Abstract
Uniformed personnel forms a unique occupational group involving specific tensions in the working environment. The current study evaluates the levels of perceived stress, coping strategies, satisfaction with life and hierarchy of values in the group of 183 uniformed personnel members treated in a mental health clinic and diagnosed with bodily distress disorder or post-traumatic stress disorder. The proportion of participants with elevated level of perceived stress was high. Emotion-oriented coping was the most used approach. Successful family life and good health were particularly valuable for participants. Satisfaction with life was not significantly lower than in the general population. The profile of stress, coping and the values can form a preliminary basis for approaching this specific group of patients when in treatment.
Introduction
Uniformed personnel forms a unique occupational group. This occupational activity involves higher exposure to primary and secondary trauma1. Tensions surrounding common tasks need specific coping strategies2. The personnel is in the situation of increased risk of developing mental disorders owing to the stressful working environment3. For example, the study concluded on a sample of nondeployed soldiers in the US army revealed 25.1% of respondents meeting criteria for any 30-day disorder and 11.1% for multiple disorders4. Specific psychological models are developed in order to train appropriate coping5,6.
Coping is a set of cognitive behaviors and processes that is an intermediate agent between events causing stress and the stress consequences. A coping style is a set of typical ways of confronting a stressful situations in order to dealing with them7. According to Endler8 there are three basic coping styles: task-oriented, emotion-oriented, and avoidance-oriented. Task-oriented coping involves efforts aimed at solving the current problem. Emotion-oriented coping consists of emotional reactions to the stressful situation. Avoidance-oriented coping entails behaviours and cognitions aimed at avoiding the stressful situation. It can be either being involved in distraction or in social diversion. Endler describes task-oriented coping as most efficacious in situations allowing for control to be exerted. Emotion-oriented coping can be more effective in uncontrollable situations. Avoidance-oriented coping only initially may be appropriate as a reaction to stress. Task-oriented coping is most efficacious in the long run. The intensity of coping styles, the regular cognitions and behaviors of responding to stressful events affect both the level of the stress perceived, anxiety, somatic complaints and in the long run—satisfaction with life.
Perceived stress is a concept of measuring the stress level from subjective point of view9. The same situation can be assessed as more or less stressful depending on a person, because it can be perceived as more or less unpredictable, uncontrollable or overloading. The high level of perceived stress can be associated with cortisol hyporeactivity and lead to stress-related health risks10.
Satisfaction with life refers to cognitive, judgmental process of assessing one’s life quality and since it is different from positive and negative affect11. It is also a concept referring to subjective point of view, because the assessment needs comparing to an appropriate standard that people set for themselves. Obviously, health, energy and prosperity can be desirable for majority. However, there individual differences regarding the importance of such values. Therefore, depending on the values hierarchy one can assess the life quality as satisfying or not even if from external point of view one’s situation is similar. Values are set of personal needs, endeavours, desires and aspirations forming an organization of beliefs regarding preferable ways of behaving, proceeding but also final states of existence12. This organization implies a continuum of relative importance. The relative importance of values have a regulatory effect on one’s behavior, cognition and affect and shape attitudes. The higher the rank of a value in a hierarchy, the greater the impact on the functioning of an individual.
One of the consequences of chronic stress or strain can be developing bodily distress disorder (6C20), which is characterised by the presence of bodily symptoms that are distressing and drawing excessive attention to their nature and progression. These symptoms are persistent, i.e. are present on most days. The problem lasts for at least several months. Multiple bodily symptoms are experienced. However, they may vary over time. It is also possible that there is a single symptom, usually a pain or fatigue. The symptoms, the associated distress and paying close attention to both have impact on the individual’s functioning. Another mental disorder associated with being a member of uniformed personnel is a post-traumatic stress disorder (6B40) that develops following exposure to an extremely threatening or horrific events13. It is characterised by re-experiencing the traumatic events in the form of vivid persistent memories, flashbacks, or nightmares, usually with strong or overwhelming emotions and even physical sensations. Another cluster of symptoms is characterised by avoidance of thoughts and memories of the events, which leads to avoidance of activities, situations, or people who can remind of the traumatic events. Also, persistent perceptions of heightened current threat is present. The symptoms of PTSD last for at least several weeks and cause impairment in one’s functioning.
