Fig. 3
From: Effect of EGR coupled fuel injection parameters on combustion and emissions

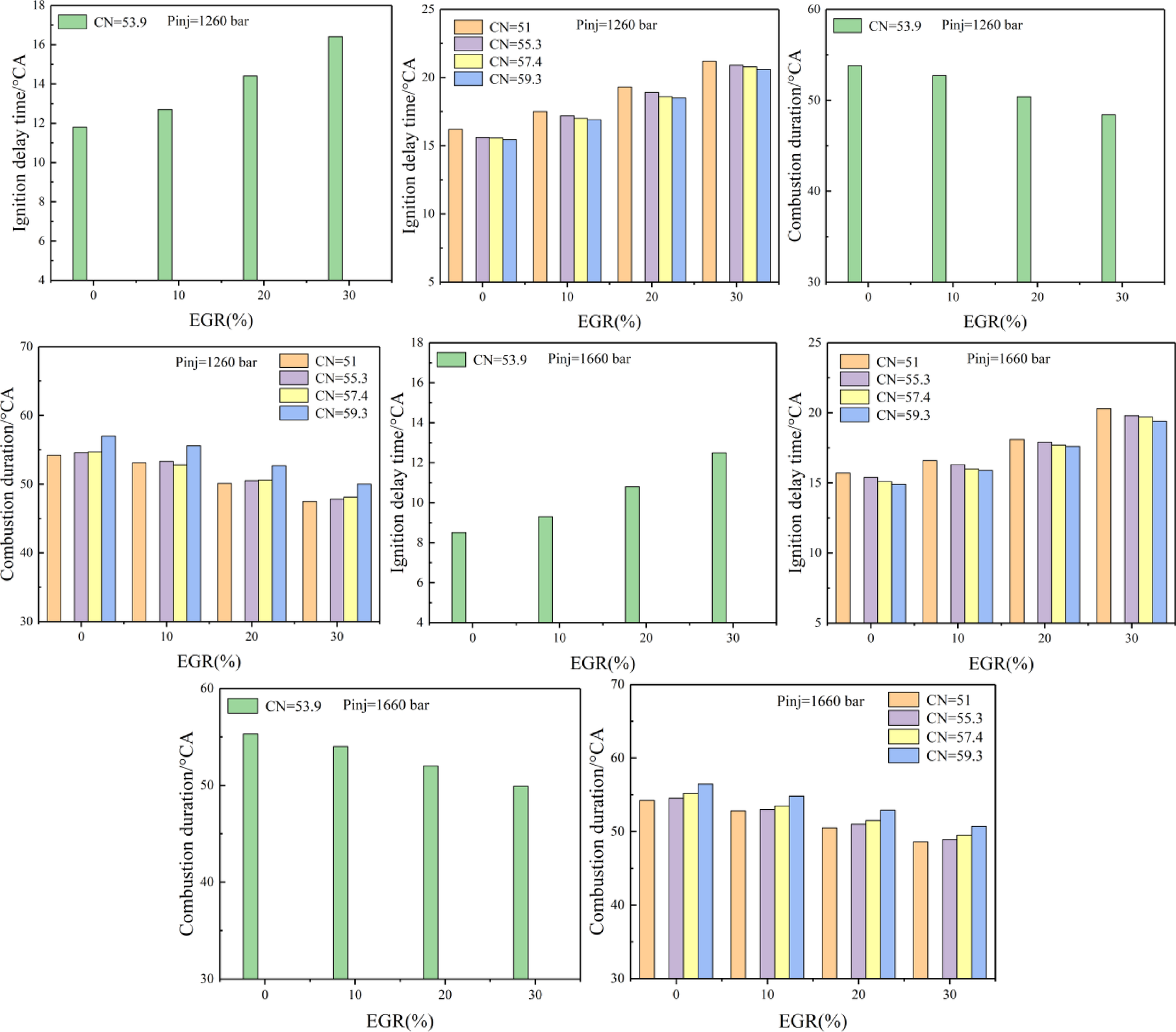
Effect of EGR coupled injection pressure on ID and CD
From: Effect of EGR coupled fuel injection parameters on combustion and emissions

Effect of EGR coupled injection pressure on ID and CD