Abstract
The functional roles of different muscle synergies can be defined through their correlation with biomechanical parameters, making this approach widely applicable in sports science. Muscle synergy analysis has demonstrated unique value in developing specialized skill training. This study aimed to investigate muscle synergy characteristics during pumping in elite windsurfers. Eight elite athletes were recruited to perform 30-s on-shore pumping trials on a windsurfing simulator. Muscle activity was recorded using a 16-channel wireless surface electromyography system (Myon, Cometa, Italy). Non-negative matrix factorization was applied to extract muscle synergy contributions and activation patterns across two pumping phases. Four muscle synergies (S1–S4) were consistently identified across both pumping phases. Phase-specific lateral asymmetries were observed in muscle contributions: the bent-knee phase showed significant left–right differences in triceps brachii (TB), biceps femoris (BF), trapezius (TRA), and rectus femoris (RF) (p < 0.05), while the extended phase exhibited asymmetries in TB, gluteus maximus (GM), RF, and BF (p < 0.05). Activation analysis revealed S2 maintained the highest activation level in both phases (S2 > S3 > S1 > S4, p < 0.05), with no significant differences in overall synergy patterns between phases (p > 0.05), indicating similar neuromuscular coordination strategies despite kinematic differences. This study reveals that elite windsurfers employ four consistent muscle synergies during pumping, with phase-specific lateral asymmetries in muscle contributions and a stable activation hierarchy (S2 > S3 > S1 > S4). These findings provide actionable insights for targeted training, emphasizing unilateral coordination drills and S2 synergy development to optimize pumping performance.
Introduction
Windsurfing is a wind-propelled competitive sport where athletes enhance board speed through pumping—a rhythmic sail manipulation technique that converts the sail into an airfoil1,2. This maneuver proves critical in light-to-moderate winds, particularly during starts, sprints, and overtaking3,4. Its performance hinges on efficient interlimb coordination5, yet current coaching methods rely primarily on video analysis6,7, which lacks sensitivity to detect subtle neuromuscular adaptations.
Muscle synergy analysis offers a more sophisticated approach to understanding movement coordination. The concept originates from Bernstein’s8 theory that the nervous system simplifies movement control through coordinated muscle groupings rather than individual muscle activation. This theory was later empirically validated through animal experiments by Bizzi and colleagues9, leading to the modern understanding of muscle synergies as fundamental building blocks of movement10. Each synergy represents a specific pattern of co-activated muscles that can be flexibly combined to produce complex movements11. These synergies reflect the nervous system’s strategy for efficient motor control and are shaped by sport-specific training adaptations12,13. While muscle synergy analysis has been successfully applied to various sports including running14, badminton15, rowing16, archery17, gymnastics18, swimming19 and pedaling20, it has not yet been employed to study windsurfing techniques, despite the sport’s unique biomechanical demands.
Windsurfing presents unique neuromuscular challenges due to its unilateral stance and rhythmic, whole-body pumping motion. The athlete must maintain dynamic balance on a unstable board while generating propulsive forces through cyclic sail manipulation, which likely imposes distinct demands on bilateral coordination and proximal-to-distal muscle sequencing. These task-specific constraints may shape the organization of muscle synergies in ways that differ from symmetrical or stationary sports. Therefore, analyzing muscle synergies during pumping could reveal how the nervous system adapts to such asymmetrical, cyclic tasks, and provide insights into the sport-specific coordination strategies developed by elite athletes.
The current study utilizes non-negative matrix factorization (NNMF)21,22 to investigate muscle synergies during pumping in elite windsurfers. We specifically test two hypotheses: first, that four muscle synergies will account for over 90% of the variance in electromyographic (EMG) patterns across both pumping phases, consistent with findings from other cyclic sports14,16,19,20; and second, that significant asymmetries will exist between left and right side muscle contributions due to the unilateral stance characteristic of windsurfing. The results will provide the quantitative analysis of neuromuscular synergy in windsurfing pumping, offering coaches objective metrics to complement traditional video analysis and new insights for optimizing training protocols.
Materials and methods
Participants
Eight elite windsurfers (n = 8) from the Chinese national team were recruited to participate in the study (Table 1). Inclusion criteria: (a) Active members of the Chinese national windsurfing team; (b) At least 6 years of competitive windsurfing experience; (c) Free from any musculoskeletal injury of the lower limbs or back in the past 12 months; (d) Not involved in high-intensity competition or heavy training load within 1 week prior to testing. Exclusion criteria: (a) History of severe orthopedic or neurological disorders; (b) Recent limb injury affecting sail handling; (c) Inability to complete the 30-s pumping trial due to fatigue or discomfort.