In the current paper we investigate the levels of coping styles, hierarchy of values, perceived stress and satisfaction with life. In the descriptive comparative research we conducted we examined members of uniformed personnel, current or former, diagnosed with bodily distress disorder or post-traumatic stress disorder and treated in a mental health clinic. We examined the levels of all variables of our interest using psychometric norms developed for general populations, but also comparing the results from our study with results of other studies. The use of psychometric norms let us study the distributions of variables with the use of low, medium and high categories referring to general population. The comparison with other studies let us compare the levels of the variables in our current study with other groups.
We believe the information regarding the levels and distributions of coping styles, hierarchy of values, perceived stress and satisfaction with life can be valuable for better understanding of the uniformed personnel members functioning. We also believe the conclusions can allow for improving the treatment applied, especially, in the initial phase. Since coping styles are related to perceived stress and chronic stress is related to satisfaction with life. It is worth knowing what are the distribution of all three in the clinical sample to be treated. The hierarchy of values which affects cognitions, emotions and behaviours is also important for better understanding and creating better relationships with patients leading to better compliance in the course of treatment. Depending on the situation the hierarchy of values may also be important for the level of perceived stress, the level of satisfaction with life and for the coping involved.
Results
Coping styles
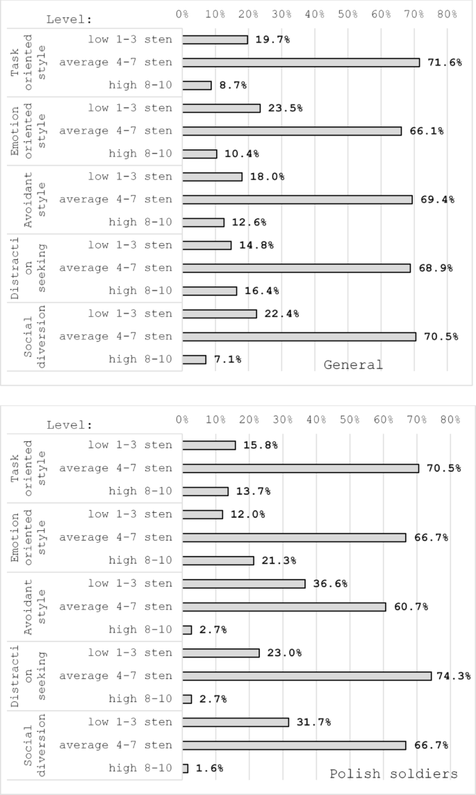
Figure 1 depicts distributions of standardized levels of coping styles if norms from general population was used as a baseline for transformation and if norms from the population of Polish soldiers was used as a baseline for transformation.
Distributions of standardized levels of coping styles with general population as a baseline and with the population of Polish soldiers as a baseline. The figure is divided into two parts. The first refers to the general population, the second to the soldiers.
When using the general population as a baseline most participants were characterised by average intensity of all coping styles. However, the proportions of patients with low level of task-oriented style, emotion-oriented style, avoidant style and social diversion were higher than proportions of patients with high levels of these coping styles.
When using the population of Polish soldiers as a baseline most participants were also characterised by average intensity of all coping styles. However, the proportion of patients with high level of emotion-oriented coping style was smaller than proportion of patients with low level of emotion-oriented coping. Also, the proportions of patients with low level of avoidant style of coping, patients with low level of distraction seeking and patients with low level of social diversion were higher than proportions of patients with high level of these coping styles.
The raw scores for the levels of coping styles acquired in the current study were compared with the raw scores acquired in the study performed on a sample of medical doctors working in the hospital emergency department in the time of the COVID-19 pandemic14, in the study performed on a sample of bank employees15 and in the study performed on a sample of patients with high risk of developing psychosis16. The results with the values of statistical significance from one-sample t test and Cohen’s d effect size measure are depicted in Table 1.
The level of task-oriented coping in the current sample was significantly lower than in the group of bank employees. The size of this effect was medium. The level of emotion-oriented coping in the current sample was significantly higher than in the group of medical doctors working in the hospital emergency department in the time of the COVID-19 pandemic and significantly lower than in the group of patients with high risk of developing psychosis. The effect size of both effects was small. The level of avoidant coping in the current sample was significantly higher than in the group of patients with high risk of developing psychosis. The effect size of this difference was medium.
