Abstract
Survival prediction in patients with esophageal cancer is receiving a lot of attention from sarcopenia, myosteatosis, and systemic immune-inflammatory index (SII). The aim of this study was to investigate the survival prediction value of these parameters in esophageal cancer patients treated with immune checkpoint inhibitors (ICIs). Retrospective analysis of 178 patients with esophageal cancer who received immunotherapy and CT imaging. X-tile plots were utilized to determine optimal survival thresholds for skeletal muscle density (SMD), skeletal muscle index (SMI), and SII. The relationship between these parameters and patients’ overall survival (OS) and progression-free survival (PFS) was explored by Cox regression modeling and survival curve analysis. For OS, the Fine-Gray test was used to analyze competing risks. In addition, correlation and interaction analyses were performed on these indicators. Sarcopenia (mOS 10.3 months vs. 23.6 months; P < 0.001), and myosteatosis (mOS 13.0 months vs. 23.4 months; P = 0.008), high SII (14.4 months vs. 40.7 months; P = 0.002) were associated with poor OS. Multifactorial regression showed that sarcopenia (HR: 2.15; 95%CI: 1.19 ~ 3.88; P = 0.012), myosteatosis (HR: 2.34; 95%CI: 1.31 ~ 4.18; P = 0.004), and high SII (HR: 1.91; 95%CI: 1.15 ~ 3.18; P = 0.013) were the independent risk factors for OS in patients with esophageal cancer, but not for PFS. No significant association was found between sarcopenia, myosteatosis, or a high SII and non-cancer mortality in the competing risk model. In addition, there was a low positive correlation (r = 0.219, P = 0.004) and interaction (p = 0.008) between sarcopenia and myosteatosis. The SMI-SMD-SII score was established, and OS was significantly shorter in patients with score ≥ 2 than in patients with score = 0 and 1 (p < 0.001). This study found that sarcopenia, myosteatosis, and SII correlate significantly with survival in patients with advanced esophageal cancer receiving immunotherapy. However, the OS-PFS discrepancy may be confounded by subsequent therapies and does not directly reflect initial efficacy. Prospective studies are needed to validate these findings and inform personalized treatment.
Introduction
Sarcopenia, a disease characterized by a reduction in skeletal muscle mass and function, has become an important predictor of clinical prognosis in several cancers. Myosteatosis, manifested as a decrease in skeletal muscle radiodensity (SMD), reflects fatty infiltration in the muscle. SMD assessed by CT is strongly correlated with physical function and can more effectively identify the risk of dysfunction1. Based on the guidelines of the European Consensus2, it was necessary in this study to have explored simultaneously the reduction in muscle number, the loss of muscle mass, and their impact on muscle function for a more comprehensive diagnosis of sarcopenia. Esophageal cancer is a common malignant tumor worldwide, ranking eighth and sixth in incidence and mortality, respectively3, The situation is particularly critical in China, where it ranks fifth in deaths4. Studies in recent years have shown that sarcopenia and myosteatosis are strongly associated with reduced overall survival, diminished therapeutic efficacy, and increased postoperative complications among patients with esophageal cancer5,6.
Immune checkpoint inhibitors (ICIs) are effective in treating esophageal cancer, prolonging survival and increasing treatment efficacy. Given their success, there is growing interest in identifying patient populations sensitive to ICI therapy and exploring factors that can influence treatment outcomes through interventions. Body composition assessment has gained renewed importance in this context. Studies confirm that sarcopenia and myosteatosis correlate with poorer prognosis and treatment response in other cancers treated with ICIs (e.g., gastric cancer7, hepatocellular carcinoma8, lung cancer9, colorectal cancer10. Systemic inflammation may be an important driver of muscle degeneration in patients with advanced disease, and this inflammatory cycle may further promote tumor aggressiveness or reduce treatment response. Thus, we hypothesize these factors effectively stratify esophageal cancer patients with poor survival.
The relationship between muscle depletion status and prognosis in cancer patients is independent of overall body weight11, especially when considering specific body composition conditions such as muscle-sparing obesity. In contrast, analyses performed with computed tomography (CT) images can reveal more insight into the hidden muscle wasting in patients. However, when patients undergo CT examinations to assess outcomes, chest CT is often the primary focus rather than abdominal CT. Notably, it has been found that when assessing the prognosis of patients with esophageal cancer, muscle measurements at both the L3 and T4 levels show a correlation with survival12,13. Thus, sarcopenia and myosteatosis can be CT images at the level of the fourth thoracic vertebrae (T4) for quantitative assessment, providing feasibility for this clinical endeavor.
The main objective of this study was to investigate the relationship and interaction between sarcopenia, myosteatosis, and its ability to effectively predict survival in patients undergoing immunotherapy for locally advanced unresectable and metastatic esophageal cancer (EC). We also aim to assess the potential prognostic impact of inflammation in patients prior to immunotherapy. By combining these factors, we expect to provide a more precise basis for personalized treatment strategies for patients with esophageal cancer, thereby enhancing treatment outcomes and improving patients’ quality of life.
Materials and methods
Study population
This is a retrospective study of 178 patients from January 2019 to October 2023 in the 900th Hospital of the United Nations Security Forces. Inclusion criteria were as follows: (1) patients diagnosed with esophageal cancer after electron endoscopy combined with histopathology and radiographic imaging; (2) aged ≥ 40 years; (3) receiving immunotherapy at our center; (4) patients who have previously undergone radical surgery or radical radiotherapy for esophageal cancer and have recurred or metastasized more than 6 months after the end of treatment; (5) patients who had a previous surgery with an R0 resection and had not undergone R2 resection and/or noncomplete resection due to metastasis and underwent R2 resection and/or non-complete resection; (6) patients with unresectable esophageal cancer who had not received curative surgical treatment or radical radiotherapy, including stage II-IV patients. The exclusion criteria were as follows: (1) patients who did not undergo CT examination at our center 4 months before and 1 week after immunotherapy; (2) patients who did not have complete CT images; and (3) patients who underwent radical surgical treatment within 6 months before immunotherapy. The patient screening process is shown in Fig. 1. This study was conducted in accordance with the Declaration of Helsinki and was approved by the Ethics Committee of the 900th Hospital of the United Services Security Force (No. 2024-030). All participants signed informed consent forms.
