Abstract
This study aims to identify the optimal postnatal weight gain through age 6 to prevent obesity in preterm infants. Nested case-control study using a nationwide South Korean cohort (2008–2015) included preterm infants with obesity (cases) and those with BMI between the 5th–85th percentiles (controls) at age 6. Weight-for-age and BMI z-scores were compared using Cohen’s d. Logistic regression identified obesity risk factors, and net benefit analysis determined optimal intervention points by birth weight. Among 41,286 preterm infants, 3349 (8.1%) developed obesity. Birth weight z-score differences between cohorts were small (Cohen’s d = 0.115), but differences in weight-for-age z-scores emerged at 4–6 months (Cohen’s d = 0.474) and grew over time (3 years: Cohen’s d = 1.278). Risk factors included low gestational age, high birth weight, rural residence, lower socioeconomic status, and recent birth. Higher z-scores correlated with greater net benefit, with extremely low birth weight infants showing earlier increases. In conclusion, a rapid increase in z-scores from 4 to 6 months was strongly linked to obesity at 6 years. Optimal predictive values varied by birth weight, emphasizing the need for early monitoring and tailored cut-off values for z-scores based on corrected age to prevent obesity.
Introduction
Preterm infants are a leading cause of neonatal mortality and are strongly associated with poor long-term growth, neurodevelopmental challenges, and various health complications across the life course. In 2014, an estimated 10.6% of global births, equivalent to 14.8 million newborns, were preterm1. Similarly, another study reported an increase in preterm births from 13.4 million in 2010 (9.8% of all births) to 13.8 million in 2020 (9.9%) worldwide2. Among the many health concerns linked to preterm birth, obesity in childhood and adolescence—often persisting into adulthood—is increasingly recognized as a major issue3. Catch-up growth in preterm infants has long been a focus of research, but the potential risks of rapid weight gain, including overweight, obesity, and metabolic syndrome, have often been overlooked. Postnatal catch-up growth in preterm infants is generally defined as an accelerated growth rate that allows them to reach normal growth parameters for their corrected age. However, due to the lack of a universally standardized definition, criteria vary across studies depending on the growth charts used4. Typically, catch-up growth is considered to occur when an infant reaches between the 5th and 10th percentiles on a growth chart, usually by 12 to 18 months of corrected age5.
The risk of childhood obesity among preterm infants varies by gestational age and birth weight6 and is closely linked to rapid post-discharge weight gain7. These differences highlight the lack of standardized guidelines specifying appropriate weight gain milestones at different stages. Applying definitions of rapid weight gain derived from term infants to preterm infants—who present wide variability in gestational age and birth weight—is challenging. Current recommendations often suggest for preterm infants to achieve normal weight by 2–3 years of corrected age, yet the optimal rate of weight gain at intermediate time points remains unclear, making clinical assessment difficult8.
For instance, accelerated weight gain (defined as a change in weight z-score > 1.67) during the first 12–48 months has been associated with a higher risk of childhood obesity among very preterm infants9. Similarly, rapid increases in weight and weight-to-length ratios during the first two years have been associated with obesity at 10 years in girls born extremely preterm10. Given the diverse conditions, broad recommendations in current guidelines are often inadequate. More detailed and specific guideline is urgently needed to determine the appropriate rate of weight gain at intermediate time points, tailored to the unique characteristics of preterm infants.
This study aims to determine whether changes in weight-for-age z-scores during early infancy, based on corrected age, are associated with obesity at 6 years of age in preterm infants, and to identify the extent of risk according to birth weight.
Results
Participants characteristics
Among non-small for gestational age (SGA) preterm infants (< 37 weeks, < 2.5 kg), 8.1% (3349/41,286) developed obesity (body mass index [BMI]-for-age and sex ≥ 95th percentile) by age 6 (Table 1, Supplementary Table 1). There was no difference in the gender ratio, with 1681 males (50.2%). By birth weight, 2988 (89.2%) were low birth weight (LBW), 308 (9.2%) very low birth weight (VLBW), and 53 (1.6%) extremely low birth weight (ELBW). By gestational age, 1725 (51.5%) were late preterm, 821 (24.5%) moderately preterm, 693 (20.7%) very preterm infants, and 110 (3.3%) extremely preterm.
Neonatal intensive care unit (NICU) admission, exclusive breastfeeding, perinatal status, congenital malformations, and chromosomal abnormalities showed no differences. Weight trends by birth weight category are shown in Supplementary Fig. 1.
Comparison of effect size between obesity and control groups at different time points
The effect size for the difference in weight-for-age z-scores between two groups at birth was small (Cohen’s d = 0.115) (Fig. 1a, Supplementary Table 2a). However, differences in weight-for-age z-scores became apparent by 4–6 months of age (Cohen’s d = 0.474) and progressively grew more pronounced with age, reaching a large effect size by 3 years (Cohen’s d = 1.278). When stratified by birth weight into LBW, VLBW, and ELBW, similar patterns were observed (Fig. 1b–d, Supplementary Table 2b–d).
