Fig. 3
From: A flexible extension of the log-logistic model with diverse failure rate shapes and applications

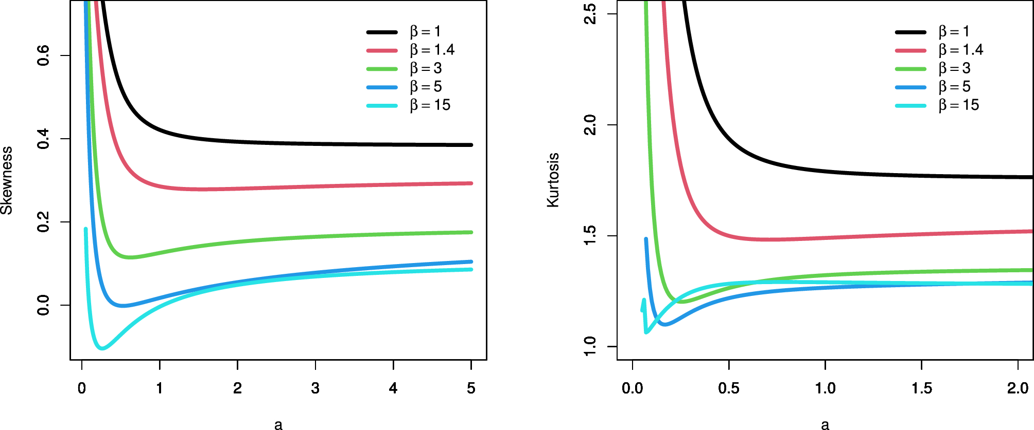
The plots of BSK and MKU measures of the KAPLL distribution for some parametric values.
From: A flexible extension of the log-logistic model with diverse failure rate shapes and applications

The plots of BSK and MKU measures of the KAPLL distribution for some parametric values.