Data collection
Information was collected according to the hospital electronic medical record system, including age, gender, Eastern Cooperative Oncology Group (ECOG) performance and tumor and treatment information, including pathology type tumor stage, metastasis, number of metastatic organs, surgical history, radiotherapy history, line of treatment, and immunotherapy regimen. Body mass index (BMI) = weight (kg)/height (m²) was calculated. Pre-treatment platelet count, neutrophils, and lymphocytes were detected, and pre-treatment systemic immunoinflammatory index (SII, SII = platelets×neutrophils/lymphocytes) was calculated. The date of treatment initiation was recorded and patients were observed until death to determine overall survival (OS) as the primary endpoint. The secondary endpoint progression-free survival (PFS) was defined as the time from treatment initiation to disease progression or death.
T4 level selection
Review of esophageal cancer patients usually uses chest CT as the main examination, so it is difficult to obtain complete abdominal CT images. At present, the assessment of L3 level focuses on lumbar muscles such as psoas major and pectoral muscles, and pectoral muscles are not sufficiently concerned, while the assessment of pectoral muscles at T4 level can make up for this shortcoming, and at the same time, some studies have observed that the muscle indexes measured at T4 level are associated with the prognosis of breast cancer14, diffuse large B15, and lung cancer16, and so on. Many studies have confirmed the good consistency and correlation between muscle indices measured at different vertebral levels17,18,19, in which muscle area at the T4 level is closely correlated with the L3 level, with a correlation coefficient of up to 0.79120, which is comparable to the traditional L3 criterion in the assessment of efficacy in sarcopenia12. At the same time, due to the high number of muscles at the T4 level, the measured SMI values were significantly higher than L321. This makes it possible to measure muscle-related markers using chest CT scans, which are routinely performed in the clinic.
SMI and SMD measurements
Pre-immunotherapy CT images were obtained from the imaging system of the healthcare facility, with a mean scan time of 4 days before immunotherapy, a range of -4 days to 3 months, a layer thickness of 3.00–5.00 mm, and a peak voltage of 120 kv. Measurements were made by the same investigator using Slice-O-matic 5.0 software (Tomo-Vision, Canada) software. Skeletal muscle area (cm²) and mean skeletal muscle density (Hounsfield units (HU)) on single-layer cross-sectional CT images at the level of the spinous processes of the T4 vertebrae. Quantify the predetermined threshold for muscle in the basal or polyarterial phase, ranging from − 29 to + 150 HU22. Muscle area included the cross-sectional area of the pectoralis, intercostal, paraspinal, serratus, and vastus muscles in the T4 plane, and could be derived from manual outlining of tissues followed by automatic calculation by the software (Supplementary Fig. 1). Skeletal muscle index (SMI) = total area of skeletal muscle in the T4 plane (cm²)/height squared (m²), and SMD assessed the entire muscle area at the T4 level. Low SMI was localized as sarcopenia and low SMD was defined as myosteatosis.
Diagnostic cut-off points for relevant indicators
The X-Tile software (vision 3.6.1) is a freely available tool from Yale University for obtaining optimal cutoff values. This study used X-tile plots to obtain the minimum p-value for the Log-Rank χ2 test based on OS to calculate the diagnostic thresholds for SMI in males and females, respectively. The optimal cutoff values for SMD and SII classification were also obtained.
Treatment plan
Patients were treated with ICIs such as camrelizumab, pembrolizumab, nivolumab, sintilimab, tislelizumab, and toripalimab at standard doses and schedules, depending on their tumor type indication. Participants received the drugs every 3 weeks by intravenous injection, either alone or in combination with chemotherapy and/or radiation until disease progression, unacceptable toxicities occur, or the patients were unwilling to continue treatment. Toripalimab was administered at a dose of 240 mg every 3 weeks, and the other PD-1/PD-L1 inhibitors were administered at a dose of 200 mg every 3 weeks. The factors that make a patient’s surgery unresectable cover the following areas: the tumor is located in the neck, an area that is difficult to reach surgically; the patient’s advanced age; the choice of personal will, i.e., the patient’s active refusal to undergo surgical treatment; and the fact that the tumor has progressed to an advanced stage.
Statistical analysis
Categorical variables were presented as frequencies and percentages. Kaplan-Meier method and Log-Rank test were used to construct survival curves. The effects of sarcopenia, myosteatosis, and SII on OS and PFS were assessed via univariate and multivariate Cox proportional hazards regression models. Model assumptions were validated using Schönfeld residuals and variance inflation factors (VIF). For OS, the Fine-Gray test was used to analyze competing risks, with cancer-related death as the event of interest and non-cancer death as the competing event. The Fine-Gray model was not used for PFS due to low incidence of competing events less than 5%. Efficacy analysis was conducted based on the results of the competing risk model. Secondary analyses included chi-square tests for correlations among sarcopenia, myosteatosis, and SII, restricted cubic splines for non-linear associations, multiplicative interaction and subgroup analyses under Cox models, and a scoring system for cumulative effects. Power analysis was performed with PASS 2023 software. All analyses were conducted using SPSS 26.0 and R language (version 4.3.2). All tests were two-tailed; p < 0.05 indicates statistically significant differences.