Weight-for-age and BMI z-scores from birth to 6 years by birth weight categories. Cohen’s d, representing the effect size for the difference in z-scores between the obesity and control groups, was small at 0.115 at birth. This effect became apparent by 4–6 months of age (Cohen’s d = 0.474) and progressively grew more pronounced with age (a). Similar patterns were observed when stratified by birth weight: low birth weight (1.5 kg or more but less than 2.5 kg), 0.137 at birth, 0.383 at 4–6 months of age (b); very low birth weight (1.0 kg or more but less than 1.5 kg), 0.052 at birth, 0.617 at 4–6 months of age (c); and extremely low birth weight (less than 1.0 kg), 0.012 at birth, 0.335 at 4–6 months of age (d).
Comparison of Z-score changes between obesity and control groups at different time points
The weight-for-age z-score change from birth to 4–6 months was 1.27 in the obesity group and 0.92 in the control group, with a difference of 0.35 (1.72) between the two groups. This difference decreased to 0.20 (1.44) at 9–12 months and 0.26 (1.70) at 21–24 months, indicating a narrowing trend but persisted (Fig. 2a, Supplementary Table 2a). By age 3, the difference widened again to 0.34 (1.41), and this trend of increasing disparity continued thereafter.
Z-score changes from previous measurements and differences in z-score changes between obese and control groups by birth weight categories. The z-score change, calculated by subtracting the z-score of the previous assessment from that of the current assessment, was 1.27 in the obesity group and 0.92 in the control group between birth and 4–6 months of age, resulting in a difference of 0.35 between the two groups. This difference decreased to 0.20 at 9–12 months and 0.26 at 21–24 months. By 3 years of age, the difference widened again to 0.34, and this trend of increasing disparity continued thereafter (a). The difference in z-score change between the two groups showed similar patterns when stratified by birth weight: low birth weight (1.5 kg or more but less than 2.5 kg) (b); very low birth weight (1.0 kg or more but less than 1.5 kg) (c); and extremely low birth weight (less than 1.0 kg) (d).
In the three birth weight categories—LBW, VLBW, and ELBW—the weight-for-age z-score change from birth to 4–6 months in the obesity and control groups was 1.30 vs. 0.98, 0.87 vs. 0.31, and 0.15 vs. -0.24, respectively (Fig. 2b–d, Supplementary Table 2b–d). These groups exhibited similar patterns of the difference in z-score change over time.
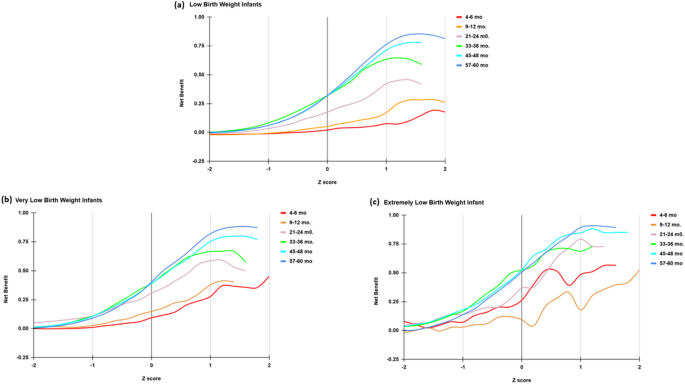
Optimal Z-scores for obesity prediction stratified by birth weight at different time points
To estimate optimal z-scores for predicting obesity at different time points, stratified by birth weight, we calculated net benefit (Fig. 3a–c). In all three groups, net benefit increased with age, indicating greater predictive value at later time points. Higher z-scores were associated with higher net benefit, reflecting the increased obesity risk. In ELBW group, net benefit increased earlier (4–6 and 9–12 months) than in LBW and VLBW groups (Fig. 3c). The VLBW group exhibited a relatively higher net benefit at 21–24 months compared to LBW infants (Fig. 3b).
Net benefit of z-score for obesity prediction using decision curve analysis by birth weight categories. In all three groups, net benefit, calculated to estimate the optimal z-score values for predicting obesity at different time points, increased as the screening age advanced, indicating that later time points provide greater predictive value for obesity risk at age 6. Higher z-scores were associated with a higher net benefit, reflecting the increased obesity risk in infants with higher weight-for-age trajectories (a, b, c). In the ELBW group, net benefit increased earlier compared to the LBW and VLBW groups, particularly at 4–6 months and 9–12 months (c). The VLBW group exhibited a relatively higher net benefit at 21–24 months compared to LBW infants (b).
