Abstract
This paper provides an in-depth analysis of the effects of exhaust gas recirculation (EGR) coupled with injection parameters and cetane number (CN) on the performance of diesel engines. Test results can be obtained that the CN increased, the coupled EGR rate increased, the peak of cylinder pressure (CP) and the heat release rate (HRR) decreased significantly, the combustion duration (CD) shortened by 6.4%, exhibiting a pronounced downward trend. The coupled injection pressure increased, CO and HC emissions increased by 31.6% and 2.7%, the number concentration of Particulate matter(PM) decreased, and the total mass concentration of PM decreased by 50.82%, and the NOx emissions decreased by 45.16%. The increase of CN coupled with the increase of EGR rate, the peak of HRR decreased significantly by 25.3%, Ignition delay time(ID) and CD showed an opposite trend, the coupled injection timing was delayed, CO and HC emissions increased by 72.7% and 66.1%, respectively, while NOx emissions decreased by 76.5%, peak of PM concentration increased, and the total mass concentration of PM increased by 48.65%. As the EGR rate increased, the PM concentration of the fuels increased and then decreased. With the increase of EGR rate, the PM concentration of the fuel showed a trend of first increasing and then decreasing, and the peak corresponded to the particle size shifted to the direction of large particle size. The particle size peak of the PM reached 70–80 nm. The CN = 53.9 fuel has no pre-injection heat release under different EGR conditions, significantly affecting the CP and HRR.
Introduction
As automobile ownership rates continue to rise worldwide, the energy crisis and environmental pollution problems have become more prominent. According to statistics, by the end of 2023, the total number of automobiles in the world has reached a staggering 1.474 billion units, of which nearly 20% of the proportion of diesel vehicles produce more than 80% of the total emissions of NOx and even more than 90% of its PM emissions1. This undoubtedly pushes the pollution problem of diesel vehicles to the cliff’s edge. The accelerating demand for reducing environmental pollution has necessitated the implementation of various advanced technologies, particularly those focused on EGR, high-pressure fuel injection, and fuel refinement, which aim at decreasing the emission levels from diesel engine operations significantly2,3.
It is well known that diesel fuel and engines are not two isolated entities but are interdependent and inseparable. When optimizing engine performance and reducing harmful pollutant emanations, the interactions between the fuel and the engine control parameters play a pivotal role. A diligent consideration of these factors can lead to significant enhancements in fuel economy and a drastic reduction in the production of pollutant gases and particulates. Our research group has recently investigated the effect of fuel physicochemical properties on spray characteristics in a fixed-capacity combustion bomb, as well as the combined effects of fuel properties, injection parameters, pre-injection conditions, and multiple operating regimes on diesel combustion and emissions. Related findings from these studies have been reported by Wu et al. and Sun et al.4,5,6,7.
Based on the previous work, the group further investigated the effects of EGR-coupled cetane number and injection parameters on combustion and emission. Currently, EGR teduce NOx emissions, and the coupling of cetane number and injection parameters can inhibit the generation of PM to a certain extent8. Lu Y used numerical simulations to investigate the effects of EGR on combustion and emissions in a heavy-duty diesel engine using a front-chamber combustion system. The results show that in the optimized front chamber combustion system, the introduction of 3% EGR reduces NOx emission by 11.61% and soot emission by 9.97% as compared to the baseline engine9.Zhao Y studied the effect of EGR on carbon-containing functional groups in respirable PM determined by X-ray absorption near-edge spectroscopy. The results show that the use of EGR in the diesel engine had a minor influence on the types of carbon-containing functional groups in the PM; however, it did affect their relative contents. As the EGR rate increased, the aromatic and graphitized carbon contents of the PM gradually decreased, and the contents of the oxygen-containing and aliphatic C-H functional groups increased, which strongly promoted the oxidative activity of the PM. The percentage of soot in the PM decreased with the use of EGR, while the percentages of water and volatile organic matter increased10. Yuan H investigated the effects of chemical composition and CN of Fischer Tropsch synthesis (FT) fuels on the performance of a diesel engine. By varying the inlet oxygen concentration for cooling the EGR, natural gas-to-liquids (GTL) had shorter premixed combustion times, smaller heat release peaks, and longer diffusion CD at high and medium temperatures due to the higher CN compared to diesel fuel. Limited improvements in thermal efficiency and NOx exhaust emissions were achieved, but no significant reductions in flue gas emissions were realized. Next, three paraffinic hydrocarbon fuels with CN = 78, 57, and 38 were blended as simulated FT fuels and tested under the same experimental equipment and operating conditions. For the simulated FT fuel with a low CN, the results showed that the ignition delay and premixing cycle were significantly longer at low intake oxygen concentration, which implied that the low CN fuel was more adequately premixed than the other fuels, especially at high EGR rates, resulting in reduced flue gas emissions. In addition, with low CN fuels, excellent indicated thermal efficiencies are obtained under high load conditions11.Mao B investigated the effect of physicochemical properties of fuels on emissions and operating range capability in partially premixed combustion where n-heptane, gasoline, and n-butanol were blended into diesel fuel called DH80, DG80, and DB80 in an 80% volume ratio. diesel fuel