shows the contour map of the vibration acceleration of the sun gear in the x and y directions, while Fig. 25 shows the corresponding contour map for gear g2. The green dotted area represents the favorable operating condition, and the red dotted area indicates the optimal operating condition. Through a parameter scan of the system’s vibration response, Figs. 24 and 25 clearly delineate the optimization design domain based on dynamic performance: the red dotted area (optimal condition) corresponds to a narrow parameter space with an eccentricity ratio of e1/e2 ≈ 0.5 ~ 2 and an initial phase difference of Δϕ ≈ 0 ~ 1.5 rad. This combination reduces the system vibration level to the global minimum, providing a clear and critical design target for precision transmission systems with stringent vibration suppression requirements. The green dotted area (favorable condition) covers a wider range of eccentricity ratios, forming a robust design window that is less sensitive to parameter variations and offers greater robustness. Comprehensive analysis indicates that for performance optimization, parameters should be prioritized within the red optimal zone; if engineering tolerance and cost-effectiveness are considered, the extensive green zone provides a reliable and flexible design alternative.
Experimental validation
Construction of the three-stage transmission test rig
To validate the aforementioned theoretical model and the results of the dynamic characteristic analysis, this study established a three-stage transmission system test rig, as shown in Fig. 26. The platform is composed of a drive motor, a two-stage fixed-axis gearbox, a one-stage PGS, and a magnetic particle brake connected in series, thereby simulating a composite transmission path that includes both high-speed and low-speed stages. A precise load torque is applied to the system output by the magnetic particle brake. The load for this experimental condition was set to Tout = 10 N⋅m, consistent with the simulation settings.
The load application scheme is as follows: A precise load torque is applied to the system output via a magnetic particle brake. To avoid impact transients due to instantaneous loading and to simulate actual operating conditions, the load is applied gradually. It is increased smoothly from 0 N⋅m to the target value of Tout = 10 N⋅m at a rate of 2 N⋅m/s, a setting consistent with the simulation conditions. After system startup and load application, operation is maintained until a steady state is confirmed. This confirmation is based on monitoring the stability of the vibration signals’ time-domain waveforms and frequency spectra, a process typically requiring 3–5 min. This procedure ensures the system has exited the transient state. To comprehensively evaluate the dynamic characteristics of the system under different operating states, tests were conducted at three input speeds: 200 rpm, 400 rpm, and 800 rpm.
To ensure the reliability of the experimental data, the steady-state vibration signals were acquired for a duration of no less than five minutes under each input rotational speed condition (200 rpm, 400 rpm, and 800 rpm) with the load torque fixed at 10 N⋅m. The system was allowed to run for a sufficient period prior to data acquisition to confirm it had reached a steady-state operation, which was verified by monitoring the stability of the time-domain waveform and frequency spectrum of the vibration signal. For a consistent and representative analysis, a stable 60-second segment from the steady-state portion of the data was extracted for detailed signal processing and comparison with the simulation results. This approach effectively avoided transients during start-up and ensured signal stability for the comparative analysis presented in the following section.
Vibration responses were measured using a Brüel & Kjær data acquisition system and triaxial ICP accelerometers. Key measurement points were arranged on the bearing housings of the secondary transmission stage and the planetary gearbox casing (indicated by red circles in Fig. 26) to capture vibration signals from the housing surfaces. Furthermore, a dial indicator was employed to precisely measure the coaxiality of the transmission shafts and the installation eccentricity of the gears. This step provided direct experimental input for quantifying the initial state errors of the system, particularly the eccentricity ratio (e1/e2) parameter used in the simulation analysis, thereby ensuring the comparability of conditions between the simulation and experimental results.
Comparison and analysis of the results
Figure 27 presents a comparison of the acceleration spectra from the second-stage transmission system in the fixed-axis gearbox at an input speed of 200 rpm. Figure 27(a) shows the experimental values, while Fig. 27(b) displays the simulation results. The simulation data were derived from the simulated signal of gear g3 mounted on the second-stage transmission shaft, as its location is closer to the test point on the second-stage bearing housing. In Fig. 27, fm2 denotes the meshing frequency of the second-stage gear transmission, and fsi represents the rotational frequencies of the transmission shafts at each stage (i = 1, 2, 3).