Perceived stress and satisfaction with life
Figure 2 depicts distributions of standardized levels of perceived stress and satisfaction with life with norms from general population was used as a baseline for transformation.
Distributions of standardized levels of perceived stress and satisfaction with life based on the scores from general population.
Most participants were characterised by average level of perceived stress. However, the proportion of participants with high level of perceived stress was high level of perceived stress was higher than proportion of participants with low level of stress. Most participants were characterised by average level of satisfaction with life.
The raw scores for perceived stress acquired in the current study were compared with the raw scores acquired in the study performed on a sample of medical doctors working in the hospital emergency department in the time of the COVID-19 pandemic14, with the raw scores acquired in the study performed on a group of patients after hospitalization due to COVID-1917 and in the study performed on a group of fifth year dental students18. The raw scores for satisfaction with life acquired in the current study were compared with the raw scores acquired in the study performed on a group from the general population19, with the raw scores from the group of students19, and with the raw scores from the group of dialysis patients19. The results with the values of statistical significance from one-sample t test and Cohen’s d effect size measure are depicted in Exhibit 2.
The level of perceived stress in the current sample was significantly lower than in the group of patients after hospitalization due to COVID-19 and in the group of fifth year dental students. The difference between the current sample and the group of patients after hospitalization due to COVID-19 was small and the difference between the current sample and the group of dental students was medium. The satisfaction with life in the current sample was significantly higher than in the group of medical doctors working in the hospital emergency department in the time of the COVID-19 pandemic and significantly lower than in the group of dialysis patients. However, the effect size of this effects was small. The differences between the current sample and general population and between the current sample and students regarding satisfaction with life were statistically insignificant.
Personal values
The indicators of hierarchy for the symbols of happiness and personal values acquired in the current study were compared with the raw scores acquired in the study performed on a normalization sample19, and in the study performed on a sample of nurses, both females and males20. The results with the values of statistical significance from one-sample t test and Cohen’s d effect size measure are depicted in Table 2.
Doing favourite job and success in studies or work were significantly less valued symbols of happiness in the current sample than in the two comparative groups. Successful family life and good health were more valued in the current sample than in the normalization group. A large circle of friends, to be needed by other people, good financial conditions and fame were significantly lower valued in the current sample than in the normalization group. Life full of adventure and travel was valued lower than in the normalization group, but higher than in the group of nurses. Regarding personal values love and friendship and good health were more valued in the current sample than in the normalization group, but less valued in the current sample than in the group of nurses. Sense of humour and kindness were less valued than in the normalization group, but more valued than in the group of nurses. Knowledge and wisdom, courage and firmness and wealth and possessions were less valued in the current sample than in the two comparative groups. Intelligence and nice appearance were less valued in the current sample than in the normalization group.
Discussion
The group of uniformed personnel examined in the current study consists of high proportion of participants with elevated level of perceived stress. Specifically, the level of stress in the current sample was close to the level of stress in the group medical staff of the hospital emergency department in the time of the COVID-19 pandemic14. At the same time the proportions of participants with low levels of the three main coping styles, i.e. task-oriented coping, emotion-oriented coping and avoidant coping are higher than the proportions of participants with high levels of each of these styles respectively. It may be that in the case of high level of stress the coping strategies are withdrawn, because they all seem ineffective. When using the norms developed on the group of Polish soldiers the proportion of participants with high level of emotion-oriented coping is higher than the proportion of participants with low level of emotion-oriented coping and the proportion of participants with low level of avoidant coping is higher than the proportion of participants with high level of avoidant coping. Also, emotion-oriented coping was higher in the current sample than in the group of doctors, but lower than in the group of patients with high risk of developing psychosis. The pattern of the differences suggests that if anything is applied to cope with the high level of stress it is coping focused on emotions. The level of this coping in majority of participants is lower than in the general population. However, it seems that demanding circumstances of work of uniformed personnel needs more. Hence the higher level of emotion-oriented coping in the current sample than in the group of soldiers or medical doctors. Also, the avoidant coping, specifically social diversion can be helpful, because it relies on social support. However, in the current sample high proportion of participants was characterised by low level of this way of coping. The group of medical staff of the hospital emergency department in the time of the COVID-19 pandemic14 was characterized by high prevalence of low level of emotion oriented coping and avoidance oriented-coping. The group of bank employees was characterized by higher level of task-oriented coping than the current sample15. The level of task-oriented coping in the current sample was close to the level of task-oriented coping in the group of patients with high risk of developing psychosis16.
