Fig. 9
From: Adaptive diffusion models for overcoming data scarcity in long-distance face recognition

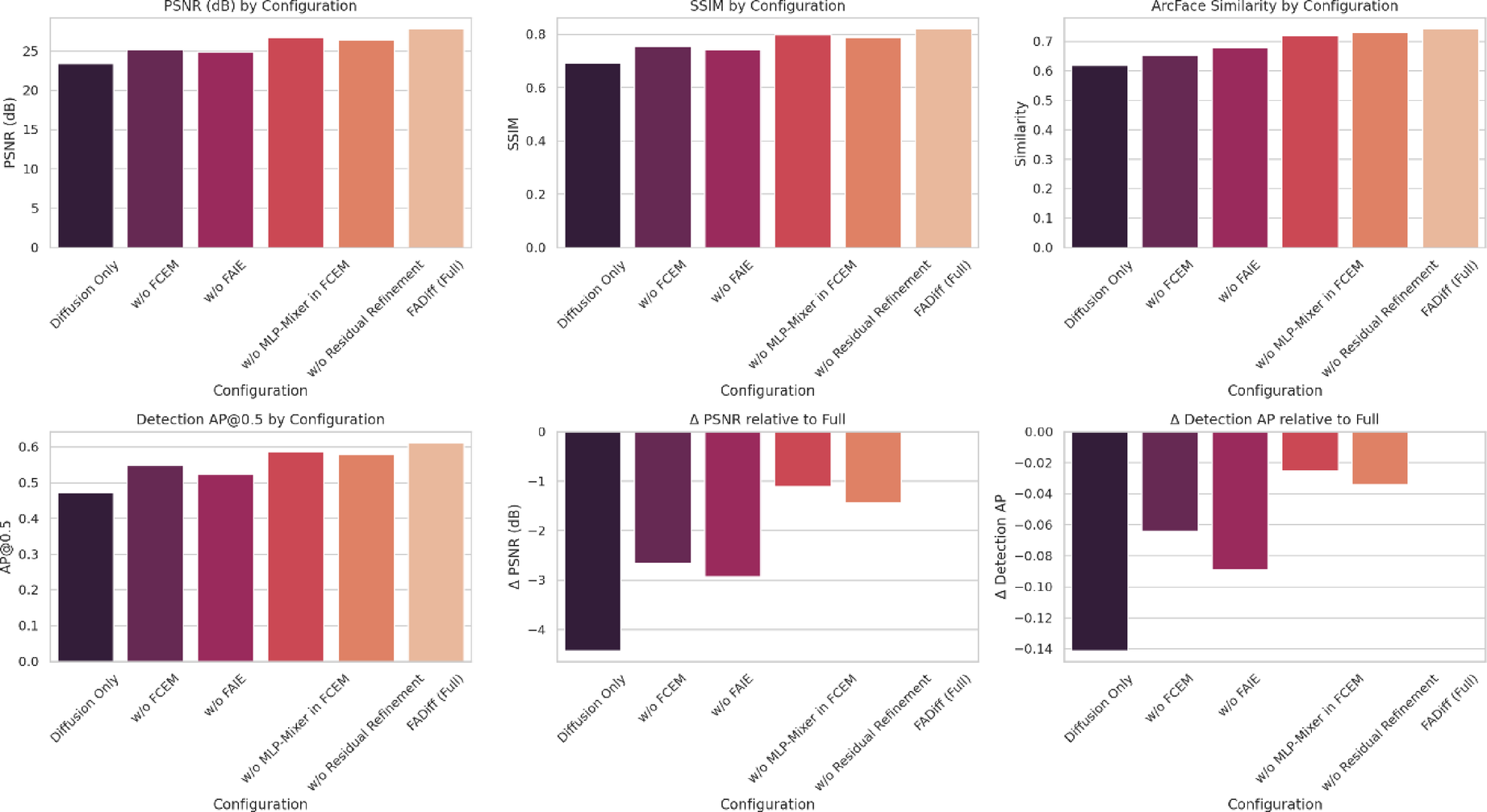
Ablation analysis of (a) PSNR, (b) SSIM, (c) ArcFace Sim, (d) Detection AP@0.5, (e) Δ PSNR, and (f) Δ Detection AP.
From: Adaptive diffusion models for overcoming data scarcity in long-distance face recognition

Ablation analysis of (a) PSNR, (b) SSIM, (c) ArcFace Sim, (d) Detection AP@0.5, (e) Δ PSNR, and (f) Δ Detection AP.