The Youden’s Index z-score for prediction of obesity in LBW infants decreased from 1.0 at 4–6 months to 0.2 at 21–24 months, before increasing to 1 by 5 years (Fig. 4). In VLBW infants, the z-score for prediction of obesity remained relatively stable, ranging between 0.2 and 0.8, with 0.6 at 4–6 months. For ELBW infants, the z-score for prediction of obesity decreased from 0.4 at 4–6 months to − 0.4 at 9–12 months, then increased to 0.4 by approximately 5 years of age.
Prediction of obesity at 6 years using Youden’s Index by birth weight categories. The Youden’s Index z-score for prediction of obesity in LBW infants decreased from 1.0 at 4–6 months to 0.2 at 21–24 months, before increasing to 1 by 5 years. In VLBW infants, the z-score for prediction of obesity remained relatively stable, ranging between 0.2 and 0.8, with 0.6 at 4–6 months. For ELBW infants, the z-score for prediction of obesity decreased from 0.4 at 4–6 months to − 0.4 at 9–12 months, then increased to 0.4 by approximately 5 years of age.
Risk factors for childhood obesity
The risk of obesity did not differ between males and females (males: adjusted odds ratios [aOR] 0.947, 95% confidence interval [CI] 0.854–1.05, p = 0.30) (Fig. 5). Obesity was more common in higher birth weight (LBW: 7.82%; VLBW: 5.99%; ELBW: 2.72%), with LBW infants at higher risk than ELBW (aOR 2.903, 95% CI 1.485–5.675, p = 0.002). Late preterm infants had lower obesity risk than very preterm (aOR 0.699, 95% CI 0.547–0.893, p = 0.004).
Risk factors for childhood obesity. OR and 95% CI were adjusted for sex, birth weight (LBW, VLBW and ELBW), gestational age (late preterm infants, moderately preterm infants, and very preterm infants), NICU hospitalization (yes vs. no), exclusive breastfeeding (yes vs. no), birth residence (Seoul, metropolitan, city and rural), socioeconomic status (low, intermediate, and high), year of birth (2008–2010, 2011–2013, and 2014–2015), perinatal status (0, 1–2, and ≥ 3), congenital malformation (yes vs. no), and chromosomal anomaly (yes vs. no). The risk of obesity was significantly higher in LBW infants compared to ELBW infants (aOR 2.903, 95% CI 1.485–5.675, p = 0.002). Compared to very preterm infants, late preterm infants exhibited a significantly lower risk of obesity (aOR 0.699, 95% CI 0.547–0.893, p = 0.004). NICU admission (aOR 1.139, 95% CI 1.008–1.287, p = 0.04) and birth in rural areas (aOR 1.248, 95% CI 1.02–1.527, p = 0.03) were linked to a higher risk of obesity. Low socioeconomic status also significantly increased the risk (aOR 1.526, 95% CI 1.308–1.78, p < 0.001). Children born in more recent years (2014–2015) had a significantly higher risk of obesity (aOR 1.823, 95% CI 1.585–2.096, p < 0.001).
Risk factors included NICU admission (aOR 1.139, 95% CI 1.008–1.287, p = 0.04), birth in rural areas (aOR 1.248, 95% CI 1.02–1.527, p = 0.03), low socioeconomic status (aOR 1.526, 95% CI 1.308–1.78, p < 0.001), and birth in more recent years (2014–2015) (aOR 1.823, 95% CI 1.585–2.096, p < 0.001). Exclusive breastfeeding (aOR 0.998, 95% CI 0.873–1.142, p = 0.98), perinatal status, congenital malformations, and chromosomal abnormalities were not significant factors.
Discussion
In this study, 8.1% of non-SGA preterm infants developed obesity by age 6. By 4–6 months, a significant z-score difference between the obesity and control groups was already evident and widened over time across LBW, VLBW, and ELBW infants. This difference was driven by variations in weight gain velocity, with LBW infants in the obesity group showing a z-score increase of 1.30, exceeding the recommended 0.67 for full-term infants. While VLBW and ELBW infants exhibited smaller z-score changes, the obesity risk gap remained consistent.
The z-score difference persisted from 4 to 6 months onward, indicating that early rapid weight gain was sustained, contributing to obesity risk at age 6. While LBW infants experienced the most pronounced weight increase, VLBW and ELBW infants showed smaller changes, despite a maintained obesity risk disparity. Given these variations, a single standardized z-score threshold may not be adequate for preterm infants.
Net benefit values were analyzed across birth weight groups to evaluate early intervention effectiveness. ELBW infants exhibited an increased obesity risk at lower z-scores during early infancy, whereas in VLBW infants, net benefit values were higher than in LBW infants around two years of age. At 4–6 months, the optimal corrected weight-for-age z-score cutoffs for predicting obesity at six years were 1.0 (LBW), 0.6 (VLBW), and 0.4 (ELBW). These values initially declined with age but began to rise around four years. The need for birth weight-specific z-score thresholds highlights the limitations of using a universal reference for preterm weight monitoring. Until standardized guidelines are established, weight tracking should be tailored to birth weight categories to improve early obesity risk assessment and intervention.