Satisfaction with life is usually lower in the clinical groups affected by mental health problems21. However, it was not the case in the current sample. The levels of satisfaction with life in the group of participants from the general population, the group of students and the group of dialysis patients19 were all similar to the level of life satisfaction of the uniformed personnel sample we examined. Perhaps, the participants in the current study are not much affected by the problems they face yet and if so, it would also foster changes and recovering. In this context taking the hierarchy of values of patients into account may be helpful. Successful family life and good health were rated as particularly valuable in the current sample. The values related to job and work success, financial situation and pleasure deemed less important. In the sample of medical nurses20 successful family life, good health, physical and mental fitness, doing favourite job or profession love and friendship were most important.
Conclusions
For clarity we divide the conclusions in our study into conclusions for practice and for future research recognizing that they are not mutually exclusive.
For practice:
-
1.
A significant group of participants in the current study was characterized by elevated level of perceived stress. When approaching patients from the group of uniformed personnel in clinical practice it is recommended to measure the level of perceived stress at the very beginning and during the course of treatment and apply the evidence based methods that can effectively change the way the stress is perceived.
-
2.
The profile of coping styles and strategies needs to be measured in a clinical practice with focus on emotion-oriented coping. Stress management training should be considered as a method of treatment depending on profiles of individual patients.
-
3.
Taking hierarchy of personal values into account can foster better quality of working alliance with patients. Successful family life and good health were rated as particularly valuable in the current sample in general. However, individual differences should be taken into consideration.
For future research:
-
1.
The level of perceived stress in a significant group of participants was elevated. Therefore, future research should focus on factors that may influence increased stress levels.
-
2.
The role of coping focused on emotions a significant way of coping in the group of our study needs further investigation including determining the factors contributing to it and possible methods of changing the coping style acquired in the course of one’s life.
-
3.
Possible changes regarding satisfaction with life should be investigated in future longitudinal studies. In the current study we did not find it to be low. However, our study was cross-sectional and therefore limited regarding the reliability of this result.
Methods
The sample consisted of 183 participants aged 30–66 (M = 44.72; SD = 5.84), 149 males aged 33–57 (M = 44.21; SD = 4.99) and 34 females aged 30–66 (M = 46.94; SD = 8.38). Out of 183 participants 89 patients (48.6%) completed secondary education and 94 patients (51.4%) completed higher education. The participants were all uniformed personnel members treated in a mental health clinic and undergoing outpatient treatment. The patients who participated were diagnosed with bodily distress disorder (6C20) or post-traumatic stress disorder (6B40). The duration of therapy is 5 to 6 weeks. All completed four questionnaires at the same time point. The order of questionnaires was CISS, SWLS, PSS-10 and Juczynski’ Personal Value List. The surveys were ordered by the Hospital of the Ministry of Interior and Administration in Krakow for the day psychotherapy ward, where the study was conducted. Data collection was performed by a qualified psychologist working in the entity. The study obtained the consent of the bioethics committee, the consent of the director of the medical facility to conduct the study on its premises, and informed written consents of patients, which, together with the questionnaires, are kept in the archives of the Hospital of the Ministry of Interior and Administration in Krakow. We confirm that all research was performed in accordance with relevant guidelines and the Declaration of Helsinki.
Coping styles were assessed with the Polish version22 of the Coping Inventory for Stressful Situations (CISS) originally developed by Endler and Parker23. The inventory is based on 48 diagnostic items and measures three types of coping: emotion-oriented, task oriented, and avoidant. The avoidant style has two subscales: distraction and social diversion. Cronbach α values in the current study were equal to 0.88 for task-oriented coping, 0.91 for emotion-oriented coping, 0.83 for avoidant coping, 0.76 for distraction and 0.76 for social diversion.
