Abstract
The original VetCompass clinical grading tool for heat-related illness (HRI) in dogs was developed using general primary-care clinical records. Using two novel HRI emergency-care datasets from Vets Now clinics during 2022 and 2023, this current study aimed to firstly evaluate and revise the original tool, then to validate the revised tool. Evaluation of the original grading tool using 364 HRI cases treated during 2022 prompted three revisions; dyspnoea moved from Mild to Moderate grades, episodic collapse from Moderate to Mild, and new critical temperature criteria (≥ 41.0 °C) were added to both Moderate and Severe categories. The revised grading tool was then validated using 422 HRI cases treated during 2023, using univariable logistic regression to evaluate the HRI grades as risk factors for death. The revised tool was deemed to show improved discrimination (area under the receiver operator curve (AUROC): 0.79, 95% CI 0.74–0.84) for predicting a fatal HRI outcome compared to the original tool (AUROC: 0.72, 95% CI 0.66–0.78). This study provides an example of ongoing evaluation and validation that could be applied to other veterinary clinical tools. The revised and validated VetCompass HRI grading tool (2026) should facilitate improved veterinary triage and contextualised care discussions for dogs with HRI.
Introduction
Heat-related illness (HRI) is an acute progressive condition1 defined as a nonpyrogenic elevation in core body temperature resulting in direct thermal injury to body tissues2. Prolonged hyperthermia can lead to systemic inflammation, multiorgan dysfunction and death if the duration and/or extent of hyperthermia is not limited3. Although three progressive stages of HRI are classically described as heat stress, heat exhaustion, and heatstroke1, these stages are largely based on human self-reported symptoms and therefore can have limited applicability to canine patients4. Previous canine HRI studies often focused on case series from referral populations resulting in a population bias towards more severe cases5,6,7, and therefore largely failed to account for the progressive nature of the condition4. More recently, studies using primary-care data have included dogs across the full range of HRI severity, providing a more representative sample of HRI cases for identification of risk factors and common aetiologies which are more generalisable to the wider dog population8,9,10.
The VetCompass clinical grading tool for heat-related illness in dogs (Fig. 1) (hereafter referred to as the original VC grading tool (2021)) was developed using clinical data from UK primary-care general practice and aimed to support improved veterinary clinical decision-making, and evidence-based treatment of HRI, and to offer a prediction of clinical outcomes4. HRI cases were assigned to three grades based on recorded clinical signs: Mild, Moderate, and Severe. The grades were adapted for use in dogs from the Japanese Association for Acute Medicine Heat-Related Illness Classification (JAAMHC) staging system for humans11, and informed by the relative risk of death associated with of each clinical sign in dogs presented for primary-care during 2016–20184.
The original VC grading tool (2021) for heat-related illness in dogs, developed using primary-care general veterinary practice data4.
Severe HRI (traditionally termed heatstroke) in dogs has previously been characterised as a critical body temperature of ≥ 41.0 °C alongside central nervous system dysfunction12, and both duration and elevation beyond the critical temperature threshold are reported to predict HRI fatality3. However, the original VC grading tool (2021) did not include body temperature in the grading criteria because temperature has been actively omitted from the human JAAMHC staging criteria over concerns HRI patients would be misclassified as non-cases if they had received active cooling in the field prior to the point of assessment for grading11. In veterinary clinical practice, body temperature is typically first measured at the point of first presentation for assessment meaning neither the duration nor maximum elevation prior to presentation is known. Multiple studies have reported dogs that are exercised can exceed the critical threshold of ≥ 41.0 °C with no subsequent signs of HRI13,14,15,16. Therefore, single point-in-time temperature measurements without an indication of the duration of elevated temperature were suggested to have limited prognostic predictive utility because the dog’s temperature may have dropped by that time following active cooling prior to presentation4. Nonetheless, the finding from relative risk analysis in the previous study of significantly increased fatality risk in dogs presenting with temperatures ≥ 41˚C compared to 37.2–40.9˚C4 has prompted reconsideration of inclusion of a critical body temperature threshold within the VC HRI grading tool criteria.
There is no single standard for diagnostic criteria universally agreed for HRI in humans17. However, in human medicine, three HRI diagnostic criteria are recommended by current expert consensus: patient history of exposure to heat and/or intense exertion, elevated core temperature, and functional impairment of the central nervous system and other organs (such as liver, kidney, muscle and gastro-intestinal tract)17. In veterinary medicine, patient history may be less reliable as it is contingent upon owner observations and awareness of potential HRI triggers. However, inclusion of body temperature criteria along with other clinical metrics in an updated version of the VetCompass HRI grading tool could enhance the tool’s prognostic predictive ability and strengthen confidence in a diagnosis of HRI.
Ongoing validation is considered essential for clinical grading tools to maintain or even improve achievement of their stated aims over time and in different settings18. Two forms of validity are considered pertinent for grading tool validation: content and construct validity18. Content validity is usually performed during tool development and ensures all necessary aspects of the disorder presentation and progression are included within the tool without including unnecessary additions19. Construct validity ensures the tool measures what it claims to measure (e.g. severity of HRI), but requires ongoing evaluation especially when tools are used in different contexts18. Optimal validation should include tool re-assessment with a fully independent dataset19,20. Evaluation should be an ongoing process that may lead iteratively to ongoing cycles of revisions to a grading tool18. This paper presents the first full cycle of validation of the VetCompass HRI grading tool in a novel dataset.