A sensitivity analysis was conducted using G*Power 3.1. For a paired t-test comparing muscle contributions between phases (a paired t-test in G*Power is mathematically equivalent to a two-level repeated-measures ANOVA (F(1, n − 1) = t2) for the main phase effect.), with α = 0.05, effect size d = 1.2 (derived from pilot data on RF asymmetry), and power = 0.8, the required sample size was n = 7. Our sample (n = 8) exceeded this threshold. However, for smaller effects (d < 0.9), post-hoc power dropped to 0.65–0.72, indicating that the study is adequately powered only for large effect sizes—a common limitation in elite athlete research. Informed consent was obtained from all participants, All participants were informed of the possible risks and discomfort associated with the experimental procedure. The Ethics Committee of the Capital University of Physical Education and Sports approved this study (Approval No.2023A038), and all experimentation was conducted by the Declaration of Helsinki (1964).
Instruments
A 16-channel wireless surface EMG device23 (Myon, Cometa, Italy) with a sampling frequency of 2000 Hz and 16-bit resolution was used to measure activity in 14 muscles We selected 14 muscles that 7 bilateral pairs: triceps brachii (TB), trapezius (TRA), latissimus dorsi (LD), rectus abdominis (RA), gluteus maximus (GM), rectus femoris (RF), biceps femoris (BF) based on their established roles in sail propulsion and kinetic chain transfer, which are considered as the critical muscles for pumping. The skin was rubbed with alcohol, and hair was removed to minimize impedance before the electrodes were placed. Each electrode was placed according to the recommendations of CISE (Cram’s introduction to surface electromyography)24,25. Two self-adhesive foams have been bonded together by the manufacturer, forming a tight seal around the latch. The EMG sensors were attached at the most elevated point in the middle of the muscle belly of the selected muscles, and to prevent the electrodes from slipping off during the test, the tester used a muscle patch or white tape to secure the EMG sensors.
The video kinematic data were collected using two high-speed industrial cameras Z-CAM E2 with a sampling frequency of 200 Hz, and the aligned reference video was recorded using a video camera (EX-FH25, CASIO, Japan) with a sampling frequency of 50 Hz. Simultaneous recording of kinematic and EMG data using flash synchronization to delineate movement phases.
In this study, we divided the pumping into two phases based on the previous literature and the pumping characteristics26. Bent-knee cushioning phase: from the highest point of gravity center at the end of the last pumping to the lowest point of gravity center; Extend phase: from the lowest point to the highest point of gravity center (Fig. 1).
Experimental protocol
Subjects were experimented on a windsurfing ergometer27 (Shanghai Ironman, China) in an indoor gym (Fig. 2). The vertical and horizontal position of the mast is set to match the athletes’ usual position. The participants performed a 5-min warm-up (60% HRmax) on the bike, followed by a full-body dynamic stretching, The dynamic stretching protocol targeted major muscle groups involved in windsurfing (hip flexors, hamstrings, shoulders, and core), as follows: Leg Swings (front-back/side-to-side): 2 × 10 reps per leg, Walking lunges with torso rotation: 10 reps, high-knee skips: 10 m forward/backward, arm circles (progressing from small to large): 20 reps, standing windmills (hip hinge + rotation): 8 reps/side, then two short 15-s pumping sessions and a 5-min rest. Then, the surfers performed 30 s of starboard pumping and the average value of the 10th–12th times was selected for data analysis, this interval was chosen to allow data convergence to a steady state while preventing premature fatigue-related deviations.
Data analysis
EMG pre-processing
EMG signal pre-processing was implemented by MATLAB. First, the acquired raw EMG signals were band-pass filtered (10–500 Hz), full-wave rectified, and low-pass filtered (20 Hz) according to the recommendations from the International Society of Electrophysiology and Kinesiology28. And then, it was normalized for each muscle using the EMG maxima from the whole test. The processed data for each pumping cycle was time-normalized to 200 data points to eliminate time variability29. EMG amplitude was normalized for each muscle to the maximum value observed during the entire 30-s pumping trial (100% = peak trial EMG). We chose this task-specific normalization over maximal voluntary contractions (MVCs) for two primary reasons. First, obtaining reliable, truly maximal and isolated MVCs for all 14 muscles, particularly in elite athletes where coordination and prior fatigue are significant confounding factors, is challenging and may not reflect task-specific activation patterns. Second, the use of peak dynamic EMG within the task of interest is a well-established method in sports biomechanics for comparing relative muscle contributions across phases and participants, which aligns with the objectives of our synergy analysis.