Result
Determining the optimal threshold for sarcopenia, myosteatosis, and SII
For SMI, gender-specific OS-related thresholds were determined23. The critical values for SMI were 56.1 cm²/m² for males and 52.1 cm²/m² for females, respectively, and patients less than or equal to the critical values were defined as patients with sarcopenia, and those higher than the critical values were defined as patients with non-sarcopenia, and ultimately 11 female (6.2%) and 16 male (9%) patients were enrolled, respectively, into the sarcopenia group. Some studies used the same cutoff for both sexes when exploring the optimal cutoff value for SMD24. We used 38.5 as the cutoff value, and those below 38.5 HU were patients with myosteatosis, of whom 30 (16.9%) were muscular steatosis and the remaining 148 (83.1%) were non- myosteatosis. In addition, with an SII cutoff value of 682.2, 62.4% and 37.6% were included in the high and low value groups, respectively. The results are shown in Supplementary Fig. 2.
Patient demographic information and tumor characteristics
Data were collected from 178 patients with esophageal cancer. All patients had ECOG scores ≤ 2, with 91.6% having ≤ 1. In terms of gender distribution, male patients constituted the majority, accounting for 80.9%. The average age of the patients was 61.78 years (between 41 and 80 years), among which 33.1% of the patients were over 65 years old. Additionally, 33.1% of the patients had a BMI index below 19 kg/m². The majority of the patients had moderately or poorly differentiated tumors, accounting for 67.4%. In the assessment of body composition, 15.2% were included in the sarcopenia group, and 16.9% were diagnosed with myosteatosis. According to the cutoff value of SII, 62.4% of the patients were included in the high SII group, and 37.6% were included in the low SII group. Distant metastasis occurred in 47.2%, and 21.9% of the patients had metastasis to 2 or more organs. The baseline characteristics of the patients are shown in Table 1.
Survival analysis of sarcopenia, myosteatosis, and SII
All indicators satisfy the assumption of equal proportional risk and exclude covariance (Supplementary Table 1). Kaplan-Meier curves showed that patients with sarcopenia (mOS 10.3 vs. 23.6 months; P < 0.001, Fig. 2A), myosteatosis (mOS 13.0 vs. 23.4 months; P < 0.001, Fig. 2B), and high SII for (mOS 14.4 vs. 40.7 months; P = 0.002, Fig. 2C) had poorer OS than patients with non-sarcopenia, non-myosteatosis, and low SII. The results of KM analysis for the remaining variables are presented in Supplementary Figs. 3 and 4. Univariate and multivariate analyses showed that sarcopenia (HR: 2.15; 95%CI: 1.19–3.88; P = 0.012, Table 2), myosteatosis (HR: 2.34; 95%CI: 1.31–4.18; P = 0.004, Table 2), and high SII (HR: 1.91; 95%CI: 1.15–3.18; P = 0.013, Table 2) were independent predictors of OS. Further analysis of the competing risk model revealed that the non-cancer mortality risks for patients with sarcopenia (sHR: 2.63; 95% CI: 1.38–5.00; P = 0.003, Table 3), myosteatosis (sHR: 1.86; 95% CI: 1.08–3.18; P = 0.024, Table 3), and high SII (sHR: 2.24; 95% CI: 1.28–3.92; P = 0.005, Table 3) were not statistically significant. After controlling for the competing risk events, there were statistically significant differences in the cumulative incidence rates of the outcome events between the two groups in SMI, SMD, and SII, while there were no statistically significant differences in the cumulative incidence rates of the competing risk events. Based on the competing risk model, with the associations between sarcopenia, myosteatosis, and SII and OS as the primary endpoints, the power analysis indicated that a sample size of 178 would yield a test power close to 100%, and the sample size was sufficient to detect the pre-specified effect size (Supplementary Table 2).
In contrast, sarcopenia, myosteatosis, and high SII were not significantly correlated with PFS (Table 3; Fig. 3A-C). These three indicators were combined into a new scoring system, the SII-SMI-SMD score, which is divided into 0, 1, 2, and 3 points, indicating 0–3 positive indicators. The PFS and OS of this score are shown (Figs. 2 and 3D), with mPFS of 14.8, 10.9, and 5.7 months for scores of 0, 1, and ≥ 2, respectively (P = 0.006), and mOS of 18.9 and 9.0 months for scores of 1 and ≥ 2, respectively (P < 0.001).
Staging subgroup analysis of sarcopenia, myosteatosis
Kaplan-Meier curves showed that stage Ⅳ patients with sarcopenia, myosteatosis had worse OS (P < 0.001; P = 0.008, Supplementary Fig. 5A, 5 C), which was not significantly associated with worse PFS. Stage II/III patients with sarcopenia and myosteatosis were significantly associated with worse OS and PFS (Supplementary Fig. 6).
Relationship between sarcopenia, myosteatosis, and SII
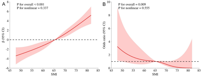
There was a significant but very weak correlation between sarcopenia and myosteatosis (R = 0.219, P = 0.004, Table 4). The study flexibly modeled the relationship between continuous SMI values and SMD values, myosteatosis, based on the Restricted Cubic Spline Curve (RCS) (Fig. 4). The results showed a linear correlation between continuous SMI and SMD (P for overall < 0.001, P for nonlinear = 0.337, Fig. 4A), with a progressive decrease in the risk of developing myosteatosis as SMI gradually increased (Fig. 4B). The same weak correlation was found between the categorical index SII and sarcopenia and myosteatosis (P = 0.004, Table 4).