This study had the following aims:
-
1.
evaluate the content validity of the original VC grading tool (2021) using a novel 2022 emergency care HRI dataset,
-
2.
explore the effect of including a temperature criterion within a revised VC grading tool,
-
3.
evaluate the construct validity of the revised VC grading tool by analysing prognostic predictive ability using a novel 2023 emergency care HRI dataset.
Materials and methods
This study used a retrospective cohort design aligned with previous VetCompass HRI projects4,8,9. VetCompass offers a research database of de-identified electronic health records (EHRs) from general primary-care, referral, charity and emergency out of hours primary-care veterinary practices in the UK21. The current VetCompass study included EHRs from Vets Now between 2022 and 2023. Vets Now is a dedicated companion animal emergency primary-care service for partnered practices across the UK22. Ethical approval was granted by the Royal Veterinary College (RVC) Ethics and Welfare Committee (reference number SR2023–0132), and the study adhered to the United Kingdom Research and Innovation’s Economic and Social Research Council Framework for research ethics.
The anonymised EHRs of all dogs under Vets Now emergency care during 2022–2023 were reviewed to identify all HRI cases during that period. The HRI case inclusion and exclusion criteria were as defined in previous studies and are outlined in Fig. 28,9. Dogs were defined as under 2022 emergency care if they had at least one EHR recorded during 2022 (1st January to 31 st December 2022), and under 2023 emergency care with at least one EHR recorded during 2023 (1st January to 31 st December 2023). Candidate HRI cases were identified by searching EHRs for the following terms: heatst*; heat exhaust*; overheat*; hri; high ambient temp*; heat str*; collaps* + heat; heat intoleran*; cool*. The EHRs of all candidate HRI cases were randomly ordered and manually reviewed against the inclusion and exclusion criteria (Fig. 2) by three veterinary surgeons (authors SB, EJH and JB) and discussed until a consensus on inclusion was reached. Clinical care that included hospitalisation for more than one night, or a dog being seen by a Vets Now practice on more than one occasion for ongoing care of the same HRI event were considered as a single HRI case.
Flow chart of the heat-related illness event inclusion and exclusion criteria applied to candidate heat-related illness cases identified in the VetCompass database9.
Data fields available for each dog included a unique animal identifier with breed, sex, neuter status, bodyweight and date of birth. Additional clinical data were manually extracted from the free-form text clinical notes including clinical signs, the highest recorded body temperature during triage at Vets Now, cooling actions undertaken prior to case presentation, and case outcome. All HRI cases with at least one recorded clinical sign were retrospectively graded using the original VC grading tool (2021). The HRI grade was determined using all clinical signs recorded whilst the dog was under care at Vets Now so that the grade assigned reflected the progression of HRI during care. Cases with no clinical signs recorded were classified as HRI ungraded and excluded from further analysis. HRI cases were categorised based on outcome as either survived or died by the end of the period of their emergency care (case progression could not be tracked following discharge from emergency care). The outcome ‘died’ was further categorised as either death (all causes) that included patients presented dead on arrival, euthanised, or died unassisted post-presentation to the clinic, or unassisted death (pre or post-presentation) which excluded euthanised patients.
Content validation using the 2022 HRI cases
All 2022 HRI cases were retrospectively graded using the original VC grading tool (2021). The number of deaths (all causes) was calculated for each grade, and evaluated against the theoretical concept underpinning the grading tool18 that increasing HRI severity is associated with worsening thermal pathology and therefore increased risk of a fatal outcome4,11,17. As per the original study that proposed the original VC grading tool (2021)4, each recorded clinical sign was analysed to determine their relative risk of death (all causes) and unassisted death. Univariable relative risk analysis using the chi-squared test performed in EpiTools23, compared the risk of death between HRI cases with the clinical sign of interest and HRI cases without the clinical sign of interest. Results from the review of content validity using the 2022 HRI cases informed revisions to the original VC grading tool (2021), leading to the revised VC grading tool (2026) (Fig. 3).
Flow chart illustrating the evaluation of content validity of the VetCompass (VC) clinical grading tool for heat-related illness (HRI) in dogs4 using cases managed by Vets Now emergency veterinary clinics in the UK during 2022.
To explore the effect of including a temperature threshold as a newly introduced grading criterion, the relative risk of death (all causes) and unassisted death were analysed for 2022 HRI cases using the highest body temperature recorded (regardless of cooling actions applied prior to presentation at Vets Now) and the same method described above for other clinical signs. Body temperatures were categorised as within normal-range (37.6–39.2 °C24, hypothermic (< 37.6 °C), hyperthermic (> 39.2 - < 41.0 °C), or critical (≥ 41.0 °C). Cases without a recorded body temperature were excluded from this part of the analysis.
The addition of a critical (≥ 41.0 °C) temperature threshold was then evaluated alongside the grade of HRI (based on clinical signs), using the hypothesis that clinical signs of Moderate/Severe HRI combined with a presenting body temperature exceeding the critical threshold increase the risk of a fatal outcome. Results from the critical temperature threshold analysis prompted proposal of the revised VC grading tool (2026) with temperature criterion (Fig. 4).