Extraction of muscle synergies
Muscle synergies data were extracted through a custom script30 based on the non-negative matrix factorization (NNMF) method. Each pumping cycle was time-normalized to 200 points, with 100 points assigned to the bent-knee cushioning phase and 100 points to the extend phase. The 14 muscles (7 bilateral pairs) listed above were considered for the analysis. The preprocessed and time-normalized electromyographic (EMG) data were structured into a data matrix V ∈ Rm×n, where m = 14 is the number of muscles and n is the total number of normalized time points (i.e., 200 points/cycle × number of cycles). The matrix V was factorized using NNMF so that V ≈ VR = WH. Here, W ∈ Rm×r is the motor module matrix, containing the time-invariant muscle weightings that define the relative contribution of each muscle within a synergy. H ∈ Rr×n is the motor primitive matrix, containing the time-varying activation coefficients for each synergy across the movement cycle. The parameter r denotes the number of synergies, which is the minimum number required to satisfactorily reconstruct the original EMG signals. Together, W and H describe the set of muscle synergies underlying the task. The update rules for W and H are presented in Eq. (1).
Reconstruction quality was assessed by measuring the coefficient of determination between the original and reconstructed data (Vm×n and VR, respectively). The limit of convergence for each synergy was reached when a change in the calculated R2 was smaller than the 0.01% in the last 20 iterations, this means that the signal could not be better reconstructed under the amount of synergy31,32. This operation is first accomplished by setting the number of synergies to 1, and then, it was repeated by increasing the number of synergies each time, until a maximum of 10 synergies. The number 10 was chosen to be lower than the number of muscles, since extracting a number of synergies equal to the number of measured EMG activities would not reduce the dimensionality of the data. Specifically, 10 is the rounded 75% of 14, which is the number of considered muscles33. For each synergy, the factorization was repeated 10 times, each time creating new randomized initial matrices W and H, in order to avoid local minima. The solution with the highest R2 was then selected for each of the 10 synergies. R2 is presented in the Eq. (2).
To determine the minimum number of synergies needed to represent the original signals, a simple linear regression model was fitted to the curve of R2 values versus synergies, using all 10 synergies. The mean squared error between the curve and the linear interpolation was calculated. The first point in the R2-vs.-synergies curve was then removed, and the error between the new curve and its linear interpolation was recalculated. This process was repeated until only two points remained on the curve or the mean squared error dropped below 10−4. This approach aimed to identify the most linear part of the R2-vs.-synergies curve, under the assumption that adding more synergies beyond this point would not significantly improve reconstruction quality. The four synergies identified through this procedure were all classified as ‘fundamental synergies’. A synergy was considered ‘fundamental’ if its motor primitive (H) could be clustered with a distinct ‘principal shape’ extracted via NNMF, with a goodness-of-fit (R2) exceeding 25% of the average R2 across all such assignments. Primitives not meeting this clustering criterion were labelled ‘combined’; none of the four reported synergies fell into this category.
Metrics for comparison of muscle synergy characteristics
To evaluate the involvement of all muscles in the muscle synergy recruitment mode, we judged the weight of this muscle synergy in the whole recruitment mode. We calculated the average value of the structural elements of each muscle synergy and named Cwi as the muscle contribution of the muscle synergy; we also calculated the average value of the co-structure matrix named Cw; the equation is (3) and (4)34,35, in the equation, i = 1, 2, …, k, k is the number of muscle synergies, j = 1, 2, …, m, m is the number of selected muscles. Comparison of the differences of Cwi and Cw during the two phases of pumping.
The coefficient matrix H can reflect the overall activation strength of each muscle synergies, defining the activation strength of each muscle synergies as Chi as Eq. (5). In the Eq. (5), n = 1, 2, … N, N is the number of sampling points. We calculated the overall synergistic structure activation degree CH as Eq. (6) by averaging the activation strength of each muscle synergies.
