Abstract
Attaining and keeping good water quality is key to allow agriculture producing while lessening environmental impacts. Biological indicators (macroinvertebrates and diatoms) respond to diffuse pollution associated with agriculture by changes in their diversity and composition. With 14 years monitoring of six intensive agricultural catchments in Ireland, we observed that macroinvertebrates diversity decreased through time and was higher in the spring than in autumn, and higher in catchments dominated by well-drained soils compared to those with poorly drained soils. Both macroinvertebrates and diatoms composition varied in function of an interaction between the main land use and soil drainage. While streams in grasslands with poorly drained soils tended to present lower abundances of macroinvertebrates species tolerant to organic pollution, they also presented higher abundances of diatoms species favoured in high to very high nutrients concentrations. Streams in well-drained catchments presented a variable composition with high abundances of both species tolerant and sensitive to organic pollution. Our findings indicate that improving biological indicators of water quality in intensive agricultural catchments require that mitigation measures consider land use and soil drainage capacity.
Introduction
Soil type and land use interact with hydrological pathways to deliver the nutrients to water in intensively managed agricultural catchments1. The clayey texture and gleyed subsurface of poorly drained soils create intense surface runoff delivering a high amount of water, diluted nutrient and pollutants in a short period1. Water infiltrates efficiently in well drained soils allowing nutrients and other elements to be mobilized in the soil and diluted in the groundwater, while excess of nutrients may be delivered only when rainfall exceeds soil infiltration capacity1. These differences in soil drainage capacity may favour a flashy hydrology in poorly drained soils1,2 with large influence on nutrient transfer3 and delivery pathways4. Arable lands may expose streams to a higher input of sediment and nutrients due to soil erosion than those in grassland regions on account of its intensive nature and reduced ground cover5,6. Land use and soil drainage are hydrological and nutrient transfer controls3. The in-stream environmental changes driven by those controls will ultimately influence the biological communities that inhabit the stream.
Biological communities can present a fast (e.g. drift propensity triggered by increased sediment;7) and long-term responses to environmental changes (e.g. changes in taxa composition following increase in nutrients;8). A higher input of sediments and nutrients can change the diversity and taxa composition of macroinvertebrates and diatoms7,8,9. The increase of suspended sediments may trigger drift behaviour of macroinvertebrates because the larvae of some insect species has exposed gills which can be damaged, or it may bury individuals7 among other reasons. The increase of nutrients tends to decrease the proportion of sensitive and increase the proportion of tolerant diatom species in streams8. These relations may be explained in part because of the tolerance to organic pollution and its consequences to water quality, but the competitive ability in high nutrient quantities may also play a role10. Thus, surrounding conditions that may increase nutrient input to streams (i.e. poor drainage and/or higher proportion of arable land) may decrease diversity and change taxa composition of both macroinvertebrates and diatoms. Furthermore, the chronic exposition to high nutrient quantity in streams from poorly drained soils or the high risk of erosion in arable lands can accentuate the responses of biological diversity and composition7.
Biological communities are temporally dynamic, with phenological processes and community assembly being correlated with ecological factors that vary through seasons. The emergence of several groups of insects (majority of stream macroinvertebrates) in both temperate and tropical regions tend to occur in the spring and summer11,12. Periods of high flow may filter out diatom species that cannot withstand the disturbance of higher discharge (e.g.13). Following this disturbance, diatoms recolonize, and the low flow conditions experienced through drier seasons may allow an increase of benthic diatoms diversity13. These environmentally driven changes may accumulate through time together with demographic stochasticity which is difficult to predict12,14. Thus, it is reasonable to expect that community structure may differ across years12.
As much of stream’s environmental context is influenced by management practices adopted in the surrounding terrestrial ecosystems, long-term monitoring is essential to assess the responses of biological groups to those practices15,16. Evidence from studies conducted in streams assessing long term data in large spatial scales are mixed with some showing increases, decreases or absence of change in different diversity metrics 15,17. Currently, the previous improvement in indexes of water quality based on ecological indicators, observed in developed countries, was interrupted16.
Our objective was to assess the effects of soil drainage capacity, main land use type, seasonality on the inter-annual variation of macroinvertebrates and diatoms community in streams under intensive agricultural land use. For this, we used a spatially replicated long-term monitoring of water quality, macroinvertebrates and diatoms diversity and composition in the Republic of Ireland. We expected that the diversity of both groups will vary through years without a trend as long-term monitoring in other European regions have been indicating (e.g.16). We also expected that the diversity and composition of both biological groups will vary between seasons due to the emergence of insects in spring, and succession of diatoms establishing populations in more hydrologically stable periods may favour higher diversity and different composition in these seasons. Both biological groups may respond to inter-annual variation with taxa composition of years far apart being more different. Finally, we expected a predominance of species tolerant to or that be favoured by diffuse pollution in streams from poorly drained catchments and with higher presence of crops.
Results
Water quality and hydrological variation
The first two PCA axes presented eigenvalues higher than the expected by the Broken-Stick distribution, and they represented approximately 67.96% of the total variance of the water quality and hydrological variables (Supplementary Table S1). The PCA 1 presented the strongest and negative correlations with total P load, total reactive P load, nitrate load, turbidity and river discharge. The PCA 2 presented the strongest and positive correlations with reactive P and total P.
Grassland catchments with poorly drained soils (Corduff) and a group of well drained karst soils (Cregduff) tended to present the lowest values of total P (TP) and reactive P. This was especially recurrent in the months that the biological groups were also sampled (Fig. 1a). The catchment with a mixed land use and well drained soils (Castledockrell) also presented low values of TP and reactive P, while those with poorly drained soils (Ballycanew and Dunleer) tended to present high values of these variables. Catchments with a mixed land use and poorly drained soils also tended to present a variable turbidity, total P load and total reactive P load with some months presenting high and other months presenting low values (Fig. 1b).