Flow chart illustrating the exploration of the addition of a critical temperature criterion to the VetCompass (VC) clinical grading tool for heat-related illness (HRI) in dogs4 using cases managed by Vets Now emergency veterinary clinics in the UK during 2022.
Construct validation using 2023 HRI cases
The original VC grading tool (2021) was first evaluated by retrospectively assigning grades to each 2023 HRI case with at least one recorded clinical sign. To evaluate the tool’s clinical utility in the absence of another validated grading tool to assess HRI severity, univariable binary logistic regression modelling was used to analyse HRI clinical grade first as a risk factor for death (all causes), then as a risk factor for unassisted death. The area under the receiver operating characteristic (AUROC) curve was used to assess discrimination of the grading tool when predicting death (all causes) and unassisted death, with a higher AUROC score indicating better predictive utility. Statistical analysis was performed using SPSS v29 (IMB Inc.) (Fig. 5).
The revised VC grading tool (2026) was then analysed using the same method, both with and without the addition of critical temperature thresholds. Statistical significance was set at p < 0.05.
Results
Canine HRI cases in 2022
As previously reported, 384 HRI incident cases were identified from the 2022 study population of 167,751 dogs under care at 60 UK emergency clinics, yielding an annual 2022 incidence risk for HRI in the UK emergency-care dog population of 0.23% (95% CI 0.21% − 0.25%)9. An outcome of death (all causes) was recorded for 102/384 2022 HRI cases, giving a case proportional fatality of 26.56% (95% CI 21.66–32.25%). These deaths included 64/102 (62.75%) by euthanasia and 38/102 (37.26%) unassisted deaths of which 10/38 (26.32%) were dead on arrival. At least one clinical sign was recorded in 364/384 (94.79%) cases, and at least one body temperature was recorded in 350/384 (91.15%) cases. Two cases developed HRI whilst the dog was under care; of the remaining 382 dogs that presented with HRI, 102/382 (26.71%) had been cooled prior to presentation. The median age of the 2022 HRI cases was 4.0 years (interquartile range 2.0–8.0 years). Overall, 141/384 were female (36.72%), 195/384 were male (50.78%), 134/384 (34.90%) were neutered, and 187/384 (48.70%) were a brachycephalic breed.
Content analysis for presenting clinical signs of HRI
The original VC grading tool (2021) was retrospectively applied to 364/384 (94.79%) HRI cases from 2022 with at least one clinical sign recorded. Of these, 114 (31.32%) dogs were graded Mild, 113 (31.04%) Moderate, and 137 (37.64%) Severe. The most frequent recorded clinical signs were panting (218/364, 59.90%), dyspnoea (185/364, 50.82%), and vomiting (121/364, 33.24%). The fatality rate (death all causes) was 14.04% (16/114 cases) for Mild, 9.01% (10/111 cases) for Moderate, and 51.08% (71/139 cases) for Severe grades. The case proportional fatality for unassisted deaths was 4.85% (5/103 cases) for Mild, 3.74% (4/107 cases) for Moderate, and 27.47% (25/91 cases) for Severe grades. These higher proportional fatality for Mild compared to Moderate cases suggested an issue with the grading tool’s content validity as fatality rate should be expected to rise progressively from mild to moderate to severe4,11.
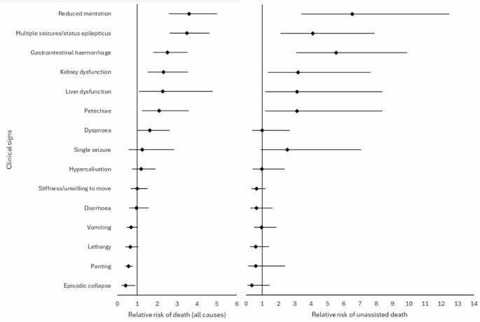
Univariable analysis compared the relative risk of death (all causes) and unassisted death (Fig. 6) for dogs with and without each of the clinical signs included in the original VC grading tool (2021). Dogs with a record of reduced mentation (obtunded, comatose), multiple seizures/status epilepticus, gastrointestinal haemorrhage, kidney dysfunction and petechiae had significantly increased risk of death (all causes) and unassisted death compared to dogs without a record of those clinical signs. Dogs recorded with dyspnoea had significantly increased risk of death (all causes) (1.64, 95% CI 1.02–2.63) but not unassisted death (1.19, 95% CI 0.63–2.25) compared to dogs without a record of dyspnoea. Dogs with excessive panting had significantly reduced risk of death (all causes) (0.56, 95% CI 0.40–0.78) but not unassisted death (0.64, 95% CI 0.34–1.20) compared to dogs without a record of excessive panting. Dogs recorded with episodic collapse had significantly reduced risk of death (all causes) (0.42, 95% CI 0.20–0.92) compared to dogs without a record of episodic collapse. Based on these results, the revised VC grading tool (2026) was developed where episodic collapse was moved from the Moderate grade to Mild, and abnormal breathing was divided to leave excessive panting in Mild while dyspnoea was moved from Mild to Moderate grade.
