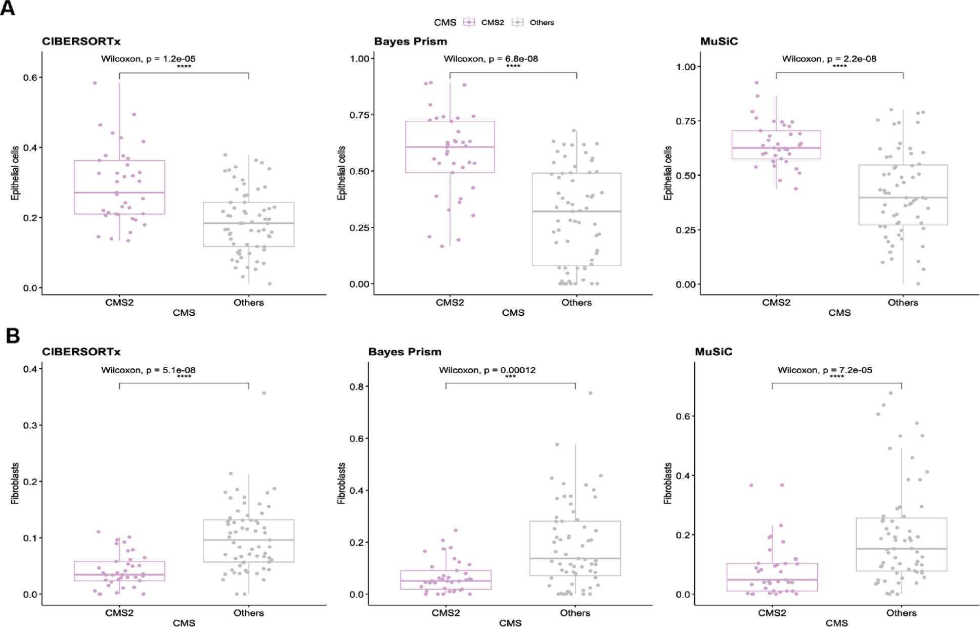
Fig. 3

A-B Statistical comparison of cell type proportions in CMS2 versus others;. Cell populations consistently identified across all three methods (BayesPrism, CIBERSORTx, and MuSiC) as significantly enriched or depleted in CMS2 compared to other CMS subtypes.