The water quality and hydrological variation had a marked seasonal pattern with the catchments being environmentally more similar in the wettest months (December and January), presenting the highest river discharge and nitrate load. Dry months tended to present a more variable environmental variation with catchments presenting high values of TP, reactive P, and low values of river discharge, nitrate load, turbidity, total P load and total reactive P load. Considering the months when the biological groups were sampled, September tended to present more variable environmental conditions than May (Fig. 1c). The environmental variation did not have a remarkable inter-annual variation (Fig. 1d).
Ordination of environmental variables from the outlet of the six catchments by Principal Component Analysis (PCA). Each circle or diamond represent a monthly sampling in the outlet of each catchment. Large-sized symbols indicate months when sampling for biological groups occurred. The same PCA is coded indicating the category of soil drainage capacity for grasslands (a), mixed land use (b), month (c), or year (d) of monitoring. NO3-N L: nitrate-N load; ReactP: reactive phosphorous; RivDisc: river discharge; TP: total phosphorous; TPL: total phosphorous load; TReactPL: total reactive phosphorous load; Turb: turbidity. The plus sign in “a” and “b” indicate streams from a karst catchment and intermediate drainage, respectively, for representation purposes, but in analyses they were considered as levels of well and poorly drained soils.
Macroinvertebrates taxa and diatoms species richness variation
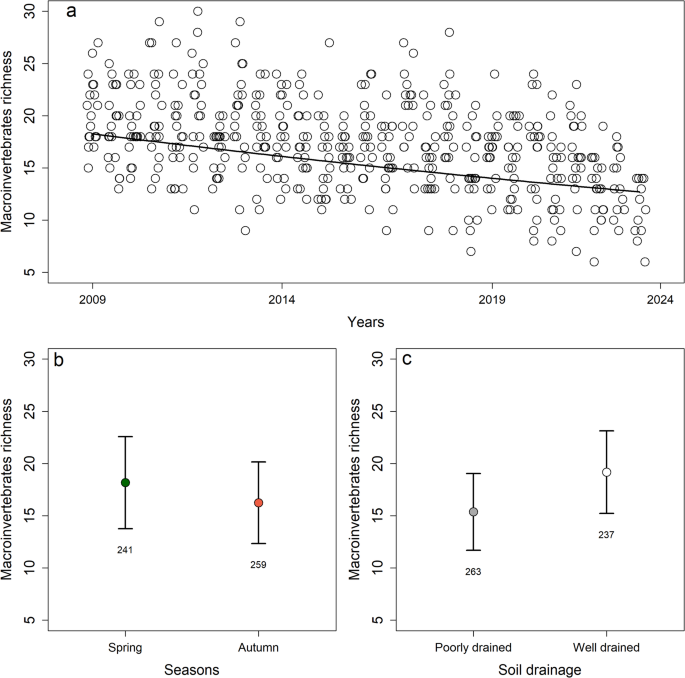
Macroinvertebrates richness varied from six to 30 taxa (mean ± SD = 17.17 ± 4.25), while diatoms species richness varied from six to 55 species (24.99 ± 7.39). The GLMM indicated that macroinvertebrates richness varied in function of time, season and soil drainage (R2m = 0.287; R2c = 0.366; Supplementary Table S2). Macroinvertebrates richness tended to decrease through time (raw slope (b), bTime = -0.014, t = -13.657, P < 0.001), to be higher in the spring than autumn (bSpring = 0.112, t = 7.648, P < 0.001), and tended to be higher in well drained soils than poorly drained soils (bWell drained = 0.198, t = 3.192, P = 0.086; Fig. 2; bMixed land use = -0.063, t = -0.947, P = 0.444). Diatoms species richness was unrelated to the explanatory variables assessed (R2m = 0.023; R2c = 0.338; Supplementary Table S2) (bTime = 0.001, t = 0.738, P = 0.461; bSpring = -0.031, t = -1.495, P = 0.135; bWell drained = -0.014, t = -0.128, P = 0.906; bMixed land use = 0.060, t = 0.547, P = 0.623).
Variation of macroinvertebrates richness through the years (a), seasons (b), and soil drainage capacity (c). a: Year was described with an ordinal variable from the first to the last sampling event (a description of time); observations were randomly displaced in x-axis to reduce overlap for graphical representation only; the continuous line represents fitted values. b, c: Circles and error bars represent mean and standard-deviation, respectively. The numbers below error bars in b and c indicate sample sizes for each level.
Macroinvertebrates and diatoms composition variation
Both macroinvertebrates (PERMANOVA, Pseudo-F2 = 23.755; P < 0.001; Pseudo-R2 = 0.194) and diatoms (PERMANOVA, Pseudo-F2 = 30.497; P < 0.001; Pseudo-R2 = 0.208) composition varied in function of an interaction between the main land use and soil drainage, and main-effects of season and time (Supplementary Table S3). The PCoA conducted with macroinvertebrates taxa represented approximately 25.52% of the distances in composition among the streams. Streams in grassland with poorly drained soils (Corduff catchment) tended to present higher abundances of macroinvertebrates taxa sensitive to organic pollution, such as Rhithrogena spp. and Agapetus spp. (Fig. 3a, e). Some of these streams also presented a higher abundance of Gammaridae. Streams in well drained grasslands (Timoleague catchment) presented a variable composition, some of them presented higher abundances of Chironomidae and Asellus spp. (Fig. 3a, e). Streams in well drained grasslands (Timoleague; Fig. 3a, e) and mixture of grasslands and tillage (Castledockrell; Fig. 3b, e) presented with higher abundances of Hydropsichidae, Simuliidae and Leuctra spp. Baetis rhodani was also abundant in catchments with well drained soils (Timoleague), and with a mixture of grasslands and tillage (Castledockrell; Fig. 3b, e). Streams in poorly drained soils in mixture of grasslands and tillage (Ballycanew and Dunleer) also presented a variable composition, they tended to present macroinvertebrates composition with higher abundances of taxa tolerant to organic pollution such as Gammaridae, Chironomidae, Potamopyrgus antipodarum and Asellus spp.