was used as a base fuel. The results showed that compared to diesel fuel, DH80 achieves very high soot reduction at low loads, which diminishes as loads increase. CN is a key factor influencing the part-load mixing process, and the ID of low-CN fuels is very sensitive to speed and load changes. As load increases, the effect of CN on the combustion process is greatly suppressed, and the effect of molecular dilution on soot reduction outweighs the effect of cetane number.EGR rate is also a key factor affecting the part-load mixing process, and a high EGR rate is more sensitive to ignition delay of combustion than CN12. Zhang systematically evaluated the feasibility of tung oil biodiesel in diesel engines, revealing the combined effects of injection timing, EGR rate, and intake air temperature on combustion and emissions. Findings indicate the existence of an optimal injection timing window that balances combustion performance. At the same time, EGR and intake air temperature control exhibit significant trade-offs in NOx and soot emissions. These discoveries provide crucial theoretical foundations for optimizing engine performance and emission control of tung oil-based biodiesel13. Gokhan E aimed to simultaneously enhance engine performance and reduce NOx emissions by blending corn oil biodiesel with diethyl ether and incorporating 10% EGR technology. Experimental results indicate that the optimal combination is a biodiesel blend containing 5% diethyl ether coupled with the EGR scheme. This configuration achieves a significant reduction of up to 70% in NOx emissions while only causing a minor decrease of 3% in engine torque. This study confirms that the synergistic effect of fuel modification and aftertreatment technology is an effective approach to meeting European emission standards14. Ram’s research aimed to enhance diesel engine performance and reduce emissions by designing a waste heat recovery system that utilizes heat exchangers to preheat intake air in combination with varying EGR ratios. Experimental results demonstrated an 8.3% increase in mechanical efficiency at a 12% EGR rate, alongside improved CO₂ emissions and significantly elevated cylinder pressure and heat release rate. This study confirms that the synergistic application of waste heat recovery and EGR technology constitutes an effective strategy for optimizing the overall performance of diesel engines15. Elsayed validated through simulation the feasibility of synergistically applying EGR with water-fuel emulsion to resolve the trade-off between reducing NOx emissions and maintaining thermal efficiency in diesel engines. Results demonstrate that this combined strategy effectively suppresses afterburning phenomena. Under specific operating conditions (e.g., 16% oxygen concentration and 40% water content), it achieved a 94% reduction in NOx emissions while simultaneously increasing the indicated mean effective pressure by 4%. This technology offers a highly promising technical pathway to meet emission regulations without compromising engine performance16.
In recent years, with the growing global focus on environmental protection and energy efficiency, emission control for diesel engines has become a research hotspot. Despite their high thermal efficiency, diesel engines’ PM and NOx emissions remain major obstacles to achieving sustainable development goals. EGR technology, as an effective emission control measure, significantly reduces NOx formation by lowering combustion temperatures and altering in-cylinder gas composition. However, the application of EGR technology also leads to increased PM emissions, making the emission balance between PM and NOx a challenging research topic. Although preliminary studies have explored the effects of EGR technology, existing literature primarily focuses on the variation patterns of individual emission components, lacking a systematic analysis of the coupling mechanisms between combustion processes and emission characteristics. Furthermore, research gaps remain regarding the effects of fuel CN and injection parameters on combustion characteristics, as well as their interactions under EGR conditions. Therefore, this study aims to experimentally and analytically reveal the influence mechanisms of EGR technology on combustion processes and emission characteristics when coupled with adjustments to fuel CN and injection parameters, providing theoretical support for achieving efficient and clean combustion in diesel engines.
Test system and test condition
Engine test bench test system
The test was carried out on a 4-cylinder supercharged, intercooler, electronically controlled high-pressure common-rail high-speed diesel engine with a displacement of 2.771 L. Table 1 Main technical parameters of the engine.During the test, the engine working conditions can be calibrated in real-time by connecting the ECU through the INCA system. The selection of injection parameters and working conditions can be adjusted through the ECU to meet the requirements of the test.
The engine test bench’s primary measurement and control systems include an eddy current dynamometer(controls and records engine speed and load), combustion analyzer(real-time calculation and display of combustion-related parameters and data), airflow meter(the intake air flow is measured), etc. Specific parameters are detailed in Table 2. The cylinder pressure is measured by a Kistler 6052 C cylinder pressure sensor with a sampling interval of 0.1°CA. To eliminate measurement errors, 100 cycles of cylinder pressure are collected for average at each operating point. The particle size distribution analysis is carried out using the EEPS 3090 engine exhaust particle size spectrometer based on the electromobility measurement technology produced by TSI Company in the United States. The measurement range of the particle size meter is 4.87ཞ1000 nm, which can cover the entire significant particle size range of modern diesel engines. The design scheme of our engine test bench can be discerned from Fig. 1. Table 3 lists the uncertainty analysis for the main apparatus in parameter measurement.
