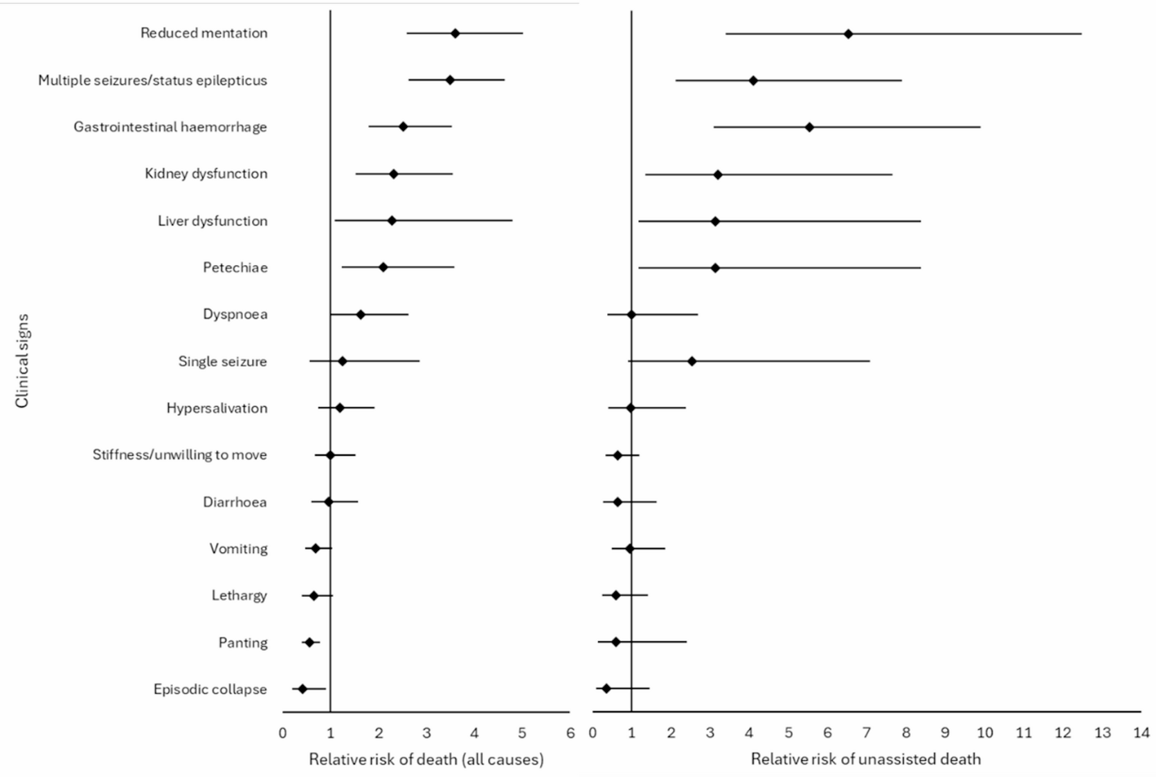
Fig. 6

Relative risk of death (left, all causes, n = 364; right, unassisted death, n = 301) in dogs with recorded clinical signs of heat-related illness managed by Vets Now emergency veterinary clinics in the UK during 2022 (n = 364).

Relative risk of death (left, all causes, n = 364; right, unassisted death, n = 301) in dogs with recorded clinical signs of heat-related illness managed by Vets Now emergency veterinary clinics in the UK during 2022 (n = 364).