Macroinvertebrates composition tended to present a similar distribution concerning season and time, with higher abundances of taxa that are sensitive (Rhithrogena spp., Agapetus spp. and Leuctra spp.) and tolerant (Baetis rhodani, Hydropsychidae, and Simuliidae) to organic pollution in spring and the first samplings. Autumn and the last samplings tended to present higher abundances of taxa tolerant to organic pollution such as Simuliidae, Chironomidae, Gammaridae, P. antipodarum and Asellus spp. (Fig. 3c-e).
Ordination of macroinvertebrates taxa composition with Principal Coordinate Analysis (PCoA). All panels represent the same ordination with different symbols representing the interaction between main type of land use and soil drainage capacity (a, b), and the main-effects of season (c), and time (d). The plus sign in “b” indicate streams from a catchment with intermediate drainage for representation purpose, but in analyses they were considered as levels of poorly drained soils category. Macroinvertebrates taxa are coloured in “e” representing their category of tolerance to organic pollution [blue: A (most sensitive); purple: B; red: C; dark red: D; gold: E (most tolerant)].
The PCoA conducted with diatoms species represented approximately 26.85% of the distances in composition among the streams. Streams with poorly drained soils both with grassland (Corduff catchment) or mixed land use (Ballycanew and Dunleer) tended to present higher abundances of diatoms species favoured in high (Navicula tripunctata) to very high nutrients concentrations (Amphora pediculus, Navicula cryptotenella, N. gregaria and Rhoicosphenia abbreviata), Cocconeis euglypta (a species favoured in low quantity of nutrients), and Gomphonema pumilum (a species favoured in intermediate quantity of nutrients; Fig. 4a, b, e).
Streams in well drained catchments presented variable composition with high abundances of diatoms species favoured in different nutrient conditions (Fig. 4a, b, e). Cregduff, a catchment with grassland and well drained karst soil, separate from other well drained catchments mainly by the higher abundances of species which grows with very low quantity of nutrients such as Achnanthidium minutissimum, Fragilaria radians and Meridion circulare (Fig. 4a). Timoleague (grassland) and Castledockrell (mixed land use), both catchments with well drained soils, tended to present a predominance of species favoured from very low (Eunotia minor), low (Cocconeis pseudolineata, C. lineata, F. capucina), intermediate (C. placentula), high (Navicula cryptocephala and Reimeria sinuata) and very high nutrient conditions (Planothidium frequentissimum, P. lanceolatum and Sellaphora seminulum) and low abundances of N. tripunctata (Fig. 4a, b, e).
Temporal patterns were less clear for diatoms composition (Fig. 4c-e), but spring samplings tended to present higher abundances of species favoured in very low (E. minor) and low quantity of nutrients conditions (A. minutissimum, F. radians, F. capucina and M. circulare), and lower abundances of N. tripunctata. Autumn samples presented a variable diatoms composition tending to present higher abundances of species that are favoured in high to very high nutrient conditions (Fig. 4c, e).
Ordination of diatoms taxa composition with Principal Coordinate Analysis (PCoA). All panels represent the same ordination with different symbols representing the interaction between main type of land use and soil drainage capacity (a, b), and the main-effects of season (c), and time (d). The plus sign in “a” and “b” indicate streams from a karst catchment and intermediate drainage, respectively, for representation purposes, but in analyses they were considered as levels of well and poorly drained soils. Diatoms species are coloured in “e” representing their category of growth favouring given the nutrient concentration [dark blue: favourable by very low nutrients; blue: favourable by low nutrients; purple: favourable by intermediate nutrients; red: favourable by high nutrients; dark red: favourable by very high nutrients; gray: species without category].
Discussion
Our results indicated that macroinvertebrates diversity is decreasing through time. The diversity variation is explained to some extent by differences in soil type and season. Diatoms diversity variation is unrelated to any variable considered. Furthermore, our results are in line with studies that observed a higher responsiveness of taxa composition than species diversity to ecological factors (e.g.18), and it varied as a function of time, season, and an interaction between main land use and soil drainage capacity. The decrease of macroinvertebrates diversity through time holds even when controlling the effect of seasons and soil drainage capacity. This could be explained by the fact that the diffuse pollution occurring in the monitored catchments is promoting this decrease. Agricultural environments tend to exclude sensitive macroinvertebrate species and increase the number of macroinvertebrate species tolerant to organic pollution18. Notwithstanding, Ireland has a long history of land cover conversion to agricultural land use that backs for centuries19. This fact can contribute to a depauperate biota with few species sensitive to pollution. Furthermore, as previously reported, air temperature and precipitation intensity are increasing in the monitored catchments, leading to increase in the events with spikes in nutrient concentrations20,21. The changing climate, with more extreme weather events, enhances land to water nutrient loss differently depending on the different catchments’ typologies21. The high temperatures may exceed thresholds of physiological tolerance22, while higher precipitation can flush out species less resistant to higher flows or that could not be in a refuge23. Those stressors may synergize as well as driving macroinvertebrate decline. For instance, climate change projections for Ireland foreseen an increase in the amount of rainfall and the patterns of extreme raining events24. This increase in the extreme weather events (i.e. in the number of heavy rainfall events or events with prolonged warm period followed by a heavy rainfall) would have a cascade effect on nutrient concentrations leading to increase in the load of sediments and nutrients entering water bodies20 further pressuring sensitive taxa.