Statistical analysis
All data were expressed as mean ± standard deviation (SD), Normality was verified using the Shapiro–Wilk test (Version 25.0, IBM Corp., Armonk, NY, USA; URL: https://www.ibm.com/products/spss-statistics). Primary analyses compared muscle synergies metrics between the two pumping phases (bent-knee cushioning vs. extension) within the same athletes. Given the repeated-measures design, paired-sample t-tests were used for phase-wise comparisons of overall contribution (CW) and overall activation (CH). For comparisons involving multiple factors (e.g., synergy × muscle × side), we employed repeated-measures ANOVA with within-subject factors: Phase (2 levels: bent-knee, extension), Synergy (4 levels: S1–S4), Side (2 levels: left, right), and Muscle (7 bilateral pairs). When sphericity was violated (Mauchly’s test p < 0.05), Greenhouse–Geisser corrections were applied. Post-hoc pairwise comparisons were performed using Bonferroni or Tamhane T2 corrections, depending on homogeneity of variance. Statistical significance was set at p ≤ 0.05. All analyses were conducted in SPSS 25.0 and R (Version 4.3.0; R Foundation for Statistical Computing, Vienna, Austria; URL: https://www.r-project.org/).
Results
Number of muscle synergies determined
The number of muscle synergies was determined by examining the variance accounted for (VAF, equivalent to R2). Extracting 4 synergies accounted for 93.5% ± 2.7% (mean ± SD across participants) of the total VAF in the bent-knee cushioning phase and 93.1% ± 2.8% in the extension phase, both exceeding the 90% threshold specified in our hypothesis, which was in line with the requirements of this experiment.
Muscle synergy element extraction results
Bent-knee cushioning phase
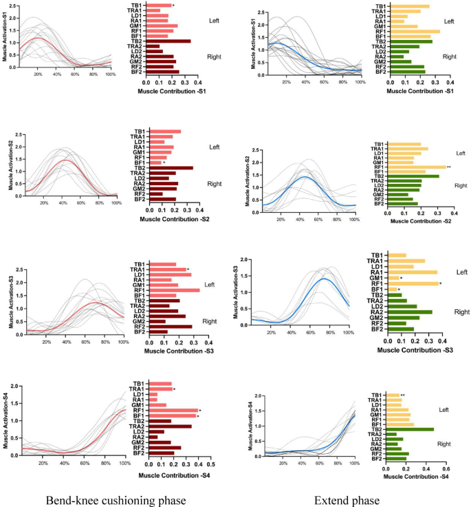
The structure of muscle synergies in the bent-knee cushioning phase is shown in Table 2 and Fig. 3, there was a significant difference between the left and right muscle contributions of the muscle synergies included TB (S1: TB1 = 0.196 ± 0.102, TB2 = 0.105 ± 0.021, P = 0.029), BF (S2: BF1 = 0.093 ± 0.023, BF2 = 0.216 ± 0.114, P = 0.035; S4: BF1 = 0.380 ± 0.128, BF2 = 0.205 ± 0.082, P = 0.038), TRA (S3: TRA1 = 0.248 ± 0.102, TRA2 = 0.136 ± 0.042; S4: TRA1 = 0.248 ± 0.102, TRA2 = 0.136 ± 0.142, P = 0.041), RF (S4: RF1 = 0.396 ± 0.128, RF2 = 0.261 ± 0.113, P = 0.035).
Muscle contribution ((Normalized EMG, % of peak)) and muscle activation (Normalized EMG, % of peak) of four synergies for the bent-knee cushioning phase and extend phase during pumping. The mean activation profile across all athletes for each synergy is depicted by a thick colored line; the individual activation profiles from all trials are overlaid as thin gray lines. TB triceps brachii, TRA trapezius, LD latissimus dorsi, RA rectus abdominis, GM gluteus maximus, RF rectus femoris, BF biceps femoris. 1 and 2 represent left and right muscles, respectively. *Indicates a significant difference between the left and right muscles in the synergy.
No significant differences were found in muscle contribution between the four muscle synergies (S1 = 0.197 ± 0.063, S2 = 0.188 ± 0.066, S3 = 0.206 ± 0.068, S4 = 0.199 ± 0.101, F = 0.124, P = 0.945).
It was calculated that there was a significant difference in the activation level of four muscle synergies (Fig. 4), S1, S2, S3 were significantly more activated than S4, S2 and S3 were significantly more activated than S1 (BKP: S1 = 0.426 ± 0.259, S2 = 0.688 ± 0.317, S3 = 0.776 ± 0.231, S4 = 0.391 ± 0.102).