Evaluating the inclusion of temperature
Univariable analysis was used to compare the relative risk of death (all causes) and unassisted death (Table 1) for HRI cases with a hypothermic, hyperthermic or critical body temperature, to cases with a normal-range temperature. HRI cases with a critical temperature (≥ 41.0 °C) had significantly increased risk of death (all causes) (RR 3.70, 95% CI 2.05–6.78), and unassisted death (RR 5.32, 95% CI 1.61–17.75) compared to HRI cases with a normal-range temperature. HRI cases presenting with a hypothermic temperature (< 37.6 °C) had significantly increased risk of death (all causes) (RR 2.46. 95% CI 1.03–5.85), but no unassisted deaths were recorded. The addition of a critical temperature threshold (≥ 41.0 °C) as a subcategory to each grade of the revised VC grading tool (2026) was therefore explored using the 2022 HRI cases.
The 337 HRI cases with an initial temperature and at least one clinical sign recorded were retrospectively graded using the revised VC grading tool (2026) (Table 2). Four of the 47 Mild cases (8.51%) had a temperature ≥ 41.0 °C, all of which survived, while 1/44 (2.33%) of the Mild HRI cases without a temperature ≥ 41.0 °C died (all causes). Among 167 Moderate cases, 44/167 (26.35%) had a temperature ≥ 41.0 °C, of which 11/44 (25.00%) died (all causes), compared to 11/123 (8.94%) deaths (all causes) from cases without a temperature ≥ 41.0 °C. Exceeding the critical temperature threshold (≥ 41.0 °C) was associated with significantly increased risk of death (all causes) for Moderate cases (2.80, 95% CI 1.30–5.99), but not risk of unassisted death (2.19, 95% CI 0.38–12.59). Among the 123 Severe cases, 57/123 (46.34%) had a temperature ≥ 41.0 °C, of which 37/57 (64.91%) died (all causes), compared to 27/66 (40.91%) deaths from cases without a temperature ≥ 41.0 °C. Exceeding the critical temperature threshold (≥ 41.0 °C) was associated with significantly increased risk of death (all causes) (1.59, 95% CI 1.12–2.24) and unassisted death (2.96, 95% CI 1.25–6.96) for Severe cases.
The increased risk of death (all causes) in dogs with a temperature above the critical threshold (≥ 41.0 °C) and signs of Moderate/Severe HRI (but not Mild), and increased risk of unassisted death for dogs with a critical temperature graded Severe, led to a decision to include a temperature criterion in the revised VC grading tool (2026). Subcategories for dogs presenting with a critical body temperature (≥ 41.0 °C) were added to the Moderate and Severe categories to indicate an elevated risk of death.
Sensitivity analysis
After retrospective application of the revised VC grading tool (2026) with temperature criterion to 364 HRI cases from the 2022 dataset, there were 50/364 (13.74%) cases graded Mild, 177/384 (48.63%) graded Moderate of which 44/177 (24.86%) exceeded the critical temperature threshold, and 137/384 (37.64%) graded severe of which 57/137 (41.61%) exceeded the critical temperature threshold. There were 20 cases that remained ungraded because no clinical signs were recorded in the EHR. The assigned grade differed between the original VC grading tool (2021) and the Revised VC grading tool (2026) with temperature criterion for 168/364 (43.75%) cases. Moving dyspnoea from Mild to Moderate changed the grade of 75 cases. Moving episodic collapse from Moderate to Mild changed the grade of 11 cases. The critical temperature thresholds changed the grade subcategory for 101 cases.
The case proportional fatality (death all causes) between the original VC grading tool (2021) and revised VC grading tool (2026) with temperature criterion grades changed: Mild from 16/114 (14.04%) with the original tool to 1/44 (2.27%) with the revised tool. Moderate from 10/111 (9.01%) with the original tool to 14/133 (10.53%) without critical temperature recorded and 11/44 (25.00%) with critical temperature recorded with the revised tool. The fatality rate of Severe grade cases using the original tool was 71/137 (51.82%), changing to 34/80 (42.50%) without critical temperature recorded and 37/57 (64.91%) with critical temperature recorded with the revised tool.
The revised VC grading tool (2026) with temperature criterion (Fig. 7) was therefore taken forward for construct validation using the 2023 HRI case dataset.
Construct validation of the revised VetCompass grading tool (2026) using 2023 HRI cases as a novel dataset
Canine HRI cases in 2023
There were 426 incident HRI cases identified from the 2023 study population of 158,705 dogs under care at 62 Vets Now emergency veterinary clinics, yielding an annual incidence risk for HRI of 0.21% (95% CI 0.18% − 0.23%). An outcome of death (all causes) was recorded for 91/426 cases, giving a case proportional fatality (death all causes) of 21.36% (95% CI 17.73–44.08%). These deaths included 68/91 (74.73%) by euthanasia, and 23/91 (25.27%) unassisted deaths of which 4/23 (17.39%) were dead on arrival. At least one clinical sign was recorded in 422/426 (99.06%) cases, and at least one body temperature was recorded in 397/426 (93.19%) cases. Six cases developed HRI whilst under care; of the remaining 420 dogs, 120/420 (28.57%) had been cooled prior to presentation. The median age of the 2023 HRI cases was 3.1 years (interquartile range 2.0–6.2 years, range 0.1–16.3 years. Overall, 164/426 (38.50%) were female, 202/426 (47.42%) were male, 147/426 (34.51%) were neutered, and 227/426 (53.29%) were a brachycephalic breed.