Rapid weight gain during the first six months is associated with early adiposity rebound and an increased risk of obesity11,12. Our study focused on preterm infants. Our findings confirm that rapid weight gain in preterm infants during the first 4–6 months is significantly associated with an increased risk of obesity. Other studies also show that preterm-born children with obesity already exhibited a higher BMI than their peers by 24 months13. Excessive weight gain in extremely preterm infants during the first two years10 and in very preterm infants between 12 and 48 months increases the risk of obesity in later childhood9,14. However, unlike previous studies, our findings suggest that excessive weight gain and z-score changes during the first 4–6 months—an even earlier period than previously reported—significantly influence obesity.
In preterm infants, accelerated postnatal growth (“catch-up growth”) is typically considered essential and associated with improved neurodevelopmental outcomes15. However, when excessive, it is linked to increased abdominal fat accumulation contributing to higher risk of metabolic syndrome, cardiovascular disease, and obesity16. Preterm-born adults are also at greater risk of metabolic syndrome, including increased fat mass, higher fasting glucose levels, greater insulin resistance, higher total cholesterol, and hypertension, compared to term-born adults17. In a long-term cohort study, preterm-born adults had higher rates of obesity, hypertriglyceridemia, and metabolic syndrome18. Therefore, emerging perspectives suggest that slower weight gain may promote greater fat-free mass accumulation, potentially improving metabolic outcomes19,20.
However, there is no guideline on the optimal rate of weight gain in preterm infants. The World Health Organization21 and Centers for Disease Control and Prevention (CDC)22 provides growth charts for tracking weight percentile change. These recommendations focus on full-term infants, with no specific recommendations of weight gain velocity for preterm infants. In full-term infants, rapid weight gain is defined as an increase in weight-for-age z-score of ≥ 0.67, or a shift above the 25th percentile within the first 4–6 months or before two years23. However, such thresholds have not been established for preterm infants, making it challenging to apply a uniform standard for growth assessment in this population. While weight monitoring in preterm infants is based on neonatal growth charts (Fenton or INTERGROWTH-21st)4, these charts are used for growth tracking rather than defining excessive postnatal weight gain or obesity.
Childhood obesity often persists into adulthood24. In preterm infants, catch-up growth is emphasized, sometimes overlooking excessive weight gain. Physicians calculate weight z-scores based on chronological age as for term infants. However, to prevent obesity, it is important to calculate and monitor z-scores based on corrected age until 2 years.
Our study found that preterm infants with higher birth weights, rural residence, lower socioeconomic status, and more recent birth years were associated with a higher risk of obesity13,25. While one study suggested that preterm infants with more advanced gestational age have a higher risk of obesity in childhood and adolescence13, our study found the opposite, shorter gestational age was associated with a higher risk of obesity. Formula feeding is a known risk factor for rapid growth and high BMI26,27. However, in our study, exclusive breastfeeding did not reduce obesity risk. This may be attributed to the low rate of exclusive breastfeeding, potentially limiting its protective effect.
In the ELBW group, net benefit increased in early infancy. This suggests that early weight gain patterns in ELBW infants may be more predictive of obesity risk. The VLBW group exhibited a relatively higher net benefit at 21–24 months compared to LBW infants, highlighting the importance of mid-infancy growth monitoring, where weight-for-age changes may be more informative at an earlier stage. These suggest that while later time points provide the highest net benefit across all groups, the optimal timing for obesity risk prediction varies by birth weight, with earlier predictability in ELBW infants and an earlier peak in VLBW infants compared to LBW infants.
These observations were further supported by Youden’s Index, showing lower z-score cutoff at 4–6 months in VLBW and ELBW, indicating that the predictive threshold varies by birth weight. Additionally, an increase in weight z-score exceeding a certain threshold in LBW, VLBW, and ELBW infants during the first 4–6 months may be associated with a higher risk of obesity.
We cautiously propose that the weight-for-age z-score cutoffs at 4–6 months identified in this study may serve as a useful reference for clinical practice in predicting long-term obesity risk in preterm infants. Preterm SGA infants frequently experience failure to thrive, short stature, and obesity, and their optimal catch-up growth patterns remain uncertain28,29,30,31. For this reason, in the present study, we excluded preterm SGA infants and analyzed only non-SGA preterm infants. Although SGA infants were excluded, large for gestational age (LGA) infants were not excluded. As the growth patterns of LGA infants are less well documented, future studies are warranted to specifically evaluate their longitudinal weight changes. In addition, this study focused on weight gain to reduce the risk of obesity in preterm infants according to birth weight. Neurodevelopment was not included in the aims of this study and was therefore not evaluated. Future research evaluating the association between weight gain and neurodevelopment in preterm infants is needed.