Test fuel and method
The fuel comes from China Petroleum & Chemical Corporation.Diesel CN is measured and reported by a third-party authority based on a standard process. The values obtained are presented in Table 4 below. Among them, CN = 51, 53.9, 55.3, 57.4, and 59.3 represent the CNs of the fuels.
The test process needs to control the cooling water temperature and oil temperature at about 80℃ and 90℃ respectively, with an error of no more than ± 5℃, and the engine intake temperature is controlled at25 ± 2℃. The parameters collected include engine combustion parameters, fuel consumption parameters, and emission parameters. When recording the parameters studied in the test, the steady state condition should ensure that the engine runs stably for more than 2 min. The data were recorded five times for each working condition; the maximum and minimum values were removed, and the remaining values were averaged to ensure the accuracy of the data. The test was selected at 2200 rpm, 50% load condition, and the technical means used was pre-injection + main injection, pre-injection timing is 31.5ºCA BTDC, pre-injection fuel quantity was 2.4 mg/cycle, main injection timing is 8.5ºCA BTDC, main injection fuel quantity was 21.6 mg/cycle, and the total circulating fuel quantity was 24 mg/cycle. Experiments were conducted to study the combustion and emissions of the engine by coupling EGR rates for five fuels at different injection pressures. The experimental study of combustion and emission of five fuels with different EGR rates coupled with injection timings was investigated. The test conditions were the same as above, with a rail pressure of 1360 bar, a pre-injection timing of 31.5ºCA BTDC, a pre-injection quantity of 2.4 mg/cycle, main injection timings of 8.5ºCA BTDC and 12.5ºCA BTDC with the same intervals between the main and pre-injections angles, and a main injection quantity of 31.6 mg/cycle, with a total cyclic fuel quantity of 34 mg/cycle. Specific operating points are shown in Table 5.
Results and discussion
Effects of EGR coupled injection pressure
In Fig. 2, observe noteworthy fluctuations in both CP and HRR across different combustible fuels, dependent upon the level of EGR. It is evident that as the extent of added EGR augments, both CP and HRR experience corresponding reductions. This trend can be attributed to the dilution of oxygen content in the cylinder by admixing recirculated exhaust gases into the incoming air stream. As a result, the expansive flame front engendered between oxygen molecules and fuel particles witnesses inevitable shrinkage, thereby amplifying the volume of gases that absorb endothermic heat influx. Consequently, the flame temperature levels dip significantly.Another cause leading to the decline in flame temperature is that the gases composing the exhaust contain a higher specific heat capacity when compared to those predominant in ambient air. Such disparity amplifies the specific heat capacity of the reacting gaseous medium within the cylinder, thus lowering the overall gas temperature during combustion17. At an EGR rate of 10%, when the injection pressure is 1660 bar, compared to an injection pressure of 1260 bar, the peak CP and the peak HRR of the five fuels increased by 14.49%, 14.27%, 14.12%, 13.81%, and 13.56%, respectively, and 10.81%, 10.58%, 10.22%, 10.03%, and 9.79%. As the pressure exerted during injection intensifies, it promotes fuel atomization, vastly improving the uniformity of mixing with air and accelerating the reaction rate. Increasing the CN will improve the combustion process.