Subgroup interaction analysis of sarcopenia and myosteatosis
Under the COX model, there was a significant multiplicative interaction for the analysis based on sarcopenia and myosteatosis (Multiplicative scale = 0.24; 95% CI: 0.07–0.79; P = 0.019, Table 5). Patients with sarcopenia without myosteatosis had a 4.84 times higher risk than patients with neither (OR: 2.33–10.07; P < 0.001, Table 5), patients with myosteatosis without sarcopenia had a 3.39 times higher risk than patients with neither (OR: 1.85–6.23; P < 0.001), and the risk of having both myosteatosis and sarcopenia was a 3.93times (OR: 3.93; 95%CI: 1.56–9.89; P = 0.004, Table 5). In a subgroup interaction analysis, in non-myosteatosis, patients with sarcopenia had a 3.44 times higher survival risk than those with non-sarcopenia (P < 0.001, P for interaction = 0.025), with a non-significant p-value in the other subgroup (Fig. 5).
Discussion
In this study, we analyzed the effect of body composition at the T4 vertebral level on survival in immunotherapeutic esophageal cancer patients. The results showed that skeletal muscle abnormalities were frequent among esophageal cancer patients, with approximately 15.2% having sarcopenia and 16.9% having myosteatosis before immunotherapy. After multivariate analysis, both sarcopenia and myosteatosis were found to be associated with poorer OS after immunotherapy, but not with PFS. The simultaneous presence of both conditions significantly shortened survival, although the risk of death was lower compared to having sarcopenia or myosteatosis alone. In addition, this study observed thatSII not only both independently predicted survival prognosis in esophageal cancer patients, but also had a synergistic effect when combined with sarcopenia and myosteatosis.
Indeed, the association between sarcopenia, myosteatosis and poorer OS in patients receiving immunotherapy has been confirmed by many studies. For example, a retrospective study by Kim et al. found that sarcopenia was significantly associated with lower OS in patients with hepatocellular carcinoma treated with nivolumab8. Similarly, in patients with metastatic melanoma treated with nivolumab, low SMD was identified as an unfavorable prognostic factor for poorer OS25. Deng et al. further noted that approximately one-third of ICI-treated patients with gastric cancer developed sarcopenia and myosteatosis, which were significantly associated with shorter PFS and OS, serving as independent predictors7. Meanwhile, several other studies26 concluded that pretreatment sarcopenia was associated with shorter OS, but not with shorter PFS. Our findings align with this current consensus. However, some studies have found that myasthenia gravis and myosteatosis have better PFS performance rather than OS27. This discrepancy may be attributed to differences in tumor types and populations. Our study found the same strong association between sarcopenia, myosteatosis, and immunotherapy in the esophageal cancer immunotherapy population.
In the present study, we found that although sarcopenia, myosteatosis, and high SII were not significantly associated with PFS with ICI treatment, they all independently predicted OS shortening, suggesting that host factors influence survival through mechanisms that transcend short-term tumor progression. In the present study, we found that although sarcopenia, myosteatosis, and high SII were not significantly associated with PFS in patients receiving ICI treatment, they all independently predicted OS shortening. This discrepancy suggests a potential difference in the impact of these host factors on short-term tumor progression and long-term survival outcomes. ICI exert their anti-tumor effects by activating T cells. Their clinical efficacy often lags behind that of traditional chemotherapy, and it usually takes several treatment cycles to observe tumor regression or stabilization28. Skeletal muscle, a key source of interleukin-15, supports NK cell development and T cell homing via paracrine signaling, maintaining T cell function and inhibiting exhaustion29. Sarcopenia reduces cytokine secretion, decreasing muscle-infiltrating lymphocytes and natural killer cells, impairing antitumor immunity, and potentially compromising long-term immune checkpoint inhibitor efficacy via T cell mitochondrial dysfunction30. Myosteatosis-related insulin resistance and lipoprotein dysregulation may affect T cell energy metabolism via the mTOR pathway31,32, weakening long-term immune responses. This slower process explains the lack of significant impact on progression-free survival, though it provides a biological basis for shortened overall survival with specific drivers requiring further clarification. Fine-Gray competing risk analysis showed no significant associations between sarcopenia, myosteatosis, high SII, and non-cancer-related death or cancer progression and recurrence. Ruling out these factors, we hypothesize the OS-PFS discrepancy primarily stems from subsequent treatment variations such as post-progression therapy accessibility and intensity, with immune mechanisms as synergistic rather than primary drivers. Clinically, esophageal obstruction-induced malnutrition exacerbates muscle loss in esophageal cancer patients, forming a vicious cycle of deteriorating status, reduced treatment tolerance and diminished survival benefits — more pronounced in squamous cell carcinoma due to severe inflammation and eating disorders. While sarcopenia correlates with paclitaxel-induced neuropathy in breast cancer33, immune checkpoint inhibitor toxicity rates do not differ by sarcopenia, myosteatosis, or SII34, Nevertheless, these patients face dual challenges: suboptimal ICI response and poor tolerance to post-progression therapies. Insufficient tolerance may lead to dose reductions or treatment termination, shortening post-progression control, whereas more tolerant patients benefit from multi-line therapy cumulative effects to prolong survival.
In addition, SII has been shown to be an independent risk factor for recurrence and survival in patients with multiple tumors35,36,37. The results of the present study are consistent with previous studies that SII independently predicts survival outcomes in EC patients. Chronic inflammation with high SII values may promote angiogenesis and immunosuppressive cell infiltration in the tumor microenvironment, which theoretically would accelerate tumor progression and shorten PFS, but this association was not observed in the present study, which may be related to the fact that esophageal squamous carcinomas are often accompanied by stromal fibrosis and chronic inflammation, and short-term tumor progression is more reliant on driving pathways such as epithelial mesenchymal transition. On the contrary, high SII values are often accompanied by thrombocytopenia or neutrophilia and lymphocytopenia. Thrombocytosis stimulates tumor angiogenesis, improves tumor cell survival, and evades immune attack38,39, while indirectly activating lymphocytes and promoting the production of specific CD8 T cells40,41. Neutrophilia promotes tumor proliferation and metastasis, and its activation often serves as a negative regulator of antitumor immunity42,43,44. Decreased numbers of lymphocytes, especially CD4 + T cells, lead to a decrease in IFN-γ, TNF-α, and other cytokine secretion, weakening antitumor immunity and promoting tumor progression45. It increases the risk of nonneoplastic death during the long-term course of the disease and significantly affects OS. Given the consensus of the European Society of Clinical Nutrition and Metabolism (ESPEN) panel on the diagnosis of malnutrition and the support of relevant studies46, we recommend that sarcopenia be included as part of the nutritional assessment. The status of sarcopenia reflects a state of malnutrition and immunosuppression and provides a favorable microenvironment for tumor recurrence. Malnutrition and immunologic status may lead to delays in surgery or adjuvant therapy, which in turn may affect patient prognosis. This suggests that worsening nutritional status may drive tumor progression by suppressing tumor immunity.