PSS-10 (Perceived Stress Scale) questionnaire24 was used for measuring perceived stress intensity. It consists of 10 questions, each scored from 0 to 4. Four items need to be reversed before calculating the total score. The sum of scores for the items falls within the range 0–40 points. The higher the score the higher level of perceived stress. The reliability of the measurement with the use of PSS-10 in terms of Cronbach’s α coefficient in the current study was equal to 0.88.
SWLS (Satisfaction with Life Scale) questionnaire was used for measuring life satisfaction19. This questionnaire consists of 5 questions, each scored from 1 to 7. The sum of scores for the answers gives the total score within the range 5–35 points. The higher the score the higher level of life satisfaction. The reliability of the measurement with the use of SWLS in the current study was equal to α = 0.76.
Juczynski’ Personal Value List19 was used to assess the personal values hierarchy. The questionnaire consists of two parts. The first part lists nine so-called symbols of happiness expressing various forms of human values actualization, like a large circle of friends, good financial conditions or fame and popularity. The second part lists ten categories of personal values including good health, but also sense of humour, wealth and possessions or knowledge and wisdom. The questionnaires measures the importance ascribed to the symbols of happiness and values. Out of nine symbols of happiness each participant chooses five and then gives them scores ranging from 5 – the most important symbol to 1 – the least important symbol. The same procedure is applied next to the personal values. As a result a hierarchy of both happiness symbols and personal values can be assessed both in terms of mean position of each symbol and value and in terms of a symbol and a value being chosen or not. The reliability of the questionnaire was verified by the author of polish translation with the use of repeated measurement. The correlation coefficients between the first measurement and the measurement after two days were equal to 0.78 for the first part of the questionnaire and to 0.76 for the second part. After six weeks they were equal to 0.72 and to 0.62 respectively.
The scores acquired with the use of CISS, PSS-10 and SWLS inventories were next transformed into standardized sten scores with the use of psychometric norms. This scale is in frequent use in psychometry. It allows for fairly precise measurement as it is based on ten distinctive values. The norms for CISS questionnaires were developed by the authors of polish translation depending on the participants’ age divided into three age groups, i.e. 16–24, 25–54 and 55–79 for both females and males. Out of these three age intervals only the last two were used, since the youngest participants in the current study were 30 years old. Also, a separate sten norms for soldiers was developed. We have used it in the current study as well.
Similarly, PSS-10 scores were transformed into standardized sten scores with the use of norms provided by the authors of the Polish adaptation for the general adult population. The same transformation was also applied to the scores acquired by SWLS questionnaire. The norms were developed by the author of the Polish adaptation on a sample of 555 adults from the general population.
The standardized sten scores acquired for CISS, SWLS and PSS-10 questionnaire were next divided into three intervals, i.e. the interval from the 1st to the 3rd sten which was interpreted as an interval containing low values, the interval from the 4th to the 7th sten interpreted as the average values typical for the population and the interval from 8th to the 10th sten interpreted as untypical high values. In general population the normal distribution is expected. Therefore, the proportion of participants with average values should be majority. The proportions of participants with either low or high values should be equal to each other and smaller than the proportion of participants with average. The examination of the distribution acquired let us characterize the levels of the variables measured in the current sample. We used also raw scores without transforming into norms when comparing the results of the current study with the results of other authors. We assessed the statistical significance of the differences with the use of one-sample t test and calculated Cohen’s d effect size measure. The comparative groups filled up Polish versions of the questionnaires, so that all of the differences detected could be attributable to the differences between groups and not between translations.
When analysing the results acquired by Juczynski’ Personal Value List we compared the mean values for the symbols of happiness and for personal values with the mean values acquired by the author of polish adaptation. The same type of analysis, i.e. one-sample t test Cohen’s d measure for assessing the effect sizes, was applied to raw scores acquired with the use of for CISS, SWLS and PSS-10 questionnaires and to the scores acquired by Juczynski’ Personal Value List. The scores acquired by CISS, SWLS and PSS-10 questionnaires were also transformed into standardized sten norms for examining their distribution. Cohen’s d effect size measure was interpreted following the guidelines provided by the author25, i.e. small (d = 0.2), medium (d = 0.5), and large (d = 0.8). All calculations were performed with the use of IBM SPSS Statistics software ver. 30.0.