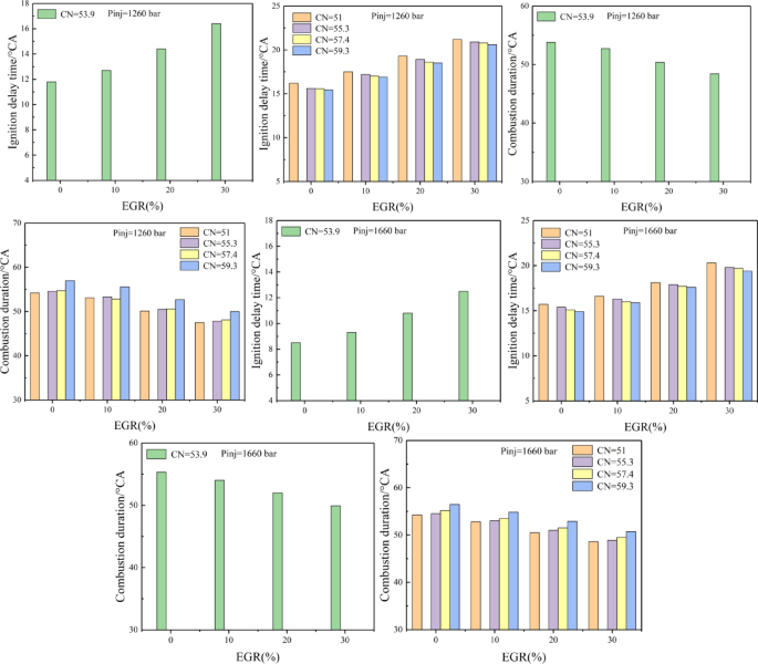
Figure 3 shows the effect of varying EGR rates on the change in ID and CD for five distinct fuels across various injection pressures. Analysis of Fuel CN = 53.9 reveals that this fuel exhibits no discernable pre-injection heat release. Therefore, it is treated separately from the fuels exhibiting pre-injection heat release. All relevant calculations pertinent to this fuel are drawn from the existing literature 4. Findings reveal that an increment in the EGR rate consequentially imparts an augmented ID across all fuels as the EGR rate escalates. The exhaust gasses dilute the mix within the cylinder, decreasing its oxygen content. Furthermore, the thermal impact of the EGR rate causes the entrance of these gasses to induce higher specific heat capacities within the cylinder’s mix. This mitigates the temperature rise within the cylinder given identical boundary conditions, reducing the reaction kinetics and thus amplifying the ID over time18. Similarly, there is an escalating trend in CD values with EGR rate amplification for all studied fuels. The elevation in CD was instigated by the reduction in combustion rate brought about by the admixture of exhaust gases within the cylinder, resulting in diminished reaction kinetics and, hence, a slower overall combustion rate19. At identical EGR rates, augmenting the injection pressure elevates the fuel spray quality, enhancing its blend with air and refining the combustion procedure, culminating in shorter ID and CD durations.
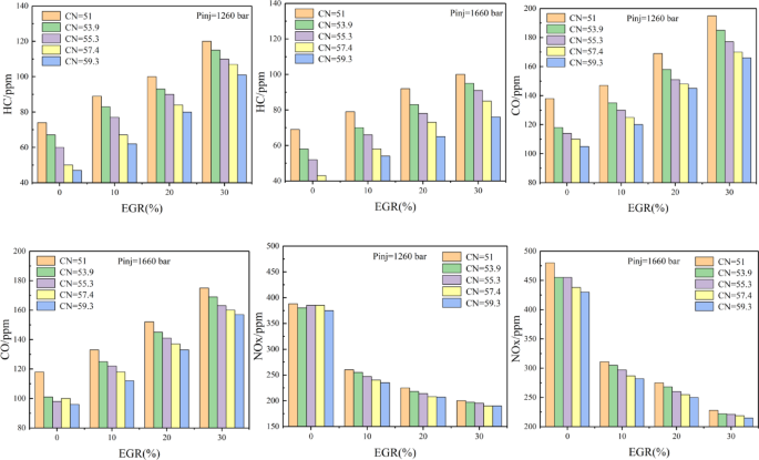
In accordance with Fig. 4, variations in the rate of EGR have a profound impact on the dynamics of CO, HC, and NOx. As the EGR rate increases, HC and CO emissions also increase. CO formation requires oxygen deficiency and low temperatures. Higher EGR rates introduce more exhaust gases into the cylinder, reducing oxygen concentration and preventing complete oxidation of CO to CO₂ in localized areas, thus increasing CO emissions. Additionally, the higher specific heat capacity of gases like CO₂ in the exhaust and the dilution effect cause localized temperature drops within the cylinder. These two factors collectively drive the increase in CO emissions with rising EGR rates. The dilution effect of EGR prolongs the fuel ignition delay and impairs fuel ignitability, increasing localized quenching and thereby raising HC emissions20. NOx emissions decrease with increasing EGR rate. This occurs because the introduced exhaust gases increase the thermal capacity of the mixture, significantly lowering peak combustion temperatures. Simultaneously, the exhaust dilutes the oxygen concentration in the intake air. Together, these effects disrupt the high-temperature, oxygen-rich conditions necessary for NOx formation21. Additionally, as injection pressure increases, fuel-air mixing improves, leading to more complete fuel combustion and higher cylinder temperatures, which in turn increase NOx emissions. At the same injection pressure, NOx emissions increase as the CN decreases22.
Figure 5 shows the analysis of the effect of EGR rate on PM characteristics at various injection pressures. With the increase of EGR rate, the peak of PM particle size shifts to the right, and the peak of PM is about 40 nm for five fuels without EGR under different injection pressures, but the peak of PM particle size already reaches 70–80 nm when the EGR rate reaches 30%. Under the condition of a more significant EGR rate, the particle size of PM shifts to the direction of the large particle size with the increase of the injection pressure23, which shows that more considerable injection pressure can reduce the number concentration of aggregated particles. Increasing the injection pressure can effectively improve the quality of spray, promote and air uniform mixing, and, to a certain extent, alleviate the demand for intake oxygen concentration to ensure that the diesel engine in the more significant EGR rate of the conditions can still ensure that there is a better quality of pre-mixed combustion volume. Therefore, increasing the injection pressure, which inhibits particulate matter production to some extent, may provide technical support for introducing a large percentage of EGR rate in diesel engines.