Extend phase
The structure of synergies in the extend phase is shown in Table 2 and Fig. 3 (the right side two pictures); there was a significant difference between the left and right muscle contributions of the synergy included TB (S4: TB1 = 0.136 ± 0.034, TB2 = 0.477 ± 0.149, P = 0.000), GM (S3: GM1 = 0.083 ± 0.016, GM2 = 0.232 ± 0.096, P = 0.041), RF (S2: RF1 = 0.350 ± 0.128, RF2 = 0.152 ± 0.061, P = 0.005; S3: RF1 = 0.372 ± 0.125, RF2 = 0.135 ± 0.046, P = 0.043) and BF (S3: BF1 = 0.067 ± 0.023, BF2 = 0.191 ± 0.066, P = 0.039).
There was no significant difference between the muscle contributions of the four synergies (S1 = 0.196 ± 0.076, S2 = 0.207 ± 0.061, S3 = 0.201 ± 0.101, S4 = 0.207 ± 0.093, F = 0.052, P = 0.984).
It was calculated that there was a significant difference in the level of activation of four muscle synergies (Fig. 4), S1, S2, S3 were significantly more activated than S4, S2 was significantly more activated than S1, S2 had the highest activation (EP: S1 = 0.605 ± 0.302, S2 = 1.147 ± 0.258, S3 = 0.603 ± 0.326, S4 = 0.217 ± 0.035).
Significance test for muscle activation level between synergies in the extend phase and bent-knee cushioning phase. S1, S2, S3, S4 are indicate four synergies. EP, extend phase; BKP, bent-knee cushioning phase, a, b, c represents whether there is a significant difference, when the same letter appears there is no significant difference, when there is no the same letter means the difference is substantial.
Comparison of overall contribution and overall activation of muscle synergies in two phases
Paired-sample t-tests were performed on the overall contribution (EP = 0.203 ± 0.082, BKP = 0.198 ± 0.077, P = 0.725) and overall activation (EP = 0.594 ± 0.243, BKP = 0.576 ± 0.145, P = 0.213) of the muscle synergies of the bent-knee cushioning phase and extend phase, there were no significant differences between either (Fig. 5).
Discussion
This study provides the comprehensive analysis of muscle synergy organization during pumping maneuvers in elite windsurfers, revealing four consistent synergies that demonstrate both stable patterns and phase-specific adaptations. The findings fully support our first hypothesis regarding the dimensionality of muscle control, with four synergies sufficient to explain the majority of variance in EMG patterns across both pumping phases. This aligns with previous research on cyclic sports such as rowing16 and swimming19, where similar synergy numbers have been reported for whole-body coordinated movements. More importantly, our results refine the second hypothesis about bilateral asymmetry—while we confirmed significant left–right differences in muscle contributions (p < 0.05), these asymmetries manifested in phase-specific patterns: TB/BF showed consistent lateralization across both phases, whereas GM asymmetry emerged exclusively during the extension phase. This phase-dependent modulation of lateralization suggests that windsurfers develop specialized neuromuscular strategies to meet the distinct biomechanical demands of each pumping phase while maintaining overall movement efficiency.
The detailed analysis of synergy activation patterns revealed sophisticated temporal coordination between muscle groups. During the bent-knee cushioning phase, we observed a clear proximal-to-distal sequencing of synergies, beginning with S1 (TB2/GM1/BF2) for initial stabilization, progressing through S2 (TB1/TB2) for sail push-away, and culminating in S3 (TRA1/LD1/RF1/RF2) for trunk retraction and hip flexion. This sequential activation pattern mirrors the kinetic chain principles described in other whole-body movements36, where efficient power transfer requires precise timing of segmental contributions. The extension phase presented a more complex coordination pattern, with initial co-activation of upper and lower limb muscles (S1: TB1/TB2/RF1/BF1) transitioning to trunk-driven control (S3: RA1/RA2/RF1). Notably, given that the gluteus maximus is a primary hip extensor crucial for power generation, its relatively low contribution observed during the extension phase in our study19,37 may indicate a suboptimal activation pattern. Optimizing its recruitment could be a target for technical improvement to enhance power transfer through the kinetic chain to the pumping.