The comparative analysis of Fig. 27 demonstrates a high degree of consistency in the core spectral features between the simulated and measured acceleration spectra of the second-stage transmission system at an input speed of 200 rpm. Both methods accurately captured the spectral structure dominated by the second-stage meshing frequency (fm2≈40.5 Hz) and its significant harmonics (e.g., 3fm2 ≈ 121.5 Hz, 4fm2 ≈ 162 Hz, 6fm2 ≈ 243 Hz). The corresponding peak amplitudes are both on the order of 4 × 10− 3 m/s², thereby validating the effectiveness of the simulation model.
The experimental spectra exhibit more sideband components (e.g., 2fm2 ± 2fs2, 2fm2 − 3fs2, etc.) compared to the simulation results. This is primarily because the simulation employs a first-order Taylor series expansion to approximate the modulation effects induced by gear eccentricity, thereby neglecting higher-order sideband terms. However, the amplitudes of these higher-order sidebands observed in the experiment are significantly lower than those of the first-order sidebands and the main meshing frequency peaks, confirming the validity of this simplification. This approach ensures the prediction accuracy of key dynamic characteristics while significantly improving computational efficiency, thereby providing a more efficient computational tool for engineering design and parameter optimization.
Figures 28 and 29 show the comparative results of the acceleration spectra for the second-stage transmission system in the fixed-axis gearbox at input speeds of 400 rpm and 800 rpm, respectively. A comparison of the results demonstrates that the proposed simulation model can accurately reproduce the core spectral characteristics measured in experiments under different rotational speeds in Figs. 28 and 29. Under both 400 rpm and 800 rpm conditions, the simulation accurately predicted the spectral structure dominated by the second-stage meshing frequency (fm2) and its harmonics (2fm2, 3fm2, 4fm2, etc.). The errors in the dominant peak frequencies were all less than 0.5 Hz, validating the model’s effectiveness in characterizing the fundamental excitation characteristics of the system.
Similarly, explainable differences exist between the simulation and experimental results regarding the sideband distribution. A greater number of higher-order sidebands (e.g., ifm2±2fs2, ifm2+3fs2, ifm2+4fs2, where i = 1, 2, 3) appear in the experimental spectrum. However, their amplitudes are significantly lower than those of the dominant peaks and the first-order sidebands. This observation confirms the rationality of adopting a first-order approximation in the simulation, where higher-order terms are neglected. This simplification maintains computational efficiency without compromising the primary dynamic conclusions.
Conclusions
This study employs a systematic approach integrating theoretical modeling, numerical simulation, and experimental validation to thoroughly investigate the dynamic coupling mechanisms of geometric eccentricity in the MGTS. It specifically elucidates the influence of eccentricity errors on system vibrational characteristics through the combined effects of stiffness modulation and dynamic excitations. The main conclusions are as follows:
(1) An analytical model for three-path stiffness modulation was established, accounting for center distance fluctuation, pressure angle reconstruction, and transient contact ratio. This model quantified the contribution weight of each physical path. The results demonstrate that geometric eccentricity significantly amplifies the fluctuation amplitude of the time-varying mesh stiffness by altering the line-of-action position and load distribution. The combination of a highly asymmetric eccentricity configuration (e1/e2 = 0.1 or 10) and an anti-phase operating condition (Δϕ = π) induces the most potent stiffness modulation effect, with the stiffness fluctuation amplitude reaching up to 3.5 × 10⁷ N/m. In contrast, a symmetric eccentricity structure (e1/e2 ≈ 1) coupled with an optimized phase difference (Δϕ ≈ π/2 or 3π/2) can effectively suppress stiffness fluctuations, reducing the amplitude to below 0.5 × 10⁷ N/m.