Macroinvertebrates diversity was higher in spring than in autumn. In streams, seasonal effects may occur by an influence of spates resetting community succession12 or to phenological responses of biological communities11. In our study sites in Ireland, the first hypothesis seems unlikely as the highest amount of rainfall are observed in the winter season which imply that diversity would increase from spring to autumn. However, the seasonal effect we observed can be explained by phenological patterns mainly because of insects’ life-history, the most diverse macroinvertebrates taxa. Several insects’ orders present aquatic larvae that emerge as adults to the terrestrial ecosystems in spring and summer11. This is further supported with higher abundances of mayflies (B. rhodani and Rhithrogena spp.), caddisflies (Agapetus spp. and Hydropsychidae), and black flies (Simuliidae) in spring samples, as indicated in the ordination of taxa composition. This can also be explained by the fact that environmental controls change seasonally. For instance, phosphorus pressures on biological groups were found to be greater in summer baseflow conditions due to less dilution of point sources25 which can affect recruitment in the following seasons. Macroinvertebrates diversity was higher in streams of catchments with well drained soils (Timoleague and Castledockrell) than poorly drained soils (Corduff, Ballycanew and Dunleer). Poorly drained soils do not allow incident waters to percolate to the ground, which increases the surface runoff flow to streams1. This flashy hydrology may expose macroinvertebrates to higher flow velocities or number of spates which can flush out species that could not withstand those events26. Furthermore, the higher discharge also carries dissolved solutes that may chronically expose macroinvertebrates to increased suspended sediments levels7. Davis et al.7 observed that the increase of suspended sediments triggered a higher drift activity of insects, even of those groups known to be tolerant to organic pollution (chironomids). Diatoms diversity was not related to all variables we considered. Diatoms are composed of a huge diversity of species with a wide distribution and are known to quickly colonise after disturbances13. Thus, losses of diatom species to a given disturbance in the monitored catchments could be quickly compensated by gains of other species18. Finally, diatoms diversity may respond to environmental variables in a finer environmental gradient. For instance, Junqueira et al.27 observed that diatoms species richness varied in mesohabitat or substrate level in a field experiment.
The composition of both macroinvertebrates and diatoms varied through time. Population sizes fluctuate through time because of recruitments of individuals by birth, immigration, and losses by deaths and emigration. These changes may be environmentally driven or not, but the accumulation of these changes can result in a very different taxa composition as time passes12. For macroinvertebrates, the changes through the years were accompanied by an increase of the abundance of taxa tolerant to organic pollution such as Asellus spp., gammarids and chironomids in more recent years. Considering diatoms, those changes considering species tolerances to nutrients quantity were not so evident, with species that are favoured from very little to very high concentration of nutrients being abundant in streams from the beginning to the later periods of monitoring. Part of the temporal variation of taxa composition of both macroinvertebrates and diatoms was explained by seasons as environmental factors such as temperature, light availability, and precipitation vary seasonally. Biological groups have life-history traits that track those changes, or they can influence successional patterns11,13. As EPT taxa are the most sensitive macroinvertebrate group for organic pollution, their higher abundance in spring may improve the ecological quality in the catchments in this period for metrics which quality estimate involve their species diversity or abundance such as the Q index (e.g.28). Diatoms that present favourable growth with high to very high nutrient concentration tended to be frequent in autumn samplings. Besides the environmentally driven seasonal processes, this result may reflect management practices adopted in the catchments as well. The use of chemical and organic fertilisers is allowed during summer and spring in Ireland25,29. As a legacy effect, the higher input of nutrients in the streams in these seasons may increase the sampled abundances of diatoms that are favoured by higher nutrient concentrations in the autumn when prohibition of the use of fertilisers take place.
The flashy hydrology of poorly drained soils may lead organisms to a chronic exposition of high quantity of nutrients and suspended sediments. These conditions may filter out species that are not tolerant to organic pollution (e.g. E. minima), are sensitive to the quantity of suspended sediments (e.g. Leuctra spp.), or favour the growth of species that can outcompete others by fast growth in high quantity of nutrients (e.g. A. pediculus, N. cryptotenella and N. tripunctata). We also expected that this chronic exposure would be higher in catchments with a greater proportion of tillage than grassland, as the permanent presence of grass may buffer soils against erosion6. Our results fairly agree with these expectations as composition varied in function of an interaction between main land use and soil drainage capacity. This was observed for diatoms as the higher abundance of several species that grow in low nutrient concentrations such as A. minutissimum, M. circulare, F. radians and N. archibaldii (species which grows in high nutrient-concentration) were responsible for the separation of a set of streams in the well-drained grasslands karst soils (Cregduff catchment) from the remaining catchments. The remaining streams from both land uses and soil drainage capacity presented a variable diatoms composition with different sets of diatom species that grow from very low to very high nutrient conditions. For macroinvertebrates the patterns of interaction between land-use and soil drainage capacity were less aligned with our expectations. Streams in poorly drained catchments with a mixed land use (Ballycanew and Dunleer) tended to present a higher abundance of tolerant macroinvertebrates such as gammarids, chironomids, and Asellus spp. Streams in the poorly drained grassland catchment (Corduff) tended to differ particularly presenting the lowest abundances of chironomids, and a variable composition presenting from tolerant gammarids and Baetis rhodani to sensitive mayflies (Rhithrogena spp.) and Agapetus spp. These taxa (except gammarids) were also abundant in streams from well-drained soils for both land uses (Timoleague and Castledockrell). These streams also tended to present hydropsychids, simulids, chironomids and Asellus spp., all of them are tolerant macroinvertebrates taxa.
Two potential limitations must be considered in our results regarding the responses of composition to the ecological factors assessed. First, part of these differences detected can be due to differences in composition variation, as multivariate tests may confound differences in multivariate dispersions (composition variation) with differences in location (average composition, centroid)30. Differences in dispersions (beta-diversity) may be present in our monitoring as the multivariate space filled with some catchments are smaller than others (e.g. compare poorly drained grasslands with poorly drained mixed land use). Second, our study is based on the taxonomic facet only. Therefore, knowing if the changes we observed in diversity and taxonomic composition are followed with changes of ecological functions or in other facets of diversity (e.g.31) is an open question that can be explored in future studies.