Previously, we found that sarcopenia and myosteatosis were strong predictors of prognosis, and SII has not been included yet, so we incorporated all three together into the model, and as a result, we found that the predictive effect of the new model was slightly better than that of the model consisting of both sarcopenia and myosteatosis. Therefore, in this study, we found that the inclusion of SII did improve prediction. We evaluated the prognosis of EC patients by the SMI-SMD-SII scoring system, which has not been reported yet. As hypothesized, when the more positive indicators a patient has, the lower their survival rate is, the predictive effect is gradually cumulative, and the results have some comprehensive predictive value. Of interest, studies have analyzed the correlation of inflammation with sarcopenia and myosteatosis47. There was no significant correlation or interaction between body composition and systemic immune-inflammatory index in the present study, and we hypothesized that it might be related to differences in index measurements, definition of cutoffs, target populations, disease states, and statistical methods. In fact, there might be some kind of connection between these two systems, but the mechanism is still unclear at present.
Some studies have revealed that sarcopenia and myosteatosis may be two separate biological processes24,48. However, this study found a significant weak positive correlation between them, with muscle mass increase associated with a stepwise decrease in myosteatosis risk, indicating the two are not completely independent — an association rarely explored in prior research. Subgroup interaction analysis showed that sarcopenia significantly increases the risk of death in patients with normal muscle density, and this risk is higher than that in patients with myosteatosis where the latter lacks statistical significance. Although the risk of death is significantly elevated when sarcopenia and myosteatosis coexist, multiplicative interaction analysis did not reveal an additive effect between the two, suggesting their impacts are not simply cumulative. Notably, a subset of patients with sarcopenia but myosteatosis not reaching the critical threshold exhibits disease characteristics similar to sarcopenic obesity but is not covered by current diagnostic criteria. We propose defining this group as understudied low muscle mass obesity population. Combined with the obesity paradox where overweight or obesity may yield better outcomes in some chronic diseases49,50,51, we hypothesize that sarcopenia may be the terminal stage of sarcopenic obesity. With aging, mitochondrial dysfunction and reduced physical activity lead to decreased metabolic rate, resulting in concurrent fat accumulation and muscle loss. Early muscle loss is often masked by increased fat, forming a pre-sarcopenic obesity phase. Expansion and redistribution of muscle tissue and systemic fat trigger hypoxia, inflammatory cell accumulation, and excessive secretion of inflammatory factors, thereby inducing adipose inflammation and deep immune cell infiltration with significant pro-inflammatory properties. Additionally, intramyocellular fat accumulation can disrupt glucose metabolism and protein synthesis through lipotoxic mechanisms, mitochondrial overload, inhibition of protein synthesis, and paracrine effects of preadipocytes, and may even induce muscle atrophy52. As inflammation intensifies, accelerated lipolysis and browning of white adipose tissue lead to significant adipose tissue atrophy, which is particularly evident in cachexia and systemic muscle atrophy31. Severe metabolic and nutritional imbalances cause a gradual decrease in muscle mass, and further induce fat loss against a backdrop of severe inflammation, marking sarcopenia’s progression to the terminal stage — at this point, the body exceeds its compensatory capacity, significantly increasing the risk of death. Thus, obesity does not exist in isolation but is closely associated with the progression, severity, and mortality risk of sarcopenia31.
A review by Li et al. showed that the mean prevalence of sarcopenia in esophageal cancer was 46.3% ± 19.6%, ranging from 14.4% to 81%53. The prevalence in the present study was lower than that average, possibly because of the influence of different races, study populations, ages, sex ratios, diagnostic methods and criteria, and other factors. Typically, muscle area at the L3 vertebral level is used to calculate the skeletal muscle index in esophageal cancer studies, whereas muscle area and density at the T4 vertebral level were measured in the present study, which may have led to different prevalence results. This study is innovative in providing research information on sarcopenia and myosteatosis in esophageal cancer patients undergoing immunotherapy and exploring the intrinsic relationship of body composition parameters.
This study innovatively provides evidence that sarcopenia, myosteatosis, and SII serve as multidimensional prognostic markers for esophageal cancer patients receiving immunotherapy, while exploring the intrinsic relationships among body composition parameters. By integrating muscle metabolic status and systemic inflammatory load, these markers address the limitations of single biological markers, offering a convenient and cost-effective stratification tool for clinical practice. For instance, pre-treatment assessment of psoas major muscle area via CT combined with SII calculation from complete blood count can rapidly identify high-risk patients for survival, thereby guiding nutritional support strategies and immunotherapy dosage adjustment. Moreover, the revealed “muscle-immune inflammation” interaction opens new avenues for exploring immunotherapy sensitization strategies targeting the muscle microenvironment, such as anti-inflammatory nutritional interventions. Clinically, early-stage patients can enhance skeletal muscle mass and regulate inflammation through resistance exercise combined with a high-protein diet. Patients undergoing immunotherapy require dynamic monitoring of relevant indicators to adjust nutritional and treatment plans promptly. Incorporating these markers into long-term follow-up facilitates early intervention, delays disease progression, and optimizes the whole-course management of esophageal cancer. Future research should validate the value of this marker system in guiding personalized therapy through large-scale prospective trials and further clarify the molecular mechanisms by which muscle quality influences immune response.