(2) A strong nonlinear coupling effect between the eccentricity ratio (e1/e2) and the initial phase difference (Δϕ) on the system’s dynamic response was discovered. The amplitude of center distance fluctuation (Δa), the peak-to-peak value of modulated stiffness (Δke), and the eccentricity excitation (Fecc) all reached their maximum values at Δϕ = π and their minimum values at e1/e2 = 1. Multi-parameter collaborative optimization provides clear design guidelines for vibration control in transmission systems: the high-risk parameter combination of “asymmetry + anti-phase” (e1/e2 < < 1 and Δϕ = π) must be avoided. To achieve high performance, a symmetric eccentricity design (e1/e2 ≈ 1) should be prioritized, with the phase difference set around Δϕ ≈ π/2 or 3π/2, thereby suppressing vibration excitation at the source.
(3) Vibration energy exhibits significant attenuation characteristics along the transmission chain, with the vibration response of the fixed-axis stage (high-speed stage) gears being markedly higher than that of the planetary stage. The peak acceleration of gear g2 in the fixed-axis stage (≈ 28 m/s²) is approximately four times greater than that of the sun gear (≈ 7 m/s²), indicating that the high-speed stage is the primary vibration source and should be the foremost target for vibration control. Furthermore, eccentric errors disrupt the load sharing characteristics of the PGS, leading to significant differences in the load fluctuation factors among the planets (e.g., the fluctuation factor for Fsp1 ranges from 1.12 to 1.25, while for Fsp3 it can reach 0.9 to 1.8).
(4) A three-stage transmission test rig was constructed, and experimental tests alongside model validation were conducted under different rotational speeds (200 ~ 800 rpm). The experimental results show high consistency with the simulation results in the main spectral characteristics (meshing frequencies and their harmonics), with frequency errors of less than 0.5 Hz, thereby validating the effectiveness of the developed dynamic model. The additional higher-order sidebands observed in the experimental spectra primarily originate from the first-order Taylor series approximation adopted in the simulation for modeling the gear eccentricity modulation effects, which neglects higher-order modulation terms. However, the amplitudes of these higher-order sidebands in the experiments are considerably lower than those of the first-order sidebands and the dominant peaks, confirming the rationality of the simplified approach used in this study.
(5) This study ultimately constructs a vibration-performance-based “safe design region” for parameter selection. The area defined by an eccentricity ratio of e1/e2 ≈ 0.5 ~ 2 and a phase difference of Δϕ ≈ 0 ~ 1.5 rad represents the optimal design domain, enabling the achievement of globally minimal vibration. The green region covers a broader parameter range and exhibits strong robustness, providing a design window that balances manufacturing economy with performance stability. For the design of precision transmission systems, it is recommended to prioritize a symmetric eccentricity structure (e1/e2 ≈ 1) and achieve vibration suppression by optimizing the phase difference (keeping Δϕ away from π).
Data availability
The datasets generated and analyzed during this study, including dynamic simulation results and experimental measurements, are available from the corresponding author upon reasonable request. The specific parameters employed in the dynamic model are comprehensively listed in the article’s tables.
References
Badihi, H., Zhang, Y., Jiang, B., Pillay, P. & Rakheja, S. A comprehensive review on signal-based and model-based condition monitoring of wind turbines: fault diagnosis and lifetime prognosis. Proc. IEEE. 110 (6), 754–806 (2022).
Wang, X. & Xia, P. Novel modeling and vibration analysis method on a helicopter drive train system. AIAA J. 60 (7), 4288–4301 (2022).
Zhang, R., Zhou, J. & Wei, Z. Study on transmission error and torsional stiffness of RV reducer under wear. J. Mech. Sci. Technol. 36 (8), 4067–4081 (2022).
Gu, X. & Velex, P. A dynamic model to study the influence of planet position errors in planetary gears. J. Sound Vib. 331 (20), 4554–4574 (2012).
Jordan, J. M., De Smet, B., Blockmans, B. & Desmet, W. A misaligned formulation for planetary gears with analytical 3D contact characterization. Nonlinear Dyn. 112 (19), 16811–16836 (2024).