Conclusion
Our research studied, for the first time, the biological diversity and composition in six hydrologically diverse intensive agricultural catchments across Ireland. Our results indicate that the mitigation measures adopted in intensive farming ecosystems must consider both the land use and soil drainage capacity to improve the biological indicator of water quality. Improving water quality based on these biological indicators must lessen the loss of sediments and nutrients to the streams. Good Agricultural Practices (GAP) measures suggested in Ireland from 2017 on29 focus on reducing the anthropogenic sources and lessening potential delivery pathways of nutrients and sediments to watercourses following a nutrient transfer-continuum (sensu32). An efficient nutrient use, adoption of closed periods for use of organic and chemical fertilisers, measures to reduce potential of erosion and surface flow of diluted substances, and nutrient or sediment interception measures are mitigation actions proposed in GAP and documented in the literature as effective measures in improving water quality in catchments under intensive agriculture6,25,33,34. Considering soil drainage capacity and land use in GAP measures or others voluntary environmental schemes would accommodate different pathways of the hydrological controls of nutrient and sediment losses from land to waters. For instance, in poorly drained soils where surface run-off predominates, presenting adequate manure and soiled water storage capacity, high adherence to closed seasons, following closely the weather forecast and plant uptake when applying fertilisers are important to reduce P and sediment losses2,3,4,21. For those catchments with well drained soils, in which below ground pathways dominate nutrient losses, reseeding grasslands with multispecies composition of grass, legume and herbs34 and applying the correct quantity of fertilisers when plant uptake is optimum are important to reduce N losses2,4,21. To achieve this, supporting farmers with technical information, knowledge transfer and financial aid for implementation is key in adhering to GAP or bespoken mitigation measures.
Methods
Study area
Sampling was made in six Irish catchments intensively managed for agriculture. These catchments were chosen using a multi-criteria decision analysis to be representative of the main agricultural activities (grasslands for dairy and beef production, and arable lands), soil types, risk of transfer of nutrients from terrestrial to aquatic environments, and regions availing derogation35. The Köppen climate is a temperate oceanic (Cfb) with averages temperature ranging from 9.06 °C to 10.36 °C and averages annual rainfall ranging from 873.20 mm to 1098.73 mm throughout the monitoring (Supplementary Table S4).
Detailed descriptions of the six catchments where data was collected can be found in previous studies37,38. In brief, Castledockrell catchment, situated in the south-east (Co. Wexford), is mainly comprised of well-drained Brown Earths (Cambisols). With ca. 50% of the area used for tillage, and the remaining under grasslands (Fig. 5; Supplementary Table S4). The Ballycanew catchment, also located in the south-east (Co. Wexford), is described by mainly poorly drained Surface-water Gleys (Gleysols). Nearly 80% of the land is dedicated to grassland (beef production and dairying as the main farm enterprises, complemented by some sheep production and sport horses), and spring barley is the primary arable crop. The Dunleer catchment, situated in Co. Louth, north-east of Ireland, features diverse Brown Earth soils (Cambisols), consisting of Luvisols, Stagnosols, and Stagnic Cambisols. Artificial drainage of these soils has made them suitable for both crop and grassland production in Dunleer. Above half of the land is dedicated to tillage, with winter wheat and winter/spring barley, oilseed rape, and potatoes, and the other half is utilized for grasslands, including dairying and beef production, with some sheep, goat-dairying, and equestrian housing.
The Corduff-Sreenty catchment, located in Co. Louth, north-east of Ireland, is mainly comprised of deep and moderately to poorly drained Brown Earths (Lithosol). Overland flow and near-surface pathways are dominant in this catchment and the main land use is principally grass based for dairying. The Cregduff catchment is in Co. Mayo in the west of Ireland. This catchment presents mainly grassland, with well-drained karst limestone soil. The Timoleague, is situated in the south-west of Ireland (Co. Cork), and features shallow well-drained Brown Earths (Cambisols) and Podzolics (Umbrisols), with dairy farming as the predominant primary land use.
Sampling
Conductivity (µS/cm), Temperature (°C), Turbidity (NTU), Nitrate (mg/L), Nitrate load (g), molybdate-Reactive P (mg/L), Total reactive P load (g), Total P (mg/L), Total P load (g) and River discharge are sampled in the catchments’ outlet on 10-min basis to describe the water quality and hydrological variation. Those variables were sampled using an Orpheus Mini pressure water level recorder and Hach-Lange Sigmatax-Phosphax bankside analyser (see details in3). We explored the variation of these water quality and hydrological variables computing average values by month from September 2009 to December 2023.
Sampling for macroinvertebrates and diatoms occurred in each spring (May) and autumn (September) starting in autumn 2009 to autumn 2023. No sampling was made in 2022. Macroinvertebrates were sampled by 2-minute kick net sampling and stone washing following Irish Environmental Protection Agency protocol28. For this, stream stretches were covered and sampled with a long-handled net with 1 mm mesh size. Samplings were made on fast flowing riffle habitats, but glides, margins and pools were included according to their proportional presence. Stone washing was conducted with a one-minute hand search for cobbles to sample taxa that cling stone surfaces. Specimens were preserved in 90% isopropanol in situ after sampling. All sampled individuals were identified to the lowest taxonomic level possible with identification keys39. Some taxa were identified in mixed resolution throughout the monitoring (e.g. Rhithrogena semicolorata and Rhithrogena spp., Isoperla grammatica and Isoperla spp., among other taxa). In these cases, we adopted a conservative approach and grouped them in the nearest higher taxonomic rank (genus or family level) (Supplementary Table S5). Individuals were counted (or summed) to the lowest taxonomic level identified. Macroinvertebrates taxa were classified in categories of sensitivity to organic pollution following Toner et al.28.
Diatoms were sampled brushing or scrapping the biofilm from the upper surface of five fully submerged cobbles from stretches without heavy shade8. Submerged stems of emergent macrophytes were sampled when no cobbles or small cobbles were present in the sampled stretch. The cobbles were vigorously brushed, rinsed, and the resultant material was preserved in 10% Lugol iodine. The samples were then digested to remove organic content from the diatom cell and permanent slides were prepared with Naphrax. At least 300 undamaged valves of non-planktonic taxa were counted with 1000× magnification. Diatoms were identified to species level following Lange-Bertalot et al.39 (Supplementary Table S6). Diatoms species were classified considering their growth favouring in nutrient conditions following Kelly et al.8.