As the EGR rate increases, the total mass concentration of PM increases for all five fuels. Due to the increase in EGR rate, the exhaust gas introduced into the cylinder also increases gradually, causing the air-fuel ratio to decrease. Under medium load conditions, high temperature and lack of oxygen are helpful for PM generation, and high temperature can increase the collision frequency between particles and accelerate the generation of particles with larger particle sizes24. In addition, the EGR rate increases, and HC emissions increase with it. These HC can be adsorbed on the surface of the PM and form new PM, increasing the particle size and mass concentration of the new PM. From the point of view of reducing the PM mass concentration alone, switching from low cetane number, low injection pressure, and high EGR rate to high CN and high injection pressure and low EGR rate, the total PM mass concentration decreased by 76.73%. However, the generation of PM has a ‘trade-off’ relationship with NOx emission. Therefore, selecting the EGR rate suitable for diesel engine operating conditions is particularly important25.
Effects of EGR coupled injection timing
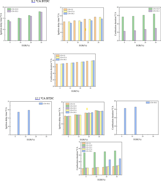
As illustrated in Fig. 6, the influence of distinct injection timings and EGR rates on CP and HRR is notable. With escalating EGR ratios, a noticeable downward trend in the CFPs and HRRs of all five fuels becomes apparent, accompanied by a delay in ignition timing. Among these, the HRR of Fuel CN = 53.9 stands out, revealing significant variations across different injection times. The incorporation of EGR results in a substantial volume of exhaust gases being introduced into the cylinder, affecting the fuel’s ability to ignite and subsequently influencing its ID and CD. Notably, at an injection timing of 8.5ºCA BTDC, EGR does not alter the pre-ignition heat release for any of the five fuels. This can primarily be attributed to the extension of ID due to delayed injection timing, the proportion of pre-mixed combustion is increased, and the peak HRR increases. As the EGR rate increases, but with an injection timing of 12.5ºCA BTDC, there is no heat release from the CN = 59.3 fuel pre-injection when the EGR rate reaches 20% and 30%, this leads to a different way of calculating the ID and the CD for this condition, as will be specifically detailed below.
Figure 7 illustrates the influence of the EGR rate on the ID and CD of the five tested fuels under different injection timings. For the CN = 53.9 and CN = 55.3 fuels, which exhibit no pre-injection heat release, the calculation method differs from that used for the other three fuels, leading to significant numerical discrepancies. The ID values of all five fuels are extended to varying degrees. Under consistent boundary conditions, the introduction of EGR brings a substantial amount of exhaust gas into the cylinder. The presence of CO₂ and other gases in the exhaust reduces the in-cylinder oxygen concentration and increases the specific heat capacity of the gaseous mixture. As a result, more heat is absorbed during combustion26, leading to a lower in-cylinder temperature and a slower reaction rate.With an increase in the EGR rate, the CD shows a certain degree of prolongation across all five fuels. When the injection timing is advanced to 12.5°CA BTDC, the pre-injection event occurs farther from top dead center, where in-cylinder temperature and pressure are relatively low. Under these conditions, many fuels fail to achieve pre-injection heat release due to insufficient ignition prerequisites. In contrast, the CN = 59.3 fuel consistently exhibits pre-injection heat release across different injection timings, which may be attributed to its physicochemical characteristics, such as a higher CN and calorific value.
Examination of Fig. 8 depicts that as the EGR rate increases, HC and CO emissions progressively elevate. Conversely, NOx emissions tend to diminish with higher EGR rates. This can be attributed to the incorporation of substantial exhaust gas into the combustion chamber, causing a reduction in air oxygen content, thereby adversely affecting combustion efficiency. Moreover, EGR implementation results in incomplete combustion, thus promoting the onset of fuel cracking, which cannot undergo complete oxidation and ultimately leads to escalating levels of HC emissions. The generation of CO is caused by incomplete combustion of the fuel. Indeed, EGR involvement causes oxygen concentration within the cylinder to decrease, creating local oxygen scarcity. Furthermore, due to the presence of CO2 and other chemicals in the exhaust stream, the overall specific heat capacity of gas within the cylinder increases during combustion. Consequently, more heat is to be garnered, thereby diminishing combustion temperature and slowing reactivity, resulting in augmented CO emission rates27.One consequence of increased EGR implementation is a significant reduction in the oxygen content of the combustion mixture within the cylinder. As a result of this reduction, there is a corresponding drop in the cylinder’s combustion temperature, leading to reduced levels of NOx emissions formation. Under identical EGR rates, advancing the injection timing generally leads to increased NOx emissions. This trend can be attributed to enhanced fuel–air mixture diffusion kinetics, which promote faster combustion and higher in-cylinder temperatures. It should be noted, however, that at low EGR rates, the overall emission levels remain relatively low due to the limited amount of exhaust gas recirculated into the combustion chamber.When the main injection timing is advanced to 12.5ºCA BTDC, the availability of oxygen plays a critical role in determining NOx emissions. An excess of oxygen accelerates the combustion process, raising the combustion temperature and consequently increasing NOx formation. In contrast, higher EGR rates reduce the oxygen concentration in the cylinder, thereby inhibiting NOx production. As a result, the impact of injection timing on NOx emissions diminishes as the EGR rate increases.
