Fig. 5

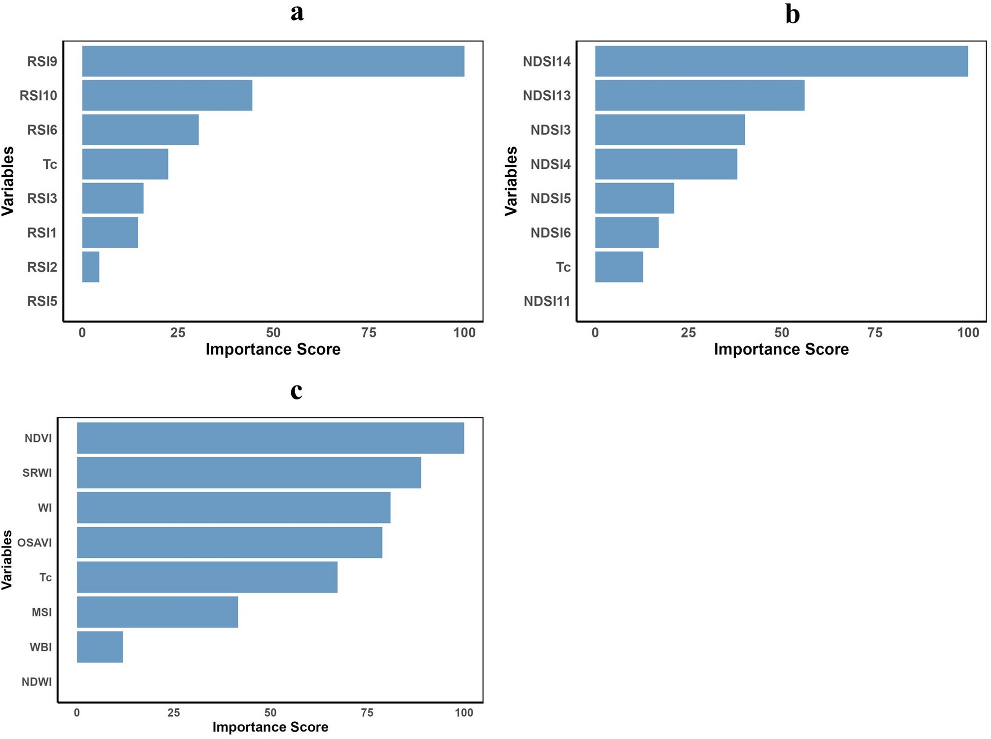
Shows the PMC model testing variable importance for the RF, index, and Tc model, where a-c is the ratio stress index, the normalized drought stress index, and the published vegetation indices, respectively.

Shows the PMC model testing variable importance for the RF, index, and Tc model, where a-c is the ratio stress index, the normalized drought stress index, and the published vegetation indices, respectively.