Catchments were classified based on their dominating drainage capacity relative to other soils within each land use group. For this, we used the proportion of well, moderate, and poor drainage capacity soils classification provided by the Irish Soil Information System40. While Dunleer catchment may present an intermediate drainage capacity compared with Ballycanew and Castledockrell, we kept it as a representative of poorly drained because of the smaller area covered by well-drained soils. We classified Cregduff catchment as a representative of well drained soils instead of classifying a new category because of this catchment be the single representative of karst soils. These decisions allowed a crossing of land use and drainage capacity in a factorial design.
Data-analysis
We summarized the water quality and hydrological variables (monthly averaged values) measured at each catchment outlet with a Principal Component Analysis (PCA;41). We used a log-transformed [log10(x + 1)] and standardized (z-score) variables to control their differences in scale of measurement41. We conducted a PCA on a correlation matrix and retained for interpretation only those axes with eigenvalues higher than those expected by the Broken-Stick distribution42. We considered as relevant for interpretation loadings > |0.6|.
We related the diversity to time, season, soil drainage, and type of the land use with generalized linear mixed-effects models (GLMM;43). The taxon richness (macroinvertebrates) or species richness (diatoms) (both proxies to diversity) were the response variables, while time [an ordinal variable coding the first (1) to the last sampling event (27)], season (spring or autumn), soil drainage capacity (poorly or well drained), and type of land use (grassland or a mixture of grassland and tillage) were the fixed-effects variables in the GLMM. We assessed a potential interaction between soil drainage and type of land use for both models, but we omitted it in final models as it was not statistically significant (macroinvertebrates, χ2 = 0.001, P = 0.979; diatoms, χ2 = 3.334, P = 0.068). We nested site identity within catchment as random-effects intercept to control for spatial autocorrelation. We used the autoregressive first-order temporal correlation to accommodate temporal autocorrelation in model residuals. We employed the Poisson distribution in the GLMM as taxa and species richness are discrete quantitative variables. Parameters of the GLMM were estimated with a penalized quasi-likelihood algorithm44. We report the fit of GLMM with marginal (R2m; variability explained by fixed-effects variables) and conditional coefficient of determination (R2c; variability explained by fixed and random-effects variables) estimated with trigamma algorithm45.
We used multivariate analyses of variance based on permutations (PERMANOVA;46) to assess the effects of time, season and an interaction between land use and soil drainage (explanatory variables) on macroinvertebrates taxa or diatoms taxa composition (response matrices). Taxa composition matrices were represented as Euclidean distances matrices computed on Hellinger-transformed abundances47. We applied the Lingoes correction to avoid negative eigenvectors in the PERMANOVA41. We estimated statistical significance of PERMANOVA tests with 9999 permutations. We restricted the permutations in PERMANOVA analyses within sites to accommodate for potential spatial autocorrelation.
We represented the dissimilarity in taxa composition with Principal Coordinate Analyses (PCoA;41). We estimated the PCoA with the same Euclidean distance matrices computed with Hellinger-transformed abundances described above. We represented the ordination with two dimensions, and we also applied the Lingoes correction to avoid negative eigenvectors in PCoA41. We represent in PCoA those taxa with the highest contribution to the overall ordination computing the similarity percentages (SIMPER;48). We represented only the species with cumulatively account for at least 60% of the dissimilarities and plotted their weighted average scores in each ordination.
We removed taxa or species that occurred only once throughout the monitoring (singletons) in all analyses to focus on the main patterns. All analyses were conducted in the R software50 with the packages “MASS”50, “MuMIn”51, “nlme”52, and “vegan”53. We adopted a significance level of 5%.
Data availability
The data that support the findings of this study are available on request from P.-E.M. The data are not publicly available because they contain information that could compromise privacy and farmer willingness to participate in the long-term monitoring.
References
Daly, K. et al. Soils and water quality. In: (eds Creamer, R. & O’Sullivan, L.) The Soils of Ireland. New York, Springer. 235–243. DOI: https://doi.org/10.1007/978-3-319-71189-8_16 (2018).
Melland, A. R. et al. Stream water quality in intensive cereal cropping catchments with regulated nutrient management. Environ. Sci. Policy. 24, 58–70. https://doi.org/10.1016/j.envsci.2012.06.006 (2012).
Mellander, P. E., Jordan, P., Shore, M., Melland, A. R. & Shortle, G. Flow paths and phosphorus transfer pathways in two agricultural streams with contrasting flow controls. Hydrol. Process. 29, 3504–3518. https://doi.org/10.1002/hyp.10415 (2015).
Mellander, P. E., Galloway, J., Hawtree, D. & Jordan, P. Phosphorus mobilization and delivery estimated from long-term high frequency water quality and discharge data. Front. Water. 4, 917813. https://doi.org/10.3389/frwa.2022.917813 (2022).
Regan, J. T., Fenton, O. & Healy, M. G. A review of phosphorus and sediment release from Irish tillage soils, the methods used to quantify losses and the current state of mitigation practice. Biol. Environ. Proc. R. Ir. Acad. 112B, 157–183. (2011). https://doi.org/10.3318/BIOE.2012.05
Boardman, J. & Favis-Mortlock, D. T. The significance of drilling date and crop cover with reference to soil erosion by water, with implications for mitigating erosion on agricultural land in South East England. Soil. Use Manag. 30, 40–47. https://doi.org/10.1111/sum.12095 (2014).
Davis, S. J. et al. Multiple-stressor effects of sediment, phosphorus and nitrogen on stream macroinvertebrate communities. Sci. Total Environ. 637–638, 577–587. https://doi.org/10.1016/j.scitotenv.2018.05.052 (2018).
Kelly, M. G. et al. The Trophic Diatom Index: A user’s manual. Revised edition. R&D Technical Report E2/TR2. Bristol, Environmental Agency. (2001).
Nguyen, H. H., Welti, E. A. R., Haubrock, P. J. & Haase, P. Long–term trends in stream benthic macroinvertebrate communities are driven by chemicals. Environ. Sci. Eur. 35, 108. https://doi.org/10.1186/s12302-023-00820-6 (2023).