Figure 9 shows that with a significant rise in the EGR rate, the principal point of the particle size distribution shifts towards the right, accompanied by an increase in the overall PM mass concentration. An increase in the EGR rate leads to a rightward shift in the peak particle size distribution. This phenomenon arises because the admission of a substantial volume of exhaust gas into the combustion chamber lowers the oxygen concentration and promotes localized oxygen-deficient zones. During combustion, these regions experience insufficient contact with oxygen, resulting in incomplete oxidation. Under high-temperature conditions, this readily produces loosely structured, porous carbonaceous particles. Such particles effectively adsorb unburned HC in the cylinder, continually forming PM of larger diameters, thereby increasing the number concentration of agglomerated particles28. At an injection timing of 8.5°CA BTDC, elevating the EGR rate raised the peak PM number concentrations for fuels with CN of 51, 53.9, 55.5, 57.4, and 59.3 by 84.1%, 72.3%, 59.7%, 55.8%, and 52.3%, respectively. When the injection timing was advanced to 12.5°CA BTDC, the peak number concentrations for the same fuels decreased by 40.9%, 40.3%, 39.8%, 39.1%, and 45.1%, respectively, relative to those observed at 8.5°CA BTDC. The earlier injection extends the ID, promoting more homogeneous fuel–air mixing and enhancing premixed combustion. This moderates the influence of EGR rate on the peak number concentration of PM, thereby diminishing the effect of EGR as injection timing is advanced29.
Furthermore, the total PM mass concentration increases with EGR rate under all conditions. Although particle–particle collision frequency decreases at higher EGR rates, the number concentration of agglomerated particles rises, leading to the formation of larger particles. These newly formed particles can adsorb species such as unburned HC in the cylinder, contributing to an increase in PM mass concentration30. Advancing the injection timing reduces PM mass concentration across all five fuels and EGR rates. For instance, at 10% EGR, advancing injection from 8.5°CA to 12.5°CA BTDC reduced the total PM mass concentrations by 51.6%, 50.3%, 49.7%, 42.6%, and 48.6%, respectively, for the five fuels. This reduction can be attributed to the extended residence time of particles in the cylinder under early injection conditions, which promotes oxidation. Although earlier injection may increase the likelihood of particle collisions, the net PM mass concentration is governed by the balance between oxidation and generation rates. Under medium load conditions, elevated combustion temperatures enhance oxidation, which predominates over particulate formation31. Experimental data confirm that with advanced injection timing, the oxidation rate exceeds the generation rate. In contrast, at a retarded injection timing of 8.5°CA BTDC, the shorter oxidation duration results in higher particulate mass concentrations. Therefore, combining higher EGR rates with advanced injection timing and higher cetane number fuels can effectively reduce the total PM mass emissions from diesel engines.
Conclusions
The introduction of EGR technology affects the engine’s combustion process and emission profile. The functionality of the technology lies in the ability to couple the adjustment of the injection parameters and the cetane number in the oil parameters to achieve an effective balance between PM and NOx.
(1) When fuel CN increases and is coupled with higher EGR rates, CP and HRR decrease significantly, while CD shows a shortening trend. This primarily stems from high-CN fuels improving ignition quality and shortening the delay period, thereby promoting a more controllable combustion process under the low-oxygen conditions created by EGR32. Building upon this, further increasing injection pressure—despite potential CO and HC emission increases due to enhanced fuel atomization and localized lean regions—significantly reduced particulate matter number concentration and total mass concentration by 50.82%, while NOx emissions decreased by 45.16%. The simultaneous reduction in PM and NOx highlights the synergistic effect of CN enhancement and EGR technology in mitigating traditional emission trade-offs33.
(2) Under high CN and EGR rates, delayed injection timing substantially increased CO and HC emissions (by 72.7% and 66.1%, respectively), attributable to reduced cylinder temperatures and insufficient afterburning oxidation time. Conversely, NOx emissions decreased significantly by 76.5% due to lower flame temperatures. Concurrently, the peak number concentration of particulate matter increased, with total PM mass concentration rising by 48.65%. As the EGR rate increased, the number concentration of particulate matter first rose and then fell, with the peak in the particle size distribution shifting toward larger dimensions, primarily concentrated in the 70–80 nm range. This non-monotonic change aligns with recent research34, which concluded that moderate EGR rates may promote carbon soot oxidation, while excessively high EGR rates inhibit the oxidation process and promote particle agglomeration growth.
