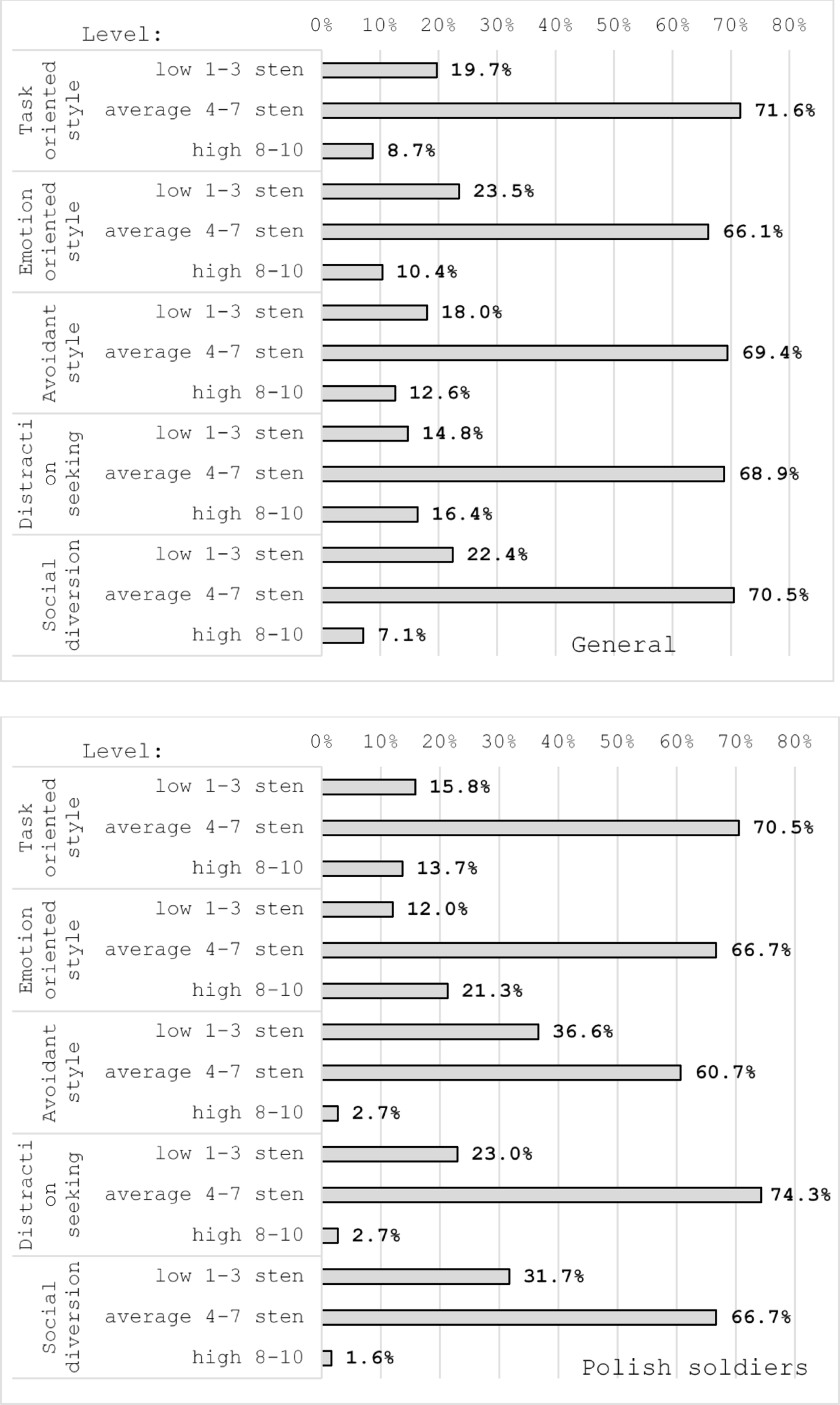
Fig. 1

Distributions of standardized levels of coping styles with general population as a baseline and with the population of Polish soldiers as a baseline. The figure is divided into two parts. The first refers to the general population, the second to the soldiers.