Kelly, M. G. & Whitton, B. A. The trophic diatom index: a new index for monitoring eutrophication in rivers. J. Appl. Phycol. 7, 433–444. https://doi.org/10.1007/BF00003802 (1995).
Bista, I. et al. Annual time-series analysis of aqueous eDNA reveals ecologically relevant dynamics of lake ecosystem biodiversity. Nat. Commun. 8, 14087. https://doi.org/10.1038/ncomms14087 (2017).
Melo, A. S., Niyogi, D. K., Matthaei, C. D. & Townsend, C. R. Resistance, resilience, and patchiness of invertebrate assemblages in native tussock and pasture streams in new Zealand after a hydrological disturbance. Can. J. Fish. Aquat. Sci. 60, 731–739. https://doi.org/10.1139/F03-061 (2003).
Schneck, F. & Melo, A. S. Hydrological disturbance overrides the effect of substratum roughness on the resistance and resilience of stream benthic algae. Freshw. Biol. 57, 1678–1688. https://doi.org/10.1111/j.1365-2427.2012.02830.x (2012).
Ortega, J. C. G. et al. Spatio-temporal variation in water beetle assemblages across temperate freshwater ecosystems. Sci. Total Environ. 792, 148071. https://doi.org/10.1016/j.scitotenv.2021.148071 (2021).
Rumschlag, S. L. et al. Density declines, richness increases, and composition shifts in stream macroinvertebrates. Sci. Advan. 9, eadf4896. https://doi.org/10.1126/sciadv.adf4896 (2023).
Haase, P. et al. The recovery of European freshwater biodiversity has come to a halt. Nature 620, 582–588. https://doi.org/10.1038/s41586-023-06400-1 (2023).
Johnson, T. F. et al. Revealing uncertainty in the status of biodiversity change. Nature 628, 788–794. https://doi.org/10.1038/s41586-024-07236-z (2024).
Schürings, C., Feld, C. K., Kail, J. & Hering, D. Effects of agricultural land use on river biota: a meta–analysis. Environ. Sci. Eur. 34, 124. https://doi.org/10.1186/s12302-022-00706-z (2022).
Cross, J. R. The potential natural vegetation of Ireland. Biol. Environ. Proc. R Ir. Acad. 106B, 65–116. https://doi.org/10.3318/BIOE.2006.106.2.65 (2006).
Ezzati, G. et al. Impacts of changing weather patterns on the dynamics of water pollutants in agricultural catchments: insights from 11-year high Temporal resolution data analysis. J. Hydrol. 644, 132122. https://doi.org/10.1016/j.jhydrol.2024.132122 (2024).
Mellander, P. E. & Jordan, P. Charting a perfect storm of water quality pressures. Sci. Total Environ. 787, 147576. https://doi.org/10.1016/j.scitotenv.2021.147576 (2021).
Jourdan, J. et al. Effects of changing climate on European stream invertebrate communities: A long-term data analysis. Sci. Total Environ. 621, 588–599. https://doi.org/10.1016/j.scitotenv.2017.11.242 (2018).
Melo, A. S. & Froehlich, C. G. An attractor domain model of seasonal and inter-annual β diversity of stream macroinvertebrate communities. Freshw. Biol. 67, 1370–1379. https://doi.org/10.1111/fwb.13923 (2022).
Murphy, C. et al. Climate change impacts on Irish river flows: high resolution scenarios and comparison with CORDEX and CMIP6 ensembles. Water Resour. Manag. 37, 1841–1858. https://doi.org/10.1007/s11269-023-03458-4 (2023).
Shore, M. et al. Influence of stormflow and baseflow phosphorus pressures on stream ecology in agricultural catchments. Sci. Total Environ. 590–591, 469–483. https://doi.org/10.1016/j.scitotenv.2017.02.100 (2017).
Tonolla, D. et al. Effects of hydropeaking on drift, stranding and community composition of macroinvertebrates: A field experimental approach in three regulated Swiss rivers. River Res. Appl. 39, 427–443. https://doi.org/10.1002/rra.4019 (2022).
Junqueira, M. G., Melo, A. S. & Schneck, F. Effects of mesohabitat, grazing and substratum roughness on locally common and rare diatom species. Freshw. Biol. 68, 1542–1557. https://doi.org/10.1111/fwb.14147 (2023).
Toner, P. et al. Water Quality in Ireland 2001–2003 (Johnstown Castle, Environmental Protection Agency, 2005).
Department of Agriculture, Food and the Marine (DAFM). Nitrates explanatory handbook for good agricultural practice for the protection of waters regulations 2022. (2022).
Anderson, M. J. Distance-based tests for homogeneity of multivariate dispersions. Biometrics 62, 245–253. https://doi.org/10.1111/j.1541-0420.2005.00440.x (2006).
Li, J. et al. Ecological drivers of taxonomic, functional, and phylogenetic beta diversity of macroinvertebrates in Wei river basin of Northwest China. Front. Ecol. Evol. 12, 1410915. https://doi.org/10.3389/fevo.2024.1410915 (2024).
Haygarth, P. M., Condron, L. M., Heathwaite, A. L., Turner, B. L. & Harris, G. P. The phosphorus transfer continuum: linking source to impact with an interdisciplinary and multi-scaled approach. Sci. Total Environ. 344, 5–14. https://doi.org/10.1016/j.scitotenv.2005.02.001 (2005).
Pilon, C. et al. Grazing management and buffer strip impact on nitrogen runoff from pastures fertilized with poultry litter. J. Environ. Qual. 48, 297–304. https://doi.org/10.2134/jeq2018.04.0159 (2019).
Valkama, E., Usva, K., Saarinen, M. & Uusi-Kämppä, J. A Meta-Analysis on nitrogen retention by buffer zones. J. Environ. Qual. 48, 270–279. https://doi.org/10.2134/jeq2018.03.0120 (2019).
O’Malley, J. et al. Multispecies grasslands produce more yield from lower nitrogen inputs across a Climatic gradient. Science 391, 179–183. https://doi.org/10.1126/science.ady0764 (2025).