Construct validation of the revised VetCompass HRI grading tool (2026)
The 422 HRI cases presented in 2023 with at least one clinical sign recorded were retrospectively graded using the original VC grading tool (2021). This resulted in similar proportional fatality (death all causes) between cases graded Mild (9/119, 7.56%) and Moderate (8/104, 7.69%) (Table 3). Univariable logistic regression modelling of the 2023 dataset using the original VC grading tool (2021) HRI grades as risk factors for death (all causes), then unassisted death, did not identify significant difference in the odds of death (all causes) or unassisted death in Moderate cases compared to Mild cases (Table 3). Cases graded Severe had 7.34 (95% CI 3.46–15.13) times the odds of death (all causes), and 5.28 (95% CI 1.52–18.41) times the odds of unassisted death compared to Mild cases (Table 3). The model using the original VC grading tool (2021) showed acceptable discrimination for death (all causes) AUROC: 0.72 (95% CI 0.66–0.78), and unassisted death AUROC: 0.71 (95% CI 0.61–0.81).
Retrospective grading of the 2023 HRI cases using the revised VC grading tool (2026) resulted in a trend of increasing risk of death (all causes) as grade severity increased (Table 4). Univariable logistic regression modelling of the 2023 dataset using the revised VC grading tool (2026) with temperature criterion grades as risk factors for death (all causes), then unassisted death, cases graded Severe with a critical temperature recorded had 86.67 (95% CI 11.43–657.19) times the odds of death (all causes), and 19.70 (95% CI 2.42–160.51) times the odds of unassisted death compared to Mild cases. The model using the revised VC grading tool with temperature criterion was deemed to show improved discrimination for death (all causes) AUROC: 0.79 (95% CI 0.74–0.84), and unassisted death AUROC: 0.76 (95% CI 0.71–0.86) compared to the original VC grading tool. For comparison, the model using the revised VC grading tool (2026) without temperature criterion showed reasonable discrimination for death (all causes) AUROC: 0.73 (95% CI 0.68–0.79), and unassisted death AUROC: 0.71 (95% CI 0.61–0.71), full model results are available in the supplementary materials (Table S1). The revised VC grading tool (2026) with temperature criterion (herein after called the revised VetCompass clinical grading tool (2026) for heat-related illness in dogs) is therefore proposed as validated for clinical use.
Discussion
The original VC grading tool (2021) was developed using primary-care general practice data to promote greater evidence-based treatment of HRI in dogs4. However, until the tool was externally validated on a novel dataset, the wider clinical utility has remained uncertain. This current study evaluated the original VC grading tool (2021) using a novel emergency-care dataset from 2022. From these results, some limitations with the original grading tool were identified leading to development of the revised VC grading tool (2026) with an added temperature criterion that was then validated against a novel dataset from 2023. Evaluation of the original VC grading tool (2021) in the current study suggested appropriate content validity of the Severe grade; odds of death were significantly higher in HRI cases graded Severe than those graded Mild. Dogs recorded with reduced mentation, multiple seizures/status epilepticus, gastrointestinal haemorrhage, kidney dysfunction and petechiae (the clinical signs in the Severe HRI grade) had significantly increased risk of death (all causes) and unassisted death compared to dogs without a record of those clinical signs. However, no significant difference was detected for the odds of death between HRI cases graded Mild and Moderate. The case proportional fatality (death all causes = 14.04%, unassisted death = 4.85%) for HRI cases graded Mild were higher than for cases graded Moderate (9.01% and 3.74% respectively) in the novel 2022 dataset, prompting re-evaluation of the criteria for Mild and Moderate grades.
The paper proposing the original VC grading tool (2021) grouped continuous panting and respiratory effort into a single criterion within the Mild HRI grade4. In the current study, the clinical signs excessive panting and dyspnoea (respiratory effort) were extracted and analysed separately, since dyspnoeic patients require urgent assessment and treatment while panting dogs may not25. Subsequent relative risk analysis identified dogs recorded with dyspnoea had significantly increased risk of death (but not unassisted death), whilst dogs recorded with excessive panting had significantly reduced risk of death. Additionally, dogs recorded with episodic collapse (in the Moderate HRI grade of the original VC grading tool) had significantly decreased risk of death compared to dogs without those signs recorded. These results suggested a content validity issue for the Mild and Moderate HRI grades in the original VC grading tool (2021) that prompted revision; dyspnoea was re-categorised as a Moderate HRI criterion, whilst episodic collapse and excessive panting were categorised as Mild HRI criteria.