Zhao, B., Huangfu, Y., Ma, H., Zhao, Z. & Wang, K. The influence of the geometric eccentricity on the dynamic behaviors of helical gear systems. Eng. Fail. Anal. 118, 104907 (2020).
Liu, W., Zhao, H., Lin, T., Gao, B. & Yang, Y. Vibration characteristic analysis of gearbox based on dynamic excitation with eccentricity error. J. Mech. Sci. Technol. 34 (11), 4545–4562 (2020).
Duan, L., Wang, L., Du, W., Shao, Y. & Chen, Z. Analytical method for time-varying meshing stiffness and dynamic responses of modified spur gears considering pitch deviation and geometric eccentricity. Mech. Syst. Signal Process. 218, 111590 (2024).
Elforjani, M., Mba, D. & Salihu, B. Experimental monitoring of eccentric gears with different mechanical conditions. Appl. Acoust. 197, 108903 (2022).
Ohta, H., Yamakawa, A. & Katayama, Y. Effects of eccentricity on transmission errors of trochoidal gears. ASME J. Tribology. 134 (1), 011102 (2012).
Li, J., Chen, H., Wang, X. B. & Yang, Z. X. A comprehensive gear eccentricity dataset with multiple fault severity levels: Description, characteristics analysis, and fault diagnosis applications. Mech. Syst. Signal Process. 224, 112068 (2025).
Chaari, F., Fakhfakh, T., Hbaieb, R., Louati, J. & Haddar, M. Influence of manufacturing errors on the dynamic behavior of planetary gears. Int. J. Adv. Manuf. Technol. 27 (7), 738–746 (2006).
Inalpolat, M. & Kahraman, A. A dynamic model to predict modulation sidebands of a planetary gear set having manufacturing errors. J. Sound Vib. 329 (4), 371–393 (2010).
Bodas, A. & Kahraman, A. Influence of carrier and gear manufacturing errors on the static load sharing behavior of planetary gear sets. JSME Int. J. C. 47 (3), 908–915 (2004).
Gu, X. & Velex, P. On the dynamic simulation of eccentricity errors in planetary gears. Mech. Mach. Theory. 61, 14–29 (2013).
Leque, N. & Kahraman, A. A three-dimensional load sharing model of planetary gear sets having manufacturing errors. J. Mech. Des. 139 (3), 033302 (2017).
Hu, Y., Ryali, L., Talbot, D. & Kahraman, A. A theoretical study of the overall transmission error in planetary gear sets. Proc. Institution Mech. Eng. Part. C: J. Mech. Eng. Sci. 233 (21-22), 7200–7211 (2019).
Ligata, H., Kahraman, A. & Singh, A. An experimental study of the influence of manufacturing errors on the planetary gear stresses and planet load sharing. J. Mech. Des. 130 (4), 041701 (2008).
Park, J. et al. Model-based fault diagnosis of a planetary gear: A novel approach using transmission error. IEEE Trans. Reliab. 65 (4), 1830–1841 (2016).
Peng, D., Smith, W. A., Borghesani, P., Randall, R. B. & Peng, Z. Comprehensive planet gear diagnostics: use of transmission error and mesh phasing to distinguish localised fault types and identify faulty gears. Mech. Syst. Signal Process. 127, 531–550 (2019).
Mo, S., Zhang, Y., Wu, Q., Matsumura, S. & Houjoh, H. Load sharing behavior analysis method of wind turbine gearbox in consideration of multiple-errors. Renew. Energy. 97, 481–491 (2016).
Sun, W. et al. A study on load-sharing structure of multi-stage planetary transmission system. J. Mech. Sci. Technol. 29 (4), 1501–1511 (2015).
Zhai, H., Zhu, C., Song, C., Liu, H. & Bai, H. Influences of carrier assembly errors on the dynamic characteristics for wind turbine gearbox. Mech. Mach. Theory. 103, 138–147 (2016).
Nejad, A. R. et al. Effects of floating sun gear in a wind turbine’s planetary gearbox with geometrical imperfections. Wind Energy. 18 (12), 2105–2120 (2015).