The limitations of this study include the absence of weight-for-length z-scores. Additionally, due to the moderate predictive power of the ROC curve, the cutoff values identified cannot be considered absolute. This study utilized dataset from the Korean National Health Insurance Service and the National Health Screening Program for Infants and Children; therefore, maternal factors such as maternal diabetes and obesity were not collected, and their potential role as confounding factors cannot be completely excluded. However, we attempted to minimize this limitation by adjusting for key determinants most strongly associated with childhood obesity, including breastfeeding status, socioeconomic status, and perinatal status. Another limitation is that this study is based on nationwide, population-based cohort data from a single Asian ethnicity; thus, multi-ethnic studies are needed in the future for validation. In addition, although this study was based on a national cohort registry, the number of enrolled ELBW infants was inevitably small due to the low incidence of births at this birth weight. Moreover, the number of patients in the obesity group was relatively small compared with the control group, resulting in an imbalance. Despite these limitations, this study is significant as it included a large cohort of preterm infants, classified into birth weight categories, and followed up to six years. Furthermore, weight measurements were conducted under pediatric supervision.
Conclusion
A rapid weight gain and z-score changes during the first 4–6 months among preterm infants showed a clear correlation with obesity, emphasizing the need for ongoing monitoring with z-scores within the optimal cut-off values and early intervention to prevent obesity.
Methods
Study design
This nested case-control study with a nationwide population-based cohort utilized data from the Korean National Health Insurance Service and the National Health Screening Program for Infants and Children. The program conducts seven assessments for children aged 4–72 months, covering nearly all births in Korea32,33: at 4–6 months, 9–12 months, and annually until age 6.
Study population
We analyzed 217,405 children born in South Korea between 2008 and 2015 with data on gestational age and birth weight. Among them, 85,830 had a gestational age of < 37 weeks and a birth weight of < 2.5 kg. After excluding 44,544 classified as SGA34,35 or missing BMI data, the population was reduced to 41,286 non-SGA preterm infants. After excluding 7377 with BMI 85th–95th percentiles (overweight) or < 5th percentile, 33,909 remained in the study (Fig. 6).
Patient flowchart. Among a cohort of 217,405 individuals with available information on gestational age and birth weight, 85,830 had a gestational age of < 37 weeks and a birth weight of < 2.5 kg. After excluding those who were small for gestational age or had missing body mass index (BMI) data, as well as those with a BMI in the 85th-95th percentile (overweight) and a BMI ≤ 5th percentile at the 6-year screening, a total of 33,909 children remained enrolled in the study (3349 in the obesity cohort and 30,560 in the control cohort).
Exposure
The weight-for-age z-score at birth was calculated based on the gestational age of preterm infants36. Weight-for-age z-scores at 4–6, 9–12, and 21–24 months were calculated using corrected age, while annual BMI-for-age z-scores from 3 to 6 years were based on chronological age22. We calculated weight-for-age and BMI-for-age z-scores separately for boys and girls based on their sex. Corrected age for preterm infants is calculated by subtracting the number of weeks or months born early (prior to the due date) from the chronological age. All anthropometric measurements were directly taken at certified medical institutions.
Outcome - obesity
Obesity at age 6 was defined as a BMI-for-age and sex ≥ 95th percentile at 6 years22.
Birth weight and gestational age
Infants were categorized by birth weight: low birth weight (LBW, 1.5–2.5 kg); very low birth weight (VLBW, 1.0–1.5 kg); and extremely low birth weight (ELBW, < 1.0 kg). They were also classified by gestational age: late preterm (34–36 weeks), moderately preterm (32–33 weeks), very preterm (28–31 weeks), and extremely preterm (< 28 weeks)37.
Confounder
Exclusive breastfeeding was defined as feeding only breast milk, excluding formula milk feeding and combined formula and breast milk feeding, during the initial 4–6 months screening38. Birth residence was categorized into Seoul, metropolitan, city and rural39. Socioeconomic status was categorized into low (≤ 25th percentile), intermediate (25th–≤75th percentile), and high (> 75th percentile)40. Year of birth was categorized into 2008–2010, 2011–2013, and 2014–2015. Perinatal status included the primary diagnosis with the International Classification of Diseases, 10th revision (ICD-10) codes P10 X–P96X. Congenital malformation included the primary diagnosis with ICD-10 codes Q00X–Q89X, and chromosomal anomalies were classified under Q90X–Q99X.
Statistical analysis
Continuous variables were analyzed using t-tests, and categorical variables using chi-square tests. Cohen’s d assessed z-score differences at each screening, with effect sizes classified as small (0.2–0.5), medium (0.5–0.8), or large (≥ 0.8)41. The “Z-score change” at each interval was defined as the difference between the z-scores of two consecutive time points for each individual infant (e.g., Zi, t − Zi, t − 1). The values reported in Supplementary Table 2 represent the mean of these individual-level changes, rather than the direct subtraction of group mean z-scores. “The difference in z-score change” was determined as the difference in z-score changes between the two groups at each time point. We did not perform statistical tests for repeated measures (e.g., linear mixed models or repeated-measures ANOVA) because the primary focus of our analysis was the nested case–control design at 6 years of age. The trajectories of z-scores from birth to 6 years were presented solely for descriptive purposes in the supplementary tables. Logistic regression identified obesity risk factors at age 6, adjusting for birth and demographic factors, NICU admission, feeding type, socioeconomic status, and congenital conditions.