Data availability
Data are available at the authors. If someone wants to request the data from this study please contact corresponding author: Aleksandra Czerw, e-mail: aleksandra.czerw@wum.edu.pl.
References
Leighton, J. & Lopez, K. J. & Labor depletion, and disconnection: Leisure as restoration for uniformed public safety personnel. Leisure Sci. https://doi.org/10.1080/01490400.2025.2465741 (2025).
Olivar, L. S. et al. Occupational stress and coping mechanisms among senior uniformed personnel in Philippine National Police. Int. J. Multidisciplinary: Appl. Bus. Educ. Res. 5 (5), 1623–1629. https://doi.org/10.11594/ijmaber.05.05.14 (2024).
Lee, S. et al. Investigating the effect of mindfulness training for stress management in military training: the relationship between the autonomic nervous system and emotional regulation. BMC Psychol. 13 (1), 13. https://doi.org/10.1186/s40359-024-02322-3 (2025).
Kessler, R. C. et al. Army STARRS Collaborators. Thirty-day prevalence of DSM-IV mental disorders among nondeployed soldiers in the US army: results from the army study to assess risk and resilience in servicemembers (Army STARRS). JAMA Psychiatry. 71 (5), 504–513. https://doi.org/10.1001/jamapsychiatry.2014.28 (2014).
Steingräber, A. M. et al. Contributions to operational psychology: psychological training model in the context of stress management for specialized German military Police personnel and specialized Police personnel. J. Police Criminal Psychol. 37, 146–154. https://doi.org/10.1007/s11896-021-09478-3 (2022).
Tannenbaum, K., Hurtado, S. L. & Yablonsky, A. M. Evaluation of a stress management course for shipboard sailors. Mil. Med. 188 (3–4), e503–e509. https://doi.org/10.1093/milmed/usab285 (2023).
Endler, N. S., Smelser, N. J. & Baltes, P. B. Coronary Heart Disease (CHD). In: (eds Smelser, N. J. & Baltes, P. B.) International Encyclopedia of the Social & Behavioral Sciences. Pergamon, 2770–2773 (2001). https://doi.org/10.1016/B0-08-043076-7/03811-0
Endler, N. S. Stress, anxiety and coping: the multidimensional interaction model. Can. Psychol. / Psychologie Canadienne. 38 (3), 136–153. https://doi.org/10.1037/0708-5591.38.3.136 (1997).
Cohen, S., Kamarck, T. & Mermelstein, R. A global measure of perceived stress. J. Health Soc. Behav. 24, 385–396 (1983).
Creswell, D. et al. Does high perceived stress over the past month alter cortisol reactivity to the Trier social stress test? Psychoneuroendocrinology. https://doi.org/10.1016/j.psyneuen.2024.107256 (2025).
Diener, E., Emmons, R. A., Larsen, R. J. & Griffin, S. Development of the satisfaction with life scale. J. Pers. Assess. 49 (1), 71–75 (1985).
Juczynski, Z. Health in the hierarchy of personal values of children and youth. Pedagogika Rodziny. https://doi.org/10.2478/fampe-2014-0007 (2014).
Hruby, A., Lieberman, H. R. & Smith, T. J. Symptoms of depression, anxiety, and post-traumatic stress disorder and their relationship to health-related behaviors in over 12,000 US military personnel: Bi-directional associations. J. Affect. Disord. 283, 84–93 (2021). . https://doi.org/10.1016/j.jad.2021.01.029
Derezińska, A. et al. Stress of the Polish medical staff of the hospital emergency department in the time of the COVID-19 pandemic. Pomeranian J. Life Sci. 70 (3), 50–58. https://doi.org/10.21164/pomjlifesci.982 (2024).
Więsyk, S. M. & Płudowska, M. The mediating role of coping styles in the relations between temperament traits and occupational burnout in bank employees. Med. Studies/Studia Medyczne. 38 (1), 59–67. https://doi.org/10.5114/ms.2022.115148 (2022).
Rek-Owodziń, K. et al. The comparison of the coping styles between patients in ultra - high risk for psychosis state, first episode of psychosis and chronic schizophrenia. Archives Psychiatry Psychother. 26 (1), 7–15. https://doi.org/10.12740/APP/162950 (2024).