However, this study still has some limitations. Firstly, a major limitation of this study is the lack of complete data on recurrence patterns and detailed information on subsequent treatments, which prevents direct validation of the aforementioned hypothesis and full differentiation of the specific drivers underlying the discrepancy between OS and PFS. In addition, there is a lack of a uniform and widely accepted definition of the threshold values for sarcopenia and myosteatosis at the level of the fourth thoracic vertebrae, which poses a challenge to the assessment of the prevalence and its relationship with clinical prognosis. In addition, due to the diversity of CT scanning protocols, HU values for skeletal muscle may vary, complicating comparisons between studies. Weight loss was not included in this study, which is a limitation in evaluating the prognosis of patients with esophageal cancer. Future studies should emphasize the impact of weight loss on the prognosis of esophageal cancer patients to improve the assessment system. Given the limitations of this study regarding data collection and assessment criteria, future research could systematically collect information on recurrence patterns and details of subsequent treatments through prospective designs to validate the current hypothesis. Meanwhile, it is necessary to establish unified assessment criteria for sarcopenia and myosteatosis in esophageal cancer patients, and incorporate prognostic factors such as weight loss to enhance the clinical translation value of research conclusions.
The core innovation of this study lies in its focus on esophageal cancer patients undergoing immunotherapy, confirming that sarcopenia, myosteatosis, and SII can serve as multidimensional prognostic markers. It also explores the intrinsic correlations among these body composition parameters and identifies the “muscle-immune-inflammation” interaction mode. Compared with single biomarkers, the combined index integrating muscle metabolic status and systemic inflammatory load demonstrates greater potential for clinical stratification without incurring additional examination costs. For example, pre-treatment assessment of the psoas major muscle area via routine computed tomography combined with SII calculation using complete blood count data enables rapid identification of patients at high risk of poor survival, providing a reference for clinical interventions. Additionally, it offers novel research insights for exploring immunotherapy sensitization strategies targeting the muscle microenvironment, such as anti-inflammatory nutritional interventions. The findings of this study do not directly alter existing treatment strategies but optimize clinical management processes through precise risk stratification. For instance, high-risk patients with an SMI-SMD-SII score ≥ 2 should receive priority nutritional support and anti-inflammatory interventions before and during treatment, alongside dynamic monitoring of relevant indicators and shortened follow-up intervals. In contrast, low-risk patients may undergo routine treatment and follow-up to avoid overtreatment. Furthermore, these indicators can be integrated into the whole-course prognostic assessment system for esophageal cancer to inform subsequent treatment decisions. The clinical guiding value of this risk stratification tool requires further validation through prospective studies.
Certain limitations exist in this study, but most are common to retrospective research and have not affected the reliability of the core conclusions. First, the retrospective design is inherently prone to selection bias. Since this study only included patients who completed treatment and had complete imaging and follow-up data, it may have excluded those with poor treatment tolerance, early disease progression, or loss to follow-up, which could compromise the generalizability of our findings. Second, patients with advanced esophageal cancer exhibit heterogeneity in treatment strategies and disease biology. Subgroup analyses cannot fully eliminate confounding factors, and key variables need to be adjusted in future studies to ensure the stability of observed associations. Third, the lack of unified assessment criteria for relevant indicators and the exclusion of weight loss as a variable clarify directions for optimization in future research. Fourth, the retrospective design limits the direct demonstration of clinical decision-making guidance, leaving room for prospective investigations. Future research should adopt prospective multicenter designs, establish unified assessment standards, and systematically collect data on recurrence and subsequent treatments to further validate the generalizability and clinical applicability of the conclusions.
Conclusion
This study showed that sarcopenia, myosteatosis, and high SII correlated significantly with OS in esophageal cancer patients receiving immunotherapy, but not with PFS or non-cancer-related death risk. The OS-PFS discrepancy is observational; drivers like subsequent treatment differences remain unvalidated, so OS should not be directly regarded as a treatment efficacy marker. The OS-PFS discrepancy is observational and potential drivers such as differences in subsequent treatments remain unvalidated. Therefore, OS cannot yet be directly utilized as a marker of treatment efficacy in this context. Future prospective data collection is needed to clarify mechanisms and inform personalized therapy.
Data availability
The data supporting the findings of this study are available upon request from the corresponding author. The data are not publicly available because of privacy or ethical restrictions.
References
Williams, G. R. et al. Skeletal muscle measures and physical function in older adults with cancer: Sarcopenia or myopenia? Oncotarget 8, 33658–33665 (2017).
Cruz-Jentoft, A. J. et al. Sarcopenia: revised European consensus on definition and diagnosis. Age Ageing. 48, 16–31 (2019).
Morgan, E. et al. The global landscape of esophageal squamous cell carcinoma and esophageal adenocarcinoma incidence and mortality in 2020 and projections to 2040: new estimates from GLOBOCAN 2020. Gastroenterology 163, 649–658e2 (2022).
Han, B. et al. Cancer incidence and mortality in China, 2022. J. Natl. Cancer Cent. 4, 47–53 (2024).
Jogiat, U. M. et al. Sarcopenia reduces overall survival in unresectable oesophageal cancer: a systematic review and meta-analysis. J. Cachexia Sarcopenia Muscle. 13, 2630–2636 (2022).
Xiao, X. et al. Impact of skeletal muscle loss and sarcopenia on outcomes of locally advanced esophageal cancer during neoadjuvant chemoradiation. Ann. Surg. Oncol. 31, 3819–3829 (2024).
Deng, G. M. et al. Evaluating the influence of sarcopenia and myosteatosis on clinical outcomes in gastric cancer patients undergoing immune checkpoint inhibitor. World J. Gastroenterol. 30, 863–880 (2024).