To determine optimal z-scores for obesity, logistic regression analyzed BMI z-scores at each screening, adjusting for confounders. ROC curves and Youden’s Index (Sensitivity + Specificity − 1) were calculated for LBW, VLBW, and ELBW infants. The α = 0.2 threshold balanced sensitivity and specificity, optimizing the trade-off between over-identification and missed diagnoses. By prioritizing the reduction of false negatives, our model enhanced clinical applicability in identifying infants at the highest risk of obesity at age 642. Statistical analyses were conducted using SAS statistical software version 9.4 (SAS Institute), and a 2-sided P-values < 0.05 were considered statistically significant. For a detailed explanation of the statistical analysis, refer to Supplementary Methods.
Ethics declarations
The Institutional Review Board of the Hallym University Kangnam Sacred Heart Hospital approved the study protocol (HKS 2024-07-022) and waived informed consent, as the study used de-identified, publicly available data in Korea. The use of de-identified individual data for research purposes was authorized under the National Health Insurance Act. This study conforms to the STROBE (Strengthening the Reporting of Observational Studies in Epidemiology) guidelines for observational studies.
Data availability
This study was based on data from the National Health Claims Database established by the National Health Insurance Service of the Republic of Korea. Applications for using National Health Insurance Service data are reviewed by the Inquiry Committee of Research Support, and if the application is approved, raw data are provided to the applicant for a fee. We cannot provide access to the data, analytical methods, and research materials to other researchers because of the intellectual property rights held by the National Health Insurance Corporation. However, investigators who wish to reproduce our results or replicate the procedure can use the database, which is open for research purposes (https://nhiss.nhis.or.kr/ accessed on July 7, 2023).
References
Chawanpaiboon, S. et al. Global, regional, and National estimates of levels of preterm birth in 2014: a systematic review and modelling analysis. Lancet Glob Health. 7, e37–e46. https://doi.org/10.1016/s2214-109x(18)30451-0 (2019).
Ohuma, E. O. et al. National, regional, and global estimates of preterm birth in 2020, with trends from 2010: a systematic analysis. Lancet 402, 1261–1271. https://doi.org/10.1016/s0140-6736(23)00878-4 (2023).
Ingol, T. T. et al. Underdiagnosis of obesity in pediatric clinical care settings among children born preterm: a retrospective cohort study. Int. J. Obes. (Lond). 45, 1717–1727. https://doi.org/10.1038/s41366-021-00834-1 (2021).
Yitayew, M., Chahin, N., Rustom, S. & Thacker, L. R. Hendricks-Muñoz, K. D. Fenton vs. Intergrowth-21st: postnatal growth assessment and prediction of neurodevelopment in preterm infants. Nutrients https://doi.org/10.3390/nu13082841 (2021).
Agency for Healthcare Research and Quality. Transitioning Newborns from NICU to Home, (2013). https://www.ahrq.gov/patient-safety/settings/hospital/resource/nicu/packet/apb.html
Hui, L. L., Lam, H. S., Leung, G. M. & Schooling, C. M. Late prematurity and adiposity in adolescents: evidence from children of 1997 birth cohort. Obes. (Silver Spring). 23, 2309–2314. https://doi.org/10.1002/oby.21267 (2015).
Vohr, B. R. et al. Extreme preterm infant rates of overweight and obesity at school age in the SUPPORT neuroimaging and neurodevelopmental outcomes cohort. J. Pediatr. 200, 132–139e133. https://doi.org/10.1016/j.jpeds.2018.04.073 (2018).
Su, Y. Y. et al. Long-term effects on growth in preterm and small for gestational age infants: A National birth cohort study. Pediatr. Neonatol. 66, 168–175. https://doi.org/10.1016/j.pedneo.2024.06.007 (2025).
O’Shea, T. M. et al. Association of growth during infancy with neurodevelopment and obesity in children born very preterm: the environmental influences on child health outcomes cohort. J. Pediatr. 271, 114050. https://doi.org/10.1016/j.jpeds.2024.114050 (2024).
O’Shea, T. M. et al. Growth during infancy after extremely preterm birth: Associations with later neurodevelopmental and health outcomes. J. Pediatr. 252, 40–47.e45 (2023). https://doi.org/10.1016/j.jpeds.2022.08.015
Taveras, E. M. et al. Weight status in the first 6 months of life and obesity at 3 years of age. Pediatrics 123, 1177–1183. https://doi.org/10.1542/peds.2008-1149 (2009).