(3) For fuel with CN = 53.9, no pre-injection exothermic phenomenon was observed under any EGR conditions, significantly affecting the morphology of CP and HRR curves. This phenomenon indicates that when interpreting parameters such as the delay time and burn duration, it is essential to consider the critical difference in whether the fuel exhibits low-temperature exothermic characteristics. This finding is consistent with the conclusions of35.
Data availability
The data that support the findings of this study are available from the corresponding author upon reasonable request.
References
Liang, Z. et al. Evaluating the potential of mixture formation methods to achieve efficient combustion and near-zero emissions on a hydrogen direct injection engine. J. Clean. Prod. 439, 140930 (2024).
Fayad, M. A. et al. Effect of FIPs strategy and nanoparticles additives into the renewable fuel blends on NOX emissions, PM size distribution and soot oxidation in CRDI diesel engine. Results Eng. 21, 101748 (2024).
Fayad, M. A. & Al-Ghezibv, K. S. M. Emissions characteristics and engine performance from the interaction effect of EGR and diesel-Ethanol blends in diesel engine. Int. J. Renew. Energy Dev. 11 (4), 991–1001 (2022).
Sun, B. et al. Effect of fuel physicochemical properties on spray and particulate emissions. ACS Omega. 48 (7), 44251–44265 (2022).
Wu, H., Xie, F. & Han, Y. Effect of cetane coupled with various engine conditions on diesel engine combustion and emission. Fuel 322, 124164 (2022).
Sun, B. et al. Effect of Cetane-Coupled pilot injection parameters on diesel engine combustion and emissions. ACS Omega. 50, 7 (2022).
Shao, K. & Wu, H. Effect of hydrogen injection strategy on combustion and emissions of. Ammonia–Hydrogen Sustainable Engines Sustain. 17, 21 (2025).
Fayad, M. A. et al. Diminution of air pollution from NOX and smoke/soot emitted from alcohols/diesel blends in diesel engine and influence of the exhaust gas recirculation (EGR). J. Environ. Eng. Landsc. Manage. 31 (1), 103–112 (2023).
Lu, Y. et al. Effect of pre-chamber fuel injection parameters and EGR on the combustion and emissions of a heavy-duty diesel engine. Energy Sour. Part A Recover. Utilization Environ. Eff. 46 (1), 6662–6684 (2024).
Zhao, Y. et al. Effects of exhaust gas recirculation on the functional groups and oxidation characteristics of diesel particulate matter. Powder Technol. 346, 265–272 (2019).
Yuan, H. et al. Effects of chemical compositions and cetane number of Fischer–Tropsch fuels on diesel engine performance. Energies 15, 4047 (2022).
Mao, B. et al. Influence of fuel properties on multi-cylinder PPC operation over a wide range of EGR and operating conditions. Fuel 215, 352–362 (2018).
Zhang, Y. et al. Effects of IT, EGR, and IAT on combustion and emissions in a diesel engine fueled with Tung Oil-Based biodiesel blends. ACS Omega. 10 (31), 35119–35133 (2025).
Gokhan, E. Comprehensive analysis of the effects of alternative fuels on diesel engine performance combustion and exhaust emissions: Role of biodiesel, diethyl ether, and EGR.Thermal Science and Engineering Progress,47102307. (2024).
Ram, T., Subhash, L. & ,Santosh, B. Experimental investigation to study combustion and emission characteristics of diesel engine by application of EGR and heated intake air.Materials Today: Proceedings,72(2023)P3, pp.687–693.
Elsayed, A. & Hiroshi, T. EGR and emulsified fuel combination effects on the Combustion, Performance, and nox. Emissions Mar. Diesel Engines Energies. 16, 1336 (2022).
Kumar, M. et al. Effect of fuel injection pressure and EGR techniques on various engine performance and emission characteristics on a CRDI diesel engine when run with linseed oil Methyl ester. Energy Environ. 33 (1), 41–63 (2022).
Kar, T. et al. Effect of fuel composition and EGR on spark-ignited engine combustion with LPG fueling: experimental and numerical investigation. Fuel 327, 125221 (2022).
Dond, D. K. & Gulhane, N. P. Effect of a turbocharger and EGR on the performance and emission characteristics of a CRDI small diesel engine. Heat. Transf. 51 (1), 1237–1252 (2022).
Jafarmadar, S. & Nemati, P. Analysis of exhaust gas recirculation (EGR) effects on exergy terms in an engine operating with diesel oil and hydrogen. Energy 126, 746–755 (2017).
Abdelhameed, E. Hiroshi Tashima. EGR and emulsified fuel combination effects on the combustion,performance, and nox emissions in marine diesel engines. Energies 16, 1336 (2023).
