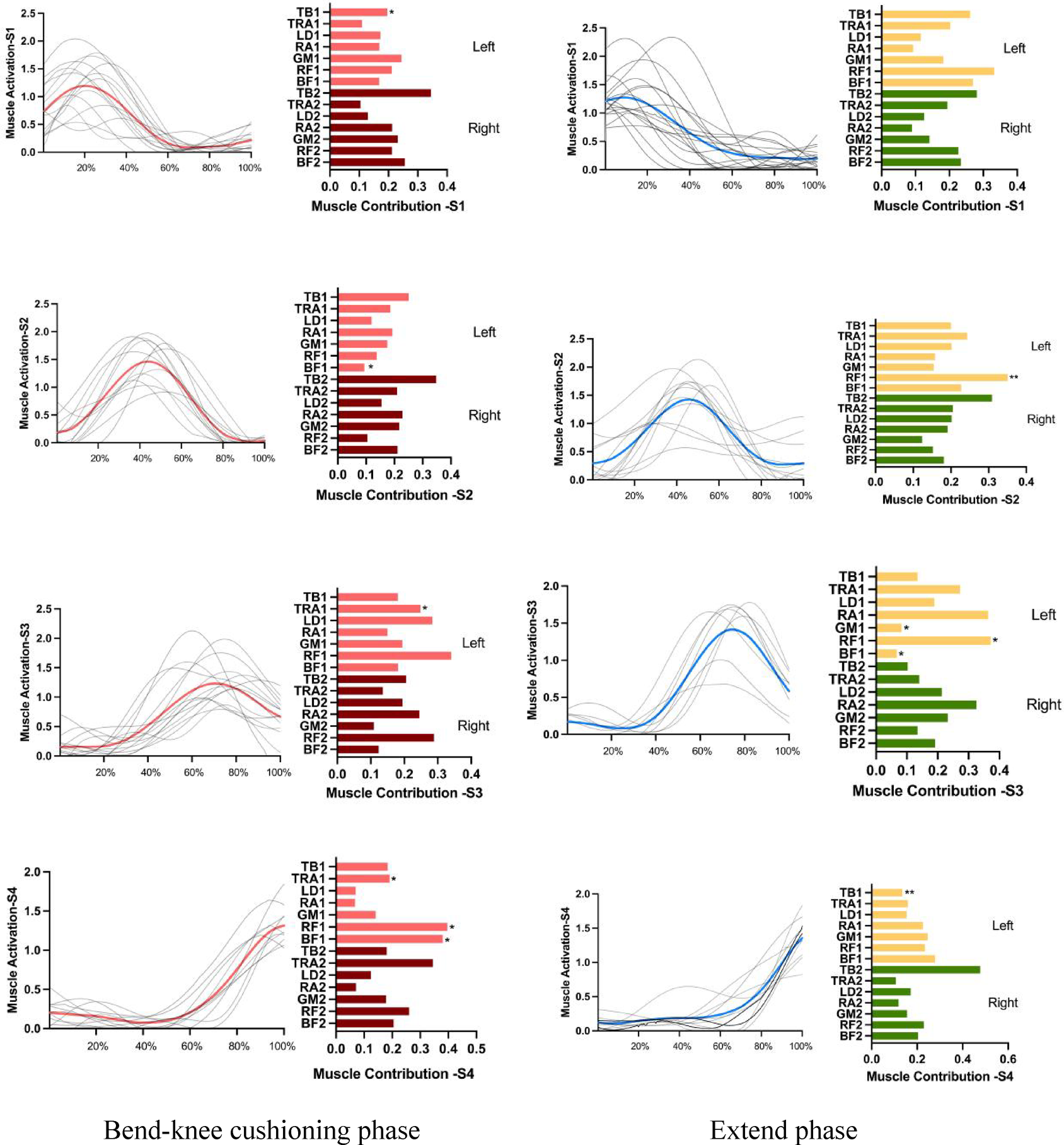
Fig. 3
From: Muscle synergy characteristics of pumping in Chinese elite windsurfers

Muscle contribution ((Normalized EMG, % of peak)) and muscle activation (Normalized EMG, % of peak) of four synergies for the bent-knee cushioning phase and extend phase during pumping. The mean activation profile across all athletes for each synergy is depicted by a thick colored line; the individual activation profiles from all trials are overlaid as thin gray lines. TB triceps brachii, TRA trapezius, LD latissimus dorsi, RA rectus abdominis, GM gluteus maximus, RF rectus femoris, BF biceps femoris. 1 and 2 represent left and right muscles, respectively. *Indicates a significant difference between the left and right muscles in the synergy.