Weng, S. F., Redsell, S. A., Swift, J. A., Yang, M. & Glazebrook, C. P. Systematic review and meta-analyses of risk factors for childhood overweight identifiable during infancy. Arch. Dis. Child. 97, 1019–1026. https://doi.org/10.1136/archdischild-2012-302263 (2012).
Vasylyeva, T. L. et al. Obesity in prematurely born children and adolescents: follow up in pediatric clinic. Nutr. J. 12, 150. https://doi.org/10.1186/1475-2891-12-150 (2013).
Wood, C. T. et al. Antecedents of obesity among children born extremely preterm. Pediatrics https://doi.org/10.1542/peds.2018-0519 (2018).
Jeon, G. W. et al. Preterm infants fed nutrient-enriched formula until 6 months show improved growth and development. Pediatr. Int. 53, 683–688. https://doi.org/10.1111/j.1442-200X.2011.03332.x (2011).
Powell-Wiley, T. M. et al. Obesity and cardiovascular disease: A scientific statement from the American heart association. Circulation 143, e984–e1010. https://doi.org/10.1161/cir.0000000000000973 (2021).
Markopoulou, P., Papanikolaou, E., Analytis, A., Zoumakis, E. & Siahanidou, T. Preterm birth as a risk factor for metabolic syndrome and cardiovascular disease in adult life: A systematic review and Meta-Analysis. J. Pediatr. 210, 69–80e65. https://doi.org/10.1016/j.jpeds.2019.02.041 (2019).
Amadou, C. et al. Long-term health in individuals born preterm or with low birth weight: A cohort study. Pediatr. Res. https://doi.org/10.1038/s41390-024-03346-6 (2024).
Casirati, A. et al. Preterm birth and metabolic implications on later life: A narrative review focused on body composition. Front. Nutr. 9, 978271. https://doi.org/10.3389/fnut.2022.978271 (2022).
Cerasani, J. et al. Human Milk Feeding and Preterm Infants’ Growth and Body Composition: A Literature Review. Nutrients https://doi.org/10.3390/nu12041155 (2020).
World Health Organization. Obesity and overweight, (2024). https://www.who.int/news-room/fact-sheets/detail/obesity-and-overweight
Centers for Disease Control and Prevention. Definitions: Obesity and Weight Status, (2024). https://www.cdc.gov/nccdphp/dnpao/data-trends-maps/help/npao_dtm/definitions.html
Ong, K. K., Ahmed, M. L., Emmett, P. M., Preece, M. A. & Dunger, D. B. Association between postnatal catch-up growth and obesity in childhood: prospective cohort study. Bmj 320, 967–971. https://doi.org/10.1136/bmj.320.7240.967 (2000).
Park, H. et al. Metabolic complications of obesity in children and adolescents. Clin. Exp. Pediatr. 67, 347–355. https://doi.org/10.3345/cep.2023.00892 (2024).
Cheon, B. K., Bittner, J. M. P. & Pink, A. E. Contributions of subjective status to eating behaviors, obesity, and metabolic health across development. Appetite 204, 107735. https://doi.org/10.1016/j.appet.2024.107735 (2025).
Wood, C. T. et al. Effects of Breastfeeding, formula feeding, and complementary feeding on rapid weight gain in the first year of life. Acad. Pediatr. 21, 288–296. https://doi.org/10.1016/j.acap.2020.09.009 (2021).
Flores-Barrantes, P., Iguacel, I., Iglesia-Altaba, I., Moreno, L. A. & Rodríguez, G. Rapid weight Gain, infant feeding Practices, and subsequent body mass index trajectories: the CALINA study. Nutrients https://doi.org/10.3390/nu12103178 (2020).
Vizzari, G. et al. Postnatal growth of small for gestational age late preterm infants: determinants of catch-up growth. Pediatr. Res. 94, 365–370. https://doi.org/10.1038/s41390-022-02402-3 (2023).
Hwang, I. T. Long-term care, from neonatal period to adulthood, of children born small for gestational age. Clin. Pediatr. Endocrinol. 28, 97–103. https://doi.org/10.1297/cpe.28.97 (2019).
Mericq, V. et al. Long-term metabolic risk among children born premature or small for gestational age. Nat. Rev. Endocrinol. 13, 50–62. https://doi.org/10.1038/nrendo.2016.127 (2017).
Hokken-Koelega, A. C. S. et al. International consensus guideline on small for gestational age: etiology and management from infancy to early adulthood. Endocr. Rev. 44, 539–565. https://doi.org/10.1210/endrev/bnad002 (2023).
Kim, S. et al. Consumption of Sugar-Sweetened beverages before 2 years of age and Attention-Deficit/Hyperactivity disorder. Ann. Nutr. Metab. 80, 276–286. https://doi.org/10.1159/000539458 (2024).