Kumar, P. V. et al. Evaluation of performance, emissions and combustion attributes of CI engineusing Palmyra biodiesel blend with distinct compression ratios, EGR rates andnano-particles. Fuel 321, 124092 (2022).
Chaichan, M. T. et al. PM and NOX emissions amelioration from the combustion of diesel/ethanol-methanol blends applying exhaust gas recirculation (EGR).IOP Conference Series: Earth and Environmental Science, 961012044. (2022).
Fayad, M. A. & Abd A O,Chaichan M T.Investigation the combined effects of exhaust gas recirculation (EGR) and alcohol-diesel blends in improvement of NOX-PM Trade-off in compression ignition (CI) diesel engine.IOP Conference Series: Earth and Environmental Science, 961 012048. (2022).
Li, X. et al. Impact of exhaust gas recirculation (EGR) on soot reactivity from a diesel engine operating at high load. Appl. Therm. Eng. 68 (2), 100–106 (2014).
Huang, H. et al. Comparative study of effects of pilot injection and fuel properties on low temperature combustion in diesel engine under a medium EGR rate. Appl. Energy. 179, 1194–1208 (2016).
Huang, H. et al. Experimental investigation of particle emissions under different EGR ratios on a diesel engine fueled by blends of diesel/gasoline/n-butanol. Energy. Conv. Manag. 121, 212–223 (2016).
Yusri, I. M. et al. Alcohol based automotive fuels from first four alcohol family in compression and spark ignition engine: A review on engine performance and exhaust emissions. Renew. Sustain. Energy Rev. 77, 169–181 (2017).
Inaba, K. et al. Effect of combustion period on carbon crystallite size of soot particles emitted from a diesel engine with diesel and hydrogenated vegetable oil fuels.Fuel, 407137194. (2025).
Rayapureddy, M. S. & Matijošius, J. Influence of EGR and Acoustic Waves on Particles and Other Emissions of IC Engine Powered with Diesel and RME Fuels.Fuels,63,67. (2025).
Li, X. Zhao P.Effect of exhaust gas recirculation (EGR) on diesel engine carbonaceous PM emissions.Environmental. Sci. Pollution Res. 32 (23), 1–11 (2025).
Labeckas,Gvidonas,Slavinskas., et al.Effect of the cetane number improving additive on Combustion, Performance, and emissions of a DI diesel engine operating on JP-8 Fuel.Journal of energy engineering,141(2015)2:C4014005.1-C4014005.14.
Shi, X. et al. A study on combined effect of high EGR rate and biodiesel on combustion and emission performance of a diesel engine. Appl. Therm. Eng. 125, 1272–1279 (2017).
Rakopoulos, D. C. et al. Investigating the EGR rate and temperature impact on diesel engine combustion and emissions under various injection timings and loads by comprehensive two-zone modeling.Energy,157(2018), pp. 990–1014 .
Wu, H. et al. Effect of cetane coupled injection parameters on diesel engine combustion and emissions. Fuel 319, 123714 (2022).
Acknowledgements
This work was supported by the Hubei University of Automotive Technology Doctoral Research Start-up Fund Project (BK202507).
Funding
This work was supported by the Hubei University of Automotive Technology Doctoral Research Start-up Fund Project (BK202507).
Author information
Authors and Affiliations
Contributions
Kun Shao: Methodology, Software, Writing-original manuscript.Heng Wu: Visualization. All authors commented on the manuscript. manuscript.
Corresponding author
Ethics declarations
Competing interests
The authors declare no competing interests.
Additional information
Publisher’s note
Springer Nature remains neutral with regard to jurisdictional claims in published maps and institutional affiliations.
Rights and permissions
Open Access This article is licensed under a Creative Commons Attribution-NonCommercial-NoDerivatives 4.0 International License, which permits any non-commercial use, sharing, distribution and reproduction in any medium or format, as long as you give appropriate credit to the original author(s) and the source, provide a link to the Creative Commons licence, and indicate if you modified the licensed material. You do not have permission under this licence to share adapted material derived from this article or parts of it. The images or other third party material in this article are included in the article’s Creative Commons licence, unless indicated otherwise in a credit line to the material. If material is not included in the article’s Creative Commons licence and your intended use is not permitted by statutory regulation or exceeds the permitted use, you will need to obtain permission directly from the copyright holder. To view a copy of this licence, visit http://creativecommons.org/licenses/by-nc-nd/4.0/.
About this article
Cite this article
Shao, K., Wu, H. Effect of EGR coupled fuel injection parameters on combustion and emissions. Sci Rep 16, 3654 (2026). https://doi.org/10.1038/s41598-025-33858-y
Received:
Accepted:
Published:
Version of record:
DOI: https://doi.org/10.1038/s41598-025-33858-y