The other revision to the original VC grading tool (2021) proposed in the current study is the addition of a critical temperature criterion for the Moderate and Severe HRI grades. Mirroring the previous results from Hall et al.4, HRI cases in the current study with a critical temperature (≥ 41.0 °C) had significantly increased risk of death (all causes) and unassisted death compared with cases with a normal-range temperature. The original VC grading tool (2021) did not include a temperature criterion over concerns it could result in misdiagnosis of HRI patients if their body temperature had reduced following active cooling prior to hospitalisation4,11. In the current study, 26.71% (102/382) of HRI cases receiving emergency care during 2022 had been cooled prior to presentation, and only 30.29% (106/350 cases with a temperature recorded) were recorded to have reached an initial critical temperature. These results therefore further highlight that having a temperature recording below the critical temperature level is not a reliable criterion for ruling out a diagnosis of HRI. Instead, we have proposed including critical temperature as a subcategory within the Moderate and Severe HRI grades of the revised VC grading tool (2026), to align with the theoretical principle that both duration and elevation beyond a critical temperature threshold predicts HRI fatality3. In contrast, an initial critical temperature combined with Mild signs of HRI (excessive panting, lethargy, episodic collapse with spontaneous recovery) was not associated with increased risk of death, suggesting the duration and/or extent of critical hyperthermia had yet to cause significant pathology, therefore a subcategory of critical temperature was not justified at this grade.
The current study did not aim to evaluate the impact of cooling actions applied prior to, or following presentation at Vets Now. VetCompass does not provide access to supplementary documents outside of the standard clinical notes within patient records (such as hospitalisation charts), and therefore detailed temperature monitoring records were not accessible for the current analysis. Additionally, the record of cooling actions applied prior to presentation relies upon both the accuracy of the history provided by the dog’s owner, and the treating veterinarian capturing this detail within the EHR. Furthermore, results from a previous study suggest the cooling actions employed by dog owners and veterinary professionals may be of limited effectiveness, as only 24% of dogs under primary veterinary care during 2016–2018 were cooled using a recommended method (cold water immersion or evaporative cooling)26. The present study deliberately did not incorporate prior cooling action into the evaluation of the grading tool’s predictive ability, as the tool is designed to be used to continuously monitor the dog’s condition, reflecting the progressive nature of HRI.
Optimal grading tool validation should include evaluation using a novel dataset27. We therefore retrospectively applied the revised VC grading tool (2026) with critical temperature criterion to a novel dataset of HRI cases from 2023. The revised tool (with critical temperature criterion) was deemed to show improved discrimination when predicting an outcome of death (all causes) or unassisted death, when compared to the original VC grading tool (2021) and the revised VC grading tool (2026) without critical temperature criterion. Applying the theoretical principle underpinning the JAAMHC human HRI staging system, there should be a lower fatality rate for Mild cases than Moderate/Severe cases if the grading tool has appropriate construct validity11. Therefore, the revised VC grading tool (2026) with critical temperature criterion had better construct validity than the original tool when applied to the novel 2023 HRI dataset; the fatality rate increased through each grade and critical temperature criterion of the revised grading tool (Table 4). Going forward, we therefore propose the use of the revised VC grading tool (2026) with critical temperature criterion.
Based on the evaluation and validation demonstrated in this study, we recommend the diagnosis of HRI in dogs should result from veterinary assessment for the following three criteria:
-
1.
Patient history of exposure to heat from a hot environment and/or exertion,
-
2.
Evidence or history (i.e. delayed presentation or active cooling undertaken) suggestive of having reached a critically elevated core temperature (≥ 41.0 °C),
-
3.
Impairment or injury to the central nervous system (indicated by decreased mentation, ataxia, seizure, obtunded or comatose) and/or other organs (such as liver, kidney, muscle and gastro-intestinal tract).
Grading of HRI severity using the revised VC grading tool (2026) should include evaluation of presenting clinical signs alongside the critical temperature criterion to identify patients in urgent need of rapid effective cooling, additional diagnostic testing and hospitalisation.
A key limitation of this validation study is the lack of universally agreed definitive diagnostic criteria for HRI, and also the absence of another non-VetCompass validated, primary-care accessible grading tool to assess HRI severity in dogs, meaning it was not possible to validate the revised VC grading tool (2026) against another standard. Whilst Segev et al.28 have proposed a novel scoring system for dogs with heatstroke, their score requires assessment of coagulation analytes not readily available as in-house tests for many general practices, and focuses purely on cases at the Severe end of the HRI spectrum. Thus, we opted to analyse HRI clinical grade as a risk factor for both death (all causes) and unassisted death. Both outcomes were explored because euthanasia is frequently performed in the UK to prevent further animal suffering, but also if contextual factors (such as cost of care or patient compliance) limit the pursuit of advanced treatment options29.
Cross UK primary-care practices contributing to VetCompass in 2016, 64.81% of HRI case fatalities were by euthanasia8, and in 2022 across Vets Now emergency care clinics 62.75% of HRI case fatalities were by euthanasia9. In comparison, a study of dogs presented to a University hospital in Israel reported 28.36% of heatstroke fatalities were by euthanasia28, and that euthanasia was performed due to “a perceived poor prognosis”. The difference between euthanasia rates in the UK versus Israel may be influenced by cultural factors, including access to affordable veterinary care and the current cost of living crisis leading to increased euthanasia for financial rather than clinical reasons in the UK30. However, there are also important differences between the study demographics. The study of dogs in Israel selected for severe HRI cases by including only cases of heatstroke (comparable to Severe HRI), excluding dogs with pre-existing medical conditions, and excluding cases where the owner elected for euthanasia solely due to financial constraints28. In contrast, the current study of dogs in the UK included all grades of HRI and did not exclude dogs with comorbidities nor outcomes of euthanasia due to financial constraints. The revised VC grading tool (2026) with temperature criterion showed the highest discrimination for both death (all causes) and unassisted death, when compared to previous versions of the tool. However, further validation through prospective application of the tool and evaluation of the tool’s impact on case management and outcome should be considered for ongoing quality improvement.