Jeon, G. W. et al. Long-Term mental health outcomes of bronchopulmonary dysplasia in neonates: an 18-Year National cohort study. J. Pediatr. 276, 114341. https://doi.org/10.1016/j.jpeds.2024.114341 (2025).
Yoon, S. A., Lee, M. H. & Chang, Y. S. Impact of time to full enteral feeding on long-term neurodevelopment without mediating by postnatal growth failure in very-low-birth-weight-infants. Sci. Rep. 13, 2990. https://doi.org/10.1038/s41598-023-29646-1 (2023).
Sharma, D., Farahbakhsh, N., Shastri, S. & Sharma, P. Intrauterine growth restriction - part 2. J. Matern Fetal Neonatal Med. 29, 4037–4048. https://doi.org/10.3109/14767058.2016.1154525 (2016).
Aris, I. M., Kleinman, K. P., Belfort, M. B., Kaimal, A. & Oken, E. A 2017 US reference for Singleton birth weight percentiles using obstetric estimates of gestation. Pediatrics https://doi.org/10.1542/peds.2019-0076 (2019).
Rysavy, M. A. et al. An Immature Science: Intensive Care for Infants Born at ≤ 23 Weeks of Gestation. J. Pediatr. 233, 16–25.e11 (2021). https://doi.org/10.1016/j.jpeds.2021.03.006
Kang, S. et al. Growth in exclusively breastfed and Non-exclusively breastfed children: comparisons with WHO child growth standards and Korean National growth charts. J. Korean Med. Sci. 36, e315. https://doi.org/10.3346/jkms.2021.36.e315 (2021).
Kim, J. H. et al. Diverse weaning foods and diet patterns at multiple time points during infancy period and their association with neurodevelopmental outcomes in 6-year-old children. Eur. J. Clin. Nutr. https://doi.org/10.1038/s41430-024-01528-3 (2024).
Han, T. H. et al. Early onset and increasing disparities in neurodevelopmental delays from birth to age 6 in children from low socioeconomic backgrounds. J. Neurodev Disord. 16, 60. https://doi.org/10.1186/s11689-024-09577-2 (2024).
Sullivan, G. M. & Feinn, R. Using effect Size-or why the P value is not enough. J. Grad Med. Educ. 4, 279–282. https://doi.org/10.4300/jgme-d-12-00156.1 (2012).
Vickers, A. J., van Calster, B. & Steyerberg, E. W. A simple, step-by-step guide to interpreting decision curve analysis. Diagn. Progn Res. 3, 18. https://doi.org/10.1186/s41512-019-0064-7 (2019).
Funding
This research was supported by a grant from the Korea Health Technology R&D Project through the Korea Health Industry Development Institute (KHIDI), funded by the Ministry of Health and Welfare, Republic of Korea (grant number: HR22C1605-C). This work was supported by a National Research Foundation of Korea (NRF) grant funded by the Korea Government (MSIT) (No. RS-2022-NR070174). The funders played no role in the study design, data collection and analysis, decision to publish, or manuscript preparation.
Author information
Authors and Affiliations
Contributions
G.W.J. and M.Y.H. conceptualized and designed the study, designed the data collection instruments, drafted the initial manuscript, and critically reviewed and revised the manuscript.S.L. conceptualized and designed the study, and critically reviewed and revised the manuscript.J.S., E.K.H., J.H.K., M.S.K., and B.H. designed the data collection, collected data, carried out the initial analyses, and critically reviewed and revised the manuscript.All authors approved the final manuscript as submitted and agree to be accountable for all aspects of the work.
Corresponding authors
Ethics declarations
Competing interests
The authors declare no competing interests.
Additional information
Publisher’s note
Springer Nature remains neutral with regard to jurisdictional claims in published maps and institutional affiliations.
Supplementary Information
Below is the link to the electronic supplementary material.
Rights and permissions
Open Access This article is licensed under a Creative Commons Attribution-NonCommercial-NoDerivatives 4.0 International License, which permits any non-commercial use, sharing, distribution and reproduction in any medium or format, as long as you give appropriate credit to the original author(s) and the source, provide a link to the Creative Commons licence, and indicate if you modified the licensed material. You do not have permission under this licence to share adapted material derived from this article or parts of it. The images or other third party material in this article are included in the article’s Creative Commons licence, unless indicated otherwise in a credit line to the material. If material is not included in the article’s Creative Commons licence and your intended use is not permitted by statutory regulation or exceeds the permitted use, you will need to obtain permission directly from the copyright holder. To view a copy of this licence, visit http://creativecommons.org/licenses/by-nc-nd/4.0/.
About this article
Cite this article
Jeon, G.W., Shin, J., Ha, E.K. et al. Optimal weight gain to reduce obesity risk in preterm infants in a National cohort study. Sci Rep 16, 4395 (2026). https://doi.org/10.1038/s41598-025-34404-6
Received:
Accepted:
Published:
Version of record:
DOI: https://doi.org/10.1038/s41598-025-34404-6