Xie, F., Sun, Y., Wu, S., Zhang, Q. & Li, X. Research on load sharing performance of wind turbine gearbox involving multiple-errors and tooth crack. J. Mech. Sci. Technol. 36 (9), 4395–4408 (2022).
Lu, W. & Zhang, Y. Research on the effect of tooth root defects on the motor-multistage gear transmission system. Mech. Based Des. Struct. Mach. 52 (3), 1561–1583 (2024).
Zhang, X., Tang, X. & Yang, W. Analysis of transmission error and load distribution of a Hoist two-stage planetary gear system. Proc. Institution Mech. Eng. Part. K: J. Multi-body Dynamics. 233 (1), 3–16 (2019).
Zhang, Y., Wang, Q., Ma, H., Huang, J. & Zhao, C. Dynamic analysis of three-dimensional helical geared rotor system with geometric eccentricity. J. Mech. Sci. Technol. 27 (11), 3231–3242 (2013).
Lin, J. & Parker, R. G. Analytical characterization of the unique properties of planetary gear free vibration. J. Vib. Acoust. 121 (3), 316–321 (1999).
Wei, S., Han, Q., Peng, Z. & Chu, F. Dynamic analysis of parametrically excited system under uncertainties and multi-frequency excitations. Mech. Syst. Signal Process. 72–73, 762–784 (2016).
Pohrt, R. & Popov, V. L. Contact mechanics of rough spheres: crossover from fractal to Hertzian behavior. Adv. Tribology. 2013 (1), 974178 (2013).
Funding
We would like to express our appreciation to National Natural Science Foundation of China (Grant No. 52302521) and Natural Science Foundation of Guangdong Province (Grant No. 2025A1515010327) for supporting this research. Meanwhile, we would also like to express our gratitude to National Natural Science Foundation of China (Grant Nos. 52372365 and 52402484) for supporting this research. We would like to express our gratitude for the support from the Zhaoqing University Youth Talent Project (Grant No. qn202533).
Author information
Authors and Affiliations
Contributions
Wenjia Lu: conceived and designed the research, established the theoretical framework and the dynamic model, drafted and revised the manuscript, and supervised the project.Guangda Liang: developed the multi-scale dynamic model, performed the numerical simulations and dynamic response analysis, and processed the data.Zunling Du: designed the experimental scheme, constructed the three-stage transmission test rig, and was responsible for the experimental data acquisition and validation.Weibo Huang: contributed to the theoretical analysis, participated in the interpretation of the results, and reviewed the manuscript.Xiaoyu Zhao: conducted the literature review, assisted with parameter calculations, and prepared the figures.
Corresponding author
Ethics declarations
Competing interests
The authors declare no competing interests.
Additional information
Publisher’s note
Springer Nature remains neutral with regard to jurisdictional claims in published maps and institutional affiliations.
Rights and permissions
Open Access This article is licensed under a Creative Commons Attribution 4.0 International License, which permits use, sharing, adaptation, distribution and reproduction in any medium or format, as long as you give appropriate credit to the original author(s) and the source, provide a link to the Creative Commons licence, and indicate if changes were made. The images or other third party material in this article are included in the article’s Creative Commons licence, unless indicated otherwise in a credit line to the material. If material is not included in the article’s Creative Commons licence and your intended use is not permitted by statutory regulation or exceeds the permitted use, you will need to obtain permission directly from the copyright holder. To view a copy of this licence, visit http://creativecommons.org/licenses/by/4.0/.
About this article
Cite this article
Lu, W., Liang, G., Du, Z. et al. Dynamic coupling effects of geometric eccentricity on multi-stage gear transmission via stiffness modulation and error excitation. Sci Rep 16, 3707 (2026). https://doi.org/10.1038/s41598-025-33768-z
Received:
Accepted:
Published:
Version of record:
DOI: https://doi.org/10.1038/s41598-025-33768-z




