At present, the suggested treatments listed in the revised VC grading tool (2026) are based on recommendations for symptomatic treatment and limitation of further thermal pathology associated with critical hyperthermia through rapid effective cooling2,4,12,31,32. These recommendations also reflect and align with the current expert consensus in human medicine17. Whilst a growing body of evidence supports water immersion and evaporative cooling (application of water combined with air movement) as safe, effective methods of cooling dogs15,33,34,35, post-HRI hypothermia has been associated with negative outcomes in human medicine36. In the current study, hypothermia on presentation for veterinary care was associated with an increased risk of death (all causes) but not unassisted death, as all fatalities in hypothermic dogs were by euthanasia (Table 1) and five of those six fatalities had signs of Severe HRI. Further research is therefore warranted to better understand if post-HRI hypothermia is associated with negative outcomes due to the effects of cooling, or due to circulatory collapse as a consequence of thermal pathology12.
As the current study was conducted in a primary-care emergency clinic setting, access to advanced therapeutic options such as haemodialysis37 and long-term follow up was limited as cases are typically transferred or discharged back to their primary-care practice after weekend/overnight care at Vets Now. Therefore, the proportional fatality reported and used for grading tool evaluation in the current study may not be truly representative of long-term patient outcomes. However, as HRI is a relatively uncommon and highly seasonal presentation8,9, the aim of validating the revised VC grading tool (2026) was to provide a resource to support veterinary professionals with the identification and triage of patients with HRI and aid the monitoring of disease progression. Use of the tool may also support veterinary professionals in contextualised care discussions, to create shared understanding of decision making as part of informed consent regarding the most appropriate treatment for these emergency cases where rapid decisions are often required.
Finally, we urge veterinary professionals to note that the overall HRI case proportional fatality for dogs under emergency care in the UK was 26.56% during 2022, and 21.36% during 2023, with over 60% of those fatalities being euthanasia. During the two years of study, 76.17% of dogs treated for HRI survived. Whilst we have used an outcome of death to evaluate the predictive ability of the grading tool, the tool should not be used in isolation to justify a decision of euthanasia. Instead, the tool should be used to facilitate urgent decision making in patients likely to need more intensive care. Where access to resources is limited (through financial or other reasons), or patient factors such as advanced age, comorbidities, or innate conformational risk factors for HRI exist, the tool may support professional deliberation of contextualised care.
Limitations
The emergency-care clinical data used in the current study were not primarily recorded for research and therefore some information from the EHRs may be missing or inaccurate. Not all recorded patient data captured during hospitalisation monitoring in a clinic is recorded into the EHR and therefore available through VetCompass; some of these other data may be recorded only on paper-based systems or on computerised systems that were not part of the practice-management system used by Vets Now. For example, peripheral nucleated red blood cells (NRBCs) have previously been identified as an important prognostic indicator for dogs with HRI38, however, there was limited recording of NRBCs in the HRI case records in the current study so their inclusion in the revised VC grading tool (2026) could not be evaluated. As the HRI classification was carried out retrospectively using the information recorded in the EHR, some HRI cases may have been mis-graded due to missing information or lack of follow up. As previously noted, there is no definitive diagnostic test or standardised clinical criteria for HRI, so the current study relied on the clinical acumen of the attending veterinary teams for diagnosis. The confidence of each clinician on their diagnoses may vary based on factors including workload, experience, and knowledge of HRI.
A prospective study in a novel population could further increase confidence in the generalisability of clinical utility of the tool. This could also validate the tool’s performance for novel applications such as a teaching aid or as a telephone-based triage tool.
Conclusion
This study presents a revised VetCompass HRI grading tool (2026) following evaluation and then validation using novel emergency-care veterinary datasets. Re-categorising some clinical signs (panting, dyspnoea, episodic collapse) between grades and the addition of critical temperature criterion in the Moderate and Severe grades was deemed to improve the tool’s discrimination to predict death as an outcome. As climate change leads to increasingly variable weather with more frequent extreme global temperatures, HRI will become more prevalent and severe, requiring urgent mitigations to limit the impact on canine welfare. The revised and validated VetCompass HRI grading tool (2026) can support veterinary professionals to better identify and triage dogs with HRI, and support owners in their decision-making when faced with these emergency cases. This study also illustrates the importance of performing ongoing evaluation and validation of clinical tools, especially when applied to a different clinical setting.
Data availability
Data to support this manuscript is available here: [https://doi.org/10.6084/m9.figshare.30834581].
References
Bouchama, A. & Knochel, J. P. Heat stroke. N. Engl. J. Med. 346 (25), 1978–1988 (2002).