Kim, N. et al. Incorporating sarcopenia and inflammation with radiation therapy in patients with hepatocellular carcinoma treated with nivolumab. Cancer Immunol. Immunother. 70, 1593–1603 (2021).
Shinohara, S. et al. Impact of sarcopenia on surgical outcomes in Non-small cell lung cancer. Ann. Surg. Oncol. 27, 2427–2435 (2020).
Lee, C. M. & Kang, J. Prognostic impact of myosteatosis in patients with colorectal cancer: A systematic review and meta-analysis. J. Cachexia Sarcopenia Muscle. 11, 1270–1282 (2020).
Lee, J. et al. Muscle radiodensity loss during cancer therapy is predictive for poor survival in advanced endometrial cancer. J. Cachexia Sarcopenia Muscle. 10, 814–826 (2019).
Arayne, A. A., Gartrell, R., Qiao, J., Baird, P. N. & Yeung, J. M. Comparison of CT derived body composition at the thoracic T4 and T12 with lumbar L3 vertebral levels and their utility in patients with rectal cancer. BMC Cancer. 23, 56 (2023).
Dabiri, S. et al. Muscle segmentation in axial computed tomography (CT) images at the lumbar (L3) and thoracic (T4) levels for body composition analysis. Comput. Med. Imaging Graph Off J. Comput. Med. Imaging Soc. 75, 47–55 (2019).
Miao, S. et al. Deep learning radiomics under multimodality explore association between muscle/fat and metastasis and survival in breast cancer patients. Brief. Bioinform. 23, bbac432 (2022).
Go, S. et al. Prognostic impact of sarcopenia in patients with diffuse large B-cell lymphoma treated with rituximab plus cyclophosphamide, doxorubicin, vincristine, and prednisone. J. Cachexia Sarcopenia Muscle. 7, 567–576 (2016).
Xia, H. et al. Prognostic value of skeletal muscle measured by CT at the T4 level in advanced EGFR-positive non-small cell lung cancer patients treated with ecotinib]. Zhonghua Yi Xue Za Zhi. 104, 1590–1600 (2024).
Yang, M. et al. The consistency of skeletal muscle mass measured by CT at L1 and L3 levels and the correlation of skeletal muscle density at L1 level with prognosis in Dialysis patients]. Zhonghua Yi Xue Za Zhi. 103, 2850–2858 (2023).
Tan, L. et al. Diagnosing sarcopenia and myosteatosis based on chest computed tomography images in healthy Chinese adults. Insights Imaging. 12, 163 (2021).
Van den Broeck, J. et al. The correlation of muscle quantity and quality between all vertebra levels and level L3, measured with CT: an exploratory study. Front. Nutr. 10, 1148809 (2023).
van Heusden, H. C. et al. Feasibility of assessment of skeletal muscle mass on a single cross-sectional image at the level of the fourth thoracic vertebra. Eur J. Radiol 142, 109879 (2021).
Jogiat, U. M. et al. Thoracic muscle mass predicts survival among patients with locally advanced esophageal cancer. Clin. Nutr. 49, 90–97 (2025).
Cortellini, A. et al. Weighing the role of skeletal muscle mass and muscle density in cancer patients receiving PD-1/PD-L1 checkpoint inhibitors: a multicenter real-life study. Sci. Rep. 10, 1456 (2020).
Wu, Y. H., Hwang, A. C., Liu, L. K., Peng, L. N. & Chen, L. K. Sex differences of sarcopenia in Asian populations: the implications in diagnosis and management. J. Clin. Gerontol. Geriatr. 7, 37–43 (2016).
Stretch, C. et al. Sarcopenia and myosteatosis are accompanied by distinct biological profiles in patients with pancreatic and periampullary adenocarcinomas. PLoS ONE. 13, e0196235 (2018).
Youn, S. et al. Myosteatosis is prognostic in metastatic melanoma treated with nivolumab. Clin. Nutr. ESPEN. 42, 348–353 (2021).
Tranoulis, A. et al. Prevalence of computed tomography-based sarcopenia and the prognostic value of skeletal muscle index and muscle Attenuation amongst women with epithelial ovarian malignancy: A systematic review and meta-analysis. Eur. J. Surg. Oncol. J. Eur. Soc. Surg. Oncol. Br. Assoc. Surg. Oncol. 48, 1441–1454 (2022).
Kim, Y. Y. et al. Prognostic significance of sarcopenia in microsatellite-stable gastric cancer patients treated with programmed death-1 inhibitors. Gastric Cancer. 24, 457–466 (2021).
Robert, C. A decade of immune-checkpoint inhibitors in cancer therapy. Nat. Commun. 11, 3801 (2020).
Quinn, L. S. Interleukin-15: A muscle-derived cytokine regulating fat-to-lean body composition1,2. J. Anim. Sci. 86, E75–E83 (2008).
Wu, J. et al. Skeletal muscle antagonizes antiviral CD8 + T cell exhaustion. Sci. Adv. 6, eaba3458 (2020).
Li, C. et al. Pathogenesis of sarcopenia and the relationship with fat mass: descriptive review. J. Cachexia Sarcopenia Muscle. 13, 781–794 (2022).
Waickman, A. T. & Powell, J. D. mTOR, metabolism, and the regulation of T-cell differentiation and function. Immunol. Rev. 249, 43–58 (2012).
Onur, İ. D. et al. Impact of sarcopenia on paclitaxel-induced peripheral neuropathy in early-stage breast cancer: a prospective observational study (the neuro-sarc study). Support Care Cancer. 33, 1061 (2025).
Haik, L. et al. The impact of sarcopenia on the efficacy and safety of immune checkpoint inhibitors in patients with solid tumours. Acta Oncol. 60, 1597–1603 (2021).
