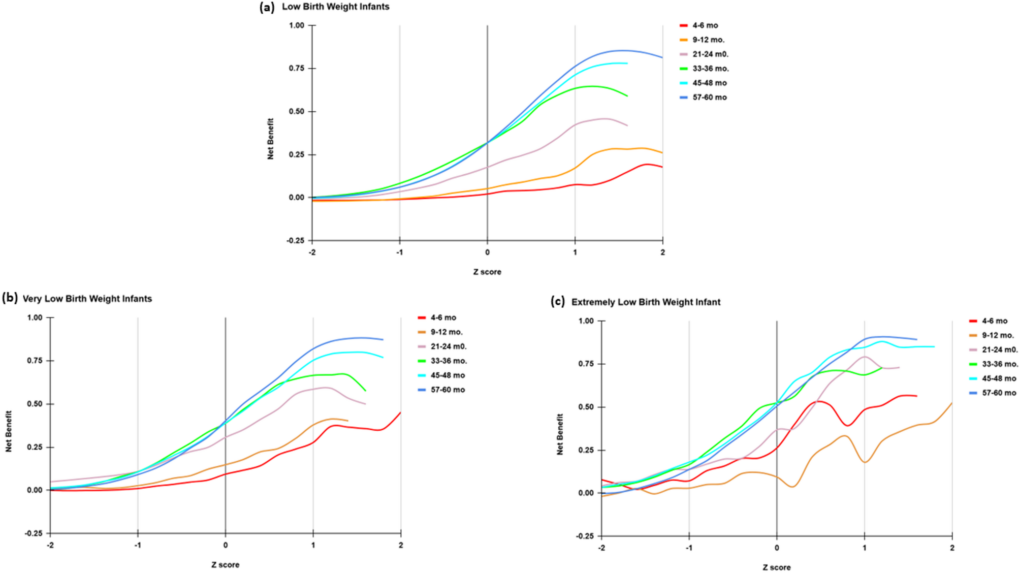
Fig. 3
From: Optimal weight gain to reduce obesity risk in preterm infants in a National cohort study

Net benefit of z-score for obesity prediction using decision curve analysis by birth weight categories. In all three groups, net benefit, calculated to estimate the optimal z-score values for predicting obesity at different time points, increased as the screening age advanced, indicating that later time points provide greater predictive value for obesity risk at age 6. Higher z-scores were associated with a higher net benefit, reflecting the increased obesity risk in infants with higher weight-for-age trajectories (a, b, c). In the ELBW group, net benefit increased earlier compared to the LBW and VLBW groups, particularly at 4–6 months and 9–12 months (c). The VLBW group exhibited a relatively higher net benefit at 21–24 months compared to LBW infants (b).