Comparative analysis with previous EMG studies38,39,40 confirms the importance of trapezius, biceps brachii, and quadriceps activation in pumping while significantly advancing our understanding by revealing: (1) the precise temporal coordination between these muscle groups, (2) their functional organization into synergies, and (3) the phase-dependent modulation of their contributions. The bilateral asymmetries we observed (left-dominant RF versus right-dominant TB/GM/BF) reflect the unique postural demands of windsurfing41, where athletes must maintain balance while generating propulsive forces. These findings suggest potential practical implications: (1) considering targeted GM activation training to improve kinetic chain efficiency36, (2) unilateral strengthening exercises (e.g., split-leg squats) to address muscle imbalances42,43,44, and (3) specific recovery protocols for high-activation synergies (S2–S3) to prevent overuse injuries45.
The stability of synergy structure across phases (p > 0.05) despite significant kinematic differences suggests that elite windsurfers develop robust neuromuscular templates that can be adapted to varying movement demands. This adaptability resembles findings in other sports requiring complex whole-body coordination16,19,20, and may represent a hallmark of expert performance. From a practical perspective, these results provide coaches with: (1) objective metrics to complement traditional video analysis; (2) specific targets for technique refinement, and (3) physiological benchmarks for training periodization.
This study has several limitations that should be considered when interpreting the results. First, the sample size was small (n = 8) and included only athletes from a single national team, which may limit the generalizability of the findings to other populations or skill levels. Second, the experiment was conducted on an on-shore simulator rather than in real on-water conditions, which could alter muscle loading patterns and synergy organization. Third, The use of an on-shore simulator rather than on-water conditions, which may alter lower-limb and trunk loading and muscle synergy patterns. The short task duration (30 s) and single direction (starboard pumping) may not fully represent race scenarios with prolonged pumping and frequent tack/jibe or side changes.
Despite these limitations, the current findings provide valuable initial insights into neuromuscular coordination during pumping, and future studies should aim to validate these results in more ecologically valid settings with larger and more diverse cohorts.
Conclusion
This study systematically investigated the neuromuscular control characteristics of pumping maneuvers in elite windsurfers through muscle synergy analysis. The results demonstrate that pumping is governed by four stable muscle synergy patterns, which exhibit distinct temporal activation features between the bent-knee cushioning phase and extension phase. Notably, we identified significant bilateral asymmetry in muscle contributions, with particular underactivation of the GM during the extension phase that may be associated with less efficient kinetic chain utilization. These findings provide important scientific evidence for technical training in windsurfing. Based on our results, we recommend that coaches: (1) implement sport-specific strength training targeting the GM, (2) incorporate unilateral exercises to address muscle imbalances, and (3) focus on optimizing neuromuscular control of the highly-activated synergy patterns (S2–S3) to enhance pumping efficiency. The identified synergy characteristics establish objective neuromuscular benchmarks for performance enhancement in competitive windsurfing.
Data availability
The datasets used and/or analysed during the current study available from the corresponding author on reasonable request.
References
Vogiatzis, I. et al. The physiological demands of sail pumping in olympic level windsurfers. Eur. J. Appl. Physiol. 86, 450–454 (2002).
Lyu, Y. Z., Zhu, H. J. & Sun, M. Aerodynamic forces and vortical structures of a flapping wing at very low Reynolds numbers. Phys. Fluids. 31(4), 041901 (2019).
Wu, W. L. et al. The study of physical requirements for windsurfing specialty. J. Sports Med. Phys. Fit. 56, 968–973 (2016).
Castagna, O., Brisswalter, J., Lacour, J. R. & Vogiatzis, I. Physiological demands of different sailing techniques of the new olympic windsurfing class. Eur. J. Appl. Physiol. 104, 1061–1067 (2008).
Dyson, R. J., Buchanan, M., Farrington, T. A. & Hurrion, P. D. Electromyographic activity during windsurfing on water. J. Sports Sci. 14, 125–130 (1996).
Feng, Y. Research on windsurfers’ pumping, physical training methods and training implementation. J Beijing Teach. Coll. Phys. Educ 7–12 (1994).
Bai, K. X. & Wang, D. X. Measurement of kinematical parameters in sailboard navigating. J. Wuhan Inst. Phys. Educ. 40, 43–46 (2006).
BERNSTEIN. The Co-ordination and Regulation of Movements (Pergamon, 1967).
Bizzi, E., Mussa-Ivaldi, F. A. & Giszter, S. Computations underlying the execution of movement: A biological perspective. Science 253, 287–291 (1991).