Hu, B. et al. Systemic immune-inflammation index predicts prognosis of patients after curative resection for hepatocellular carcinoma. Clin. Cancer Res. 20, 6212–6222 (2014).
Jomrich, G. et al. High systemic immune-inflammation index is an adverse prognostic factor for patients with gastroesophageal adenocarcinoma. Ann. Surg. 273, 532–541 (2021).
Passardi, A. et al. Inflammatory indexes as predictors of prognosis and bevacizumab efficacy in patients with metastatic colorectal cancer. Oncotarget 7, 33210–33219 (2016).
Pinedo, H., Verheul, H., D’Amato, R. & Folkman, J. Involvement of platelets in tumour angiogenesis? Lancet 352, 1775–1777 (1998).
Palumbo, J. S. et al. Platelets and fibrin(ogen) increase metastatic potential by impeding natural killer cell–mediated elimination of tumor cells. Blood 105, 178–185 (2005).
Elgueta, R. et al. Molecular mechanism and function of CD40/CD40L engagement in the immune system. Immunol. Rev. 229, 152–172 (2009).
Chapman, L. M. et al. Platelets present antigen in the context of MHC class I. J. Immunol. 189, 916–923 (2012).
Teijeira, Á. et al. CXCR1 and CXCR2 chemokine receptor agonists produced by tumors induce neutrophil extracellular traps that interfere with immune cytotoxicity. Immunity 52, 856–871e8 (2020).
Müller, I., Munder, M., Kropf, P. & Hänsch, G. M. Polymorphonuclear neutrophils and T lymphocytes: strange bedfellows or brothers in arms? Trends Immunol. 30, 522–530 (2009).
Ostrand-Rosenberg, S., Beury, D. W., Parker, K. H. & Horn, L. A. Survival of the fittest: how myeloid-derived suppressor cells survive in the inhospitable tumor microenvironment. Cancer Immunol. Immunother. 69, 215–221 (2020).
Ferrone, C. & Dranoff, G. Dual roles for immunity in Gastrointestinal cancers. J. Clin. Oncol. 28, 4045–4051 (2010).
Cederholm, T. et al. Diagnostic criteria for malnutrition – an ESPEN consensus statement. Clin. Nutr. 34, 335–340 (2015).
Dolan, R. D. et al. The relationship between computed tomography-derived body composition, systemic inflammatory response, and survival in patients undergoing surgery for colorectal cancer. J. Cachexia Sarcopenia Muscle. 10, 111–122 (2019).
Kroenke, C. H. et al. Muscle radiodensity and mortality in patients with colorectal cancer. Cancer 124, 3008–3015 (2018).
Gruberg, L. et al. The effect of intracoronary radiation for the treatment of recurrent in-stent restenosis in patients with diabetes mellitus. J. Am. Coll. Cardiol. 39, 1930–1936 (2002).
Romero-Corral, A. et al. Association of bodyweight with total mortality and with cardiovascular events in coronary artery disease: a systematic review of cohort studies. Lancet 368, 666–678 (2006).
Hainer, V. Aldhoon-Hainerová, I. Obesity paradox does exist. Diabetes Care. 36, S276–S281 (2013).
Armandi, A., Rosso, C., Caviglia, G. P., Ribaldone, D. G. & Bugianesi, E. The impact of dysmetabolic sarcopenia among insulin sensitive tissues: A narrative review. Front. Endocrinol. 12, 716533 (2021).
Li, S. et al. Correlation between sarcopenia and esophageal cancer: a narrative review. World J. Surg. Oncol. 22, 27 (2024).
Funding
This study was supported by the Open Subject Fund of Key Laboratory of Radiobiology in Fujian Province Universities (2023FSSW-01).
Author information
Authors and Affiliations
Contributions
Yanjing Zeng, Jinmei Chen, Liuyu Li performed the research and assisted in data collection. Xinpeng Wang, Ying Ye, Tingjie Xiong collected the clinical data. Yanjing Zeng, Jinmei Chen, Liuyu Li analysed the data and wrote the paper. Wenmin Ying and Zhichao Fu designed the study and revised the manuscript. All authors contributed to the article and approved the submitted version.
Corresponding authors
Ethics declarations
Ethics approval and consent to participate
All studies were approved by the relevant ethical review board, Due to the retrospective nature of the study, ethical review board waived the need of obtaining informed consent.
Competing interests
The authors declare no competing interests.
Additional information
Publisher’s note
Springer Nature remains neutral with regard to jurisdictional claims in published maps and institutional affiliations.
Supplementary Information
Below is the link to the electronic supplementary material.
Rights and permissions
Open Access This article is licensed under a Creative Commons Attribution-NonCommercial-NoDerivatives 4.0 International License, which permits any non-commercial use, sharing, distribution and reproduction in any medium or format, as long as you give appropriate credit to the original author(s) and the source, provide a link to the Creative Commons licence, and indicate if you modified the licensed material. You do not have permission under this licence to share adapted material derived from this article or parts of it. The images or other third party material in this article are included in the article’s Creative Commons licence, unless indicated otherwise in a credit line to the material. If material is not included in the article’s Creative Commons licence and your intended use is not permitted by statutory regulation or exceeds the permitted use, you will need to obtain permission directly from the copyright holder. To view a copy of this licence, visit http://creativecommons.org/licenses/by-nc-nd/4.0/.
About this article
Cite this article
Zeng, Y., Chen, J., Li, L. et al. Sarcopenia, myosteatosis and systemic immunoinflammatory index in the prediction of survival in patients undergoing immunotherapy for esophageal cancer. Sci Rep 16, 4398 (2026). https://doi.org/10.1038/s41598-025-34513-2
Received:
Accepted:
Published:
Version of record:
DOI: https://doi.org/10.1038/s41598-025-34513-2