Fealy, R. M. et al. The Irish agricultural catchments programme: catchment selection using Spatial multi-criteria decision analysis. Soil. Use Manag. 26, 225–236. https://doi.org/10.1111/j.1475-2743.2010.00291.x (2010).
Sherriff, S. C. et al. Investigating suspended sediment dynamics in contrasting agricultural catchments using ex situ turbidity-based suspended sediment monitoring. Hydrol. Earth Syst. Sci. 19, 3349–3363. https://doi.org/10.5194/hess-19-3349-2015 (2015).
Wall, D. et al. Using the nutrient transfer continuum concept to evaluate the European union nitrates directive National action programme. Environ. Sci. Policy. 14, 664–674. https://doi.org/10.1016/j.envsci.2011.05.003 (2011).
Dobson, M., Pawley, S., Fletcher, M. & Powell, A. Guide to British Freshwater Macroinvertebrates for Biotic Assessment - SP67. Lakeside: Freshwater Biological Association. 80 p. (2021).
Lange-Bertalot, H., Hofmann, G., Werum, M. & Cantonati, M. Freshwater benthic diatoms of central Europe: over 800 common species used in ecological assessment. Engl. Ed. Updated Taxonomy Added Species (2017).
Creamer, R. E. et al. Irish Soil Information System: Soil Property Maps. EPA Research Programme 2014–2020 Report. (2016).
Legendre, P. & Legendre, L. Numerical Ecology (Elsevier, 2012).
Jackson, D. A. Stopping rules in principal components analysis: A comparison of heuristical and statistical approaches. Ecology 74, 2204–2214. https://doi.org/10.2307/1939574 (1993).
Zuur, A. F., Ieno, E. N., Walker, N., Saveliev, A. A. & Smith, G. M. Mixed Effects Models and Extensions in Ecology with R (Springer, 2009).
Bolker, B. M. et al. Generalized linear mixed models: a practical guide for ecology and evolution. Trends Ecol. Evol. 24, 127–135. https://doi.org/10.1016/j.tree.2008.10.008 (2009).
Nakagawa, S., Johnson, P. C. D. & Schielzeth, H. The coefficient of determination R2 and intra-class correlation coefficient from generalized linear mixed-effects models revisited and expanded. J. R Soc. Interface 14: 20170213 . https://doi.org/10.1098/rsif.2017.0213
Anderson, M. J. A new method for non-parametric multivariate analysis of variance. Austral Ecol. 26, 32–46. https://doi.org/10.1111/j.1442-9993.2001.01070.pp.x (2001).
Legendre, P. & De Cáceres, M. Beta diversity as the variance of community data: dissimilarity coefficients and partitioning. Ecol. Lett. 16, 951–963. https://doi.org/10.1111/ele.12141 (2013).
Clarke, K. R. Non-parametric multivariate analyses of changes in community structure. Aust J. Ecol. 18, 117–143. https://doi.org/10.1111/j.1442-9993.1993.tb00438.x (1993).
R Core Team. R: A Language and Environment for Statistical Computing. (R Foundation for Statistical Computing, Vienna, Austria, 2024). Available at: https://www.R-project.org/
Venables, W. N. & Ripley, B. D. Modern Applied Statistics with S. Fourth Edition. Springer, New York. (2002).
Bartoń, K. MuMIn: Multi-Model Inference. R package version 1.48.11. (2025). Available at: https://CRAN.R-project.org/package=MuMIn
Pinheiro, J. et al. nlme: Linear and Nonlinear Mixed Effects Models. R package version 3.1–168. (2025). Available at: https://CRAN.R-project.org/package=nlme
Oksanen, J. et al. vegan: Community Ecology Package. R package version 2.6–10. (2025). Available at: https://CRAN.R-project.org/package=vegan
Acknowledgements
We thank Simon Harrison, Lauren Williams, Gerard Morgan, Bláithín Ní Ainín and Martyn Kelly for sampling and identification of macroinvertebrates and diatoms. We also thank the technical staff from the Agricultural Catchments Programme (ACP) for their long-term sampling of environmental variables and the Department of Agriculture, Food and the Marine (DAFM) for the continuous funding of ACP. DAFM had no role in the study design, collection, analysis and interpretation of data, writing of the report and decision to submit the article for publication.
Funding
Department of Agriculture, Food and the Marine (DAFM).
Author information
Authors and Affiliations
Contributions
Conceptualisation: JCGO. Developing methods: JCGO, RLH, GE, PEM. Data analysis, preparation of figures and tables: JCGO. Conducting the research, data interpretation, writing: JCGO, RLH, GE, PEM.
Corresponding author
Ethics declarations
Competing interests
The authors declare no competing interests.
Additional information
Publisher’s note
Springer Nature remains neutral with regard to jurisdictional claims in published maps and institutional affiliations.
Supplementary Information
Below is the link to the electronic supplementary material.
Rights and permissions
Open Access This article is licensed under a Creative Commons Attribution-NonCommercial-NoDerivatives 4.0 International License, which permits any non-commercial use, sharing, distribution and reproduction in any medium or format, as long as you give appropriate credit to the original author(s) and the source, provide a link to the Creative Commons licence, and indicate if you modified the licensed material. You do not have permission under this licence to share adapted material derived from this article or parts of it. The images or other third party material in this article are included in the article’s Creative Commons licence, unless indicated otherwise in a credit line to the material. If material is not included in the article’s Creative Commons licence and your intended use is not permitted by statutory regulation or exceeds the permitted use, you will need to obtain permission directly from the copyright holder. To view a copy of this licence, visit http://creativecommons.org/licenses/by-nc-nd/4.0/.
About this article
Cite this article
Ortega, J.C.G., Hall, R.L., Ezzati, G. et al. Land use and soil drainage interactions drive macroinvertebrates and diatoms composition but not their diversity. Sci Rep 16, 4571 (2026). https://doi.org/10.1038/s41598-025-34684-y
Received:
Accepted:
Published:
Version of record:
DOI: https://doi.org/10.1038/s41598-025-34684-y