Avella, A., Saltiel, P. & Bizzi, E. Combinations of muscle synergies in the construction of a natural motor behavior. Nat. Neurosci. 6, 300–308 (2003).
Alessandro, C., Delis, I., Nori, F., Panzeri, S. & Berret, B. Muscle synergies in neuroscience and robotics: From input-space to task-space perspectives. Front. Comput. Neurosci. 7, 43 (2013).
Sawers, A., Allen, J. L. & Ting, L. H. Long-term training modifies the modular structure and organization of walking balance control. J. Neurophysiol. 114, 3359–3373 (2015).
Berniker, M., Jarc, A., Bizzi, E. & Tresch, M. C. Simplified and effective motor control based on muscle synergies to exploit musculoskeletal dynamics. Proc. Natl. Acad. Sci. U.S.A. 106, 7601–7606 (2009).
Santuz, A., Ekizos, A., Eckardt, N., Kibele, A. & Arampatzis, A. Challenging human locomotion: Stability and modular organisation in unsteady conditions. Sci. Rep. 8, 2740 (2018).
Matsunaga, N. & Kaneoka, K. Comparison of modular control during smash shot between advanced and beginner badminton players. Appl. Bion Biomech. 2018, 1–6 (2018).
Turpin, N. A., Guével, A., Durand, S. & Hug, F. No evidence of expertise-related changes in muscle synergies during rowing. J. Electromyogr. Kinesiol. 21, 1030–1040 (2011).
Matsunaga, N., Imai, A. & Kaneoka, K. Comparison of modular control of trunk muscle by Japanese archery competitive level: A pilot study. Int. J. Sport Health Sci. 15, 160–167 (2017).
Frère, J. & Hug, F. Between-subject variability of muscle synergies during a complex motor skill. Front. Comput. Neurosci. 6, 99 (2012).
Vaz, J. R. et al. Muscle coordination during breaststroke swimming: comparison between elite swimmers and beginners. J. Sports Sci. 34, 1941–1948 (2016).
Hug, F., Turpin, N. A., Couturier, A. & Dorel, S. Consistency of muscle synergies during pedaling across different mechanical constraints. J. Neurophysiol. 106, 91–103 (2011).
Rabbi, M. F. et al. Non-negative matrix factorisation is the most appropriate method for extraction of muscle synergies in walking and running. Sci. Rep. 10, 8266 (2020).
Cheung, V. C. K., d’Avella, A., Tresch, M. C. & Bizzi, E. Central and sensory contributions to the activation and organization of muscle synergies during natural motor behaviors. J. Neurosci. 25, 6419–6434 (2005).
Gagnat, Y. et al. The relation of energy cost of walking with gait deviation, asymmetry, and lower limb muscle co-activation in children with cerebral palsy: A retrospective cross-sectional study. BMC Musculoskelet. Disord. 24, 1–8 (2023).
Criswell, E. Cram’s Introduction to Surface Electromyography (Jones & Bartlett, 2010).
Garcia, M. A. C. & Vieira, T. M. M. Surface electromyography: Why, when and how to use it. Rev. Andal Med. Deporte. 4, 17–28 (2011).
Castagna, O., Vaz Pardal, C. & Brisswalter, J. The assessment of energy demand in the new olympic windsurf board: Neilpryde RS:X®. Eur. J. Appl. Physiol. 100, 247–252 (2007).
Hagiwara, M. et al. The effects of sprint interval training on sail pumping performance in a male windsurfing olympian. Sports Sci. Elite Athlete Support. 2, 31–41 (2017).
Tankisi, H. et al. Standards of instrumentation of EMG. Clin. Neurophysiol. 131, 243–258 (2020).
Santuz, A. et al. Modular control of human movement during running: An open access data set. Front. Physiol. 9, 1509 (2018).
Santuz, A., Ekizos, A., Janshen, L., Baltzopoulos, V. & Arampatzis, A. On the methodological implications of extracting muscle synergies from human locomotion. Int. J. Neur Syst. 27, 1750007 (2017).
Santuz, A. et al. Lower complexity of motor primitives ensures robust control of high-speed human locomotion. Heliyon 6, e05377 (2020).
Santuz, A. et al. Modular organization of murine locomotor pattern in the presence and absence of sensory feedback from muscle spindles. J. Physiol. 597, 3147–3165 (2019).