Marchewka, W. et al. Assessment of stress load and its causes among dental students. Psychiatria Polska [Polish Psychiatry. 56 (5), 979–990. https://doi.org/10.12740/PP/140368 (2022).
Juczynski, Z., Kwiecińska, L. & Ogińska-Bulik, J. Ruminations as predictors of post-traumatic stress disorder after hospitalization for Covid-19. Psychiatria Polska [ Pol. Psychiatry]. 57 (5), 1011–1022. https://doi.org/10.12740/PP/152817 (2023).
Juczynski, Z. NPPPZ – Narzędzia Pomiaru W Promocji I Psychologii Zdrowia [Measures in Health Psychology] (Pracownia Testów Psychologicznych Polskiego Towarzystwa Psychologicznego, 2012).
Deluga, A. et al. The significance of health in the hierarchy of personal values among nurses. Med. Stud. /Studia Medyczne. 34 (1), 64–69. https://doi.org/10.5114/ms.2018.74822 (2018).
Fergusson, D. M. et al. Life satisfaction and mental health problems (18 to 35 years). Psychol. Med. 45 (11), 2427–2436. https://doi.org/10.1017/S0033291715000422 (2015).
Strelau, J., Jaworowska, A. & Wrześniewski, K. Szczepaniak, P. CISS – Coping in Stressful Situations. Manual (Warsaw, 2005).
Endler, N. S. & Parker, J. D. A. Multidimensional assessment of coping: A critical evaluation. J. Personal. Soc. Psychol. 58 (5), 844–854 (1990).
Juczynski, Z. & Oginska-Bulik, N. Tools for Measuring Stress and Coping with Stress (Pracownia Testów Psychologicznych, 2009).
Cohen, J. Statistical Power Analysis for the Behavioral Sciences 2nd edn (Lawrence Erlbaum Associates, 1988).
Funding
This research received no external funding.
Author information
Authors and Affiliations
Contributions
M.C., M.Z., Marcin Mikos - conceptualization, M.C., M.M., Michał M. Ł.S., A.C. - methodology., L.T., J.I., I.G. - investigation, Magdalena K., E.G., D. W-C. - data curation, A.M.C., D.S-M – preparation of Figs. 1 and 2 and E.B., W.C. – preparation of Tables 3 and 4, J.D., P.P. – statistical analysis, O.P., M.P., M.K., I. W. - writing—original draft preparation, Z.S., G.D., K.S., P.W-B., O.P., M.P. - writing—review and editing; R.K., P.I., A.C - supervision. All authors reviewed the manuscript.
Corresponding author
Ethics declarations
Competing interests
The authors declare no competing interests.
Ethical approval
Bioethics Committee of Medical University of Warsaw (AKBE/46/2024 of 5.02.2024).
Informed consent
Informed written consent was obtained from all subjects involved in the study.
Data transparency statement
The data reported in this manuscript have not been previously published or is under submission to another journal. The database was collected and created solely for the purpose of this publication and is not publicly available.
Additional information
Publisher’s note
Springer Nature remains neutral with regard to jurisdictional claims in published maps and institutional affiliations.
Rights and permissions
Open Access This article is licensed under a Creative Commons Attribution-NonCommercial-NoDerivatives 4.0 International License, which permits any non-commercial use, sharing, distribution and reproduction in any medium or format, as long as you give appropriate credit to the original author(s) and the source, provide a link to the Creative Commons licence, and indicate if you modified the licensed material. You do not have permission under this licence to share adapted material derived from this article or parts of it. The images or other third party material in this article are included in the article’s Creative Commons licence, unless indicated otherwise in a credit line to the material. If material is not included in the article’s Creative Commons licence and your intended use is not permitted by statutory regulation or exceeds the permitted use, you will need to obtain permission directly from the copyright holder. To view a copy of this licence, visit http://creativecommons.org/licenses/by-nc-nd/4.0/.
About this article
Cite this article
Curyło, M., Zabojszcz, M., Tkaczyk, L. et al. Coping strategies, hierarchy of values, perceived stress and satisfaction with life in the group of uniformed personnel treated in mental health clinic. Sci Rep 16, 3831 (2026). https://doi.org/10.1038/s41598-025-33912-9
Received:
Accepted:
Published:
Version of record:
DOI: https://doi.org/10.1038/s41598-025-33912-9