XiaoTian, B., YaoJia, Z. H. & HongFeng, H. Effects of exercise-induced fatigue on synergy of foot and ankle muscles during running. Chin. J. Sports Med. 42, 191–200 (2023).
Kun, Y. Muscle synergy characteristics of young and old people in different cycling conditions. J Shanghai Univ. Sports (2021).
Muyor, J. M., Martín-Fuentes, I., Rodríguez-Ridao, D. & Antequera-Vique, J. A. Electromyographic activity in the gluteus medius, gluteus maximus, biceps femoris, Vastus lateralis, Vastus medialis and rectus femoris during the monopodal Squat, forward lunge and lateral Step-Up exercises. PLoS ONE. 15, e0230841 (2020).
Karandikar, N. & Vargas, O. O. O. Kinetic chains: A review of the concept and its clinical applications. PM&R 3, 739–745 (2011).
Neto, W. K. et al. Gluteus Maximus activation during common strength and hypertrophy exercises: A systematic review. J. Sports Sci. Med. 19, 195–203 (2020).
Campillo, P., Leszczynski, B., Marthe, C. & Hespel, J. M. Electromyographic analysis on a windsurfing simulator. J. Sports Sci. Med. 6, 135–141 (2007).
Ouadahi, N., Ababou, A., Ababou, N. & Larbi, M. A. Windsurf ergometer for sail pumping analysis and mechanical power measurement. Procedia Eng. 72, 249–254 (2014).
Pozzi, F. et al. Electromyography activation of shoulder and trunk muscles is greater during closed chain compared to open chain exercises. J. Electromyogr. Kinesiol. 62, 102306 (2022).
Van Gheluwe, B., Huybrechts, P. & Deporte, E. Electromyographic evaluation of arm and torso muscles for different postures in windsurfing. Int. J. Sport Biomech. 4, 156–165 (1988).
Calatayud, J. et al. Muscle activity during unilateral vs. bilateral battle rope exercises. J. Strength. Cond. Res. 29, 2854–2859 (2015).
Liao, K. F. et al. Effects of unilateral vs. bilateral resistance training interventions on measures of strength, jump, linear and change of direction speed: a systematic review and meta-analysis. Biol. Sport. 39, 485–497 (2022).
Mccurdy, K. W., Langford, G. A., Doscher, M. W., Wiley, L. P. & Mallard, K. G. The effects of short-term unilateral and bilateral lower-body resistance training on measures of strength and power. J. Strength. Cond Res. 19, 9 (2005).
Sanchis-Moysi, J., Idoate, F., Dorado, C., Alayón, S. & Calbet, J. A. L. Large asymmetric hypertrophy of rectus abdominis muscle in professional tennis players. PLoS ONE. 5, e15858 (2010).
Author information
Authors and Affiliations
Contributions
JY and DZ designed the research study, RY and XGZ performed the research, YL and DZ provided help and advice in the process of the experiments. YL and CFG provided help on the data analysis and conducted the chart. RY and XGZ wrote and revised the main manuscript text. All authors contributed to editorial changes in the manuscript. All authors read and approved the final manuscript.
Corresponding authors
Ethics declarations
Competing interests
The authors declare no competing interests.
Additional information
Publisher’s note
Springer Nature remains neutral with regard to jurisdictional claims in published maps and institutional affiliations.
Rights and permissions
Open Access This article is licensed under a Creative Commons Attribution-NonCommercial-NoDerivatives 4.0 International License, which permits any non-commercial use, sharing, distribution and reproduction in any medium or format, as long as you give appropriate credit to the original author(s) and the source, provide a link to the Creative Commons licence, and indicate if you modified the licensed material. You do not have permission under this licence to share adapted material derived from this article or parts of it. The images or other third party material in this article are included in the article’s Creative Commons licence, unless indicated otherwise in a credit line to the material. If material is not included in the article’s Creative Commons licence and your intended use is not permitted by statutory regulation or exceeds the permitted use, you will need to obtain permission directly from the copyright holder. To view a copy of this licence, visit http://creativecommons.org/licenses/by-nc-nd/4.0/.
About this article
Cite this article
Yang, R., Gu, C., Zhang, X. et al. Muscle synergy characteristics of pumping in Chinese elite windsurfers. Sci Rep 16, 4175 (2026). https://doi.org/10.1038/s41598-025-34222-w
Received:
Accepted:
Published:
Version of record:
DOI: https://doi.org/10.1038/s41598-025-34222-w