Flournoy, S., Macintire, D. & Wohl, J. Heatstroke in dogs: clinical Signs, Treatment, Prognosis, and prevention. Compendium: Continuing Educ. Veterinarians. 25 (6), 422–431 (2003).
Shapiro, Y., Rosenthal, T. & Sohar, E. Experimental heatstroke a model in dogs. Arch. Intern. Med. 131 (5), 688–692 (1973).
Hall, E. J., Carter, A. J., Bradbury, J., Barfield, D. & O’Neill, D. G. Proposing the VetCompass clinical grading tool for heat-related illness in dogs. Sci. Rep. 11 (1), 6828 (2021).
Bruchim, Y. et al. Heat stroke in dogs: A retrospective study of 54 cases (1999–2004) and analysis of risk factors for death. J. Vet. Intern. Med. 20 (1), 38–46 (2006).
Drobatz, K. J. & Macintire, D. K. Heat-induced illness in dogs: 42 cases (1976–1993). J. Am. Vet. Med. Assoc. 209 (11), 1894–1899 (1996).
Teichmann, S., Turković, V. & Dörfelt, R. Heatstroke in dogs in Southern Germany. A retrospective study over a 5.5-year period. Tierarztl. Praxis Ausgabe K Kleintiere/Heimtiere. 42 (4), 213–222 (2014).
Hall, E. J., Carter, A. J. & O’Neill, D. G. Incidence and risk factors for heat-related illness (heatstroke) in UK dogs under primary veterinary care in 2016. Sci. Rep. 10 (1), 9128 (2020).
Beard, S. et al. Epidemiology of heat-related illness in dogs under UK emergency veterinary care in 2022. Vet. Rec. 194 (11), 1–11 (2024).
Tripovich, J., Wilson, B., McGreevy, P. & Quain, A. Incidence and risk factors of heat-related illness in dogs from new South Wales, Australia (1997–2017). Aust Vet. J. ;1–12. (2023).
Yamamoto, T. et al. Evaluation of a novel classification of Heat-Related illnesses: A multicentre observational study (Heat stroke STUDY 2012). Int. J. Environ. Res. Public. Health. 15 (9), 1962 (2018).
Bruchim, Y., Horowitz, M. & Aroch, I. Pathophysiology of heatstroke in dogs – revisited. Temperature 4 (4), 356–370 (2017).
Carter, A. J. & Hall, E. J. Investigating factors affecting the body temperature of dogs competing in cross country (canicross) races in the UK. J. Therm. Biol. 72, 33–38 (2018).
McNicholl, J., Howarth, G. S. & Hazel, S. J. Influence of the environment on body temperature of racing greyhounds. Front. Veterinary Sci. 3, 53 (2016).
Davis, M. S., Marcellin-Little, D. J. & O’Connor, E. Comparison of postexercise cooling methods in working dogs. J. Special Oper. Med. 19 (1), 56–60 (2019).
Baker, J. A. & Davis, M. S. Effect of conditioning on exercise-induced hyperthermia and post-exercise cooling in dogs. Comp. Exerc. Physiol. 14 (2), 91–97 (2018).
Liu, S. Y., Song, J. C., Mao, H. D., Zhao, J. B. & Song, Q. Expert consensus on the diagnosis and treatment of heat stroke in China. Mil Med. Res. 7 (1), 1 (2020).
Streiner, D. L., Norman, G. R. & Cairney, J. Validity. In: Health Measurement Scales. Oxford University PressOxford; 257–286. (2024).
Collins, G. S., Reitsma, J. B., Altman, D. G. & Moons, K. Transparent reporting of a multivariable prediction model for individual prognosis or diagnosis (TRIPOD): the TRIPOD statement. BMC Med. 13 (1), 1 (2015).
Steyerberg, E. W. & Vergouwe, Y. Towards better clinical prediction models: seven steps for development and an ABCD for validation. Eur. Heart J. 35 (29), 1925–1931 (2014).
VetCompass. VetCompass Programme [Internet]. [cited 2025 Aug 14]. (2025). Available from: http://www.rvc.ac.uk/VetCOMPASS/
Leicester, L., Reid, A., Gilbert, S., Marshall, R. & O’Neill, D. G. Applying clinical audit for quality improvement in canine dystocia cases seen at a UK primary-care emergency practice. Vet. Rec. 192 (11), no (2023).
Sergeant, E. S. G. Epitools Epidemiological Calculators (Ausvet, 2018).
Werth, A., Hall, E., Bradbury, J. & O’Neill, D. Hot Dogs - Getting to the bottom of normal temperatures for dogs presenting to UK veterinary clinics. In: BSAVA Congress Proceedings 2024. Manchester, UK. 21st March: British Small Animal Veterinary Association; (2024).
O’Sullivan, M. Tachypnea, Dyspnea, and respiratory distress. In Textbook of Veterinary Internal Medicine. Eight Edit (eds Ettinger, S. et al.) 518–522 (Elsevier, 2017).
Hall, E. J. et al. Cooling Methods Used to Manage Heat-Related Illness in Dogs Presented to Primary Care Veterinary Practices during 2016–2018 in the UK. Vet Sci [Internet]. 10(7), 465. (2023). Available from: https://www.mdpi.com/2306-7381/10/7/465
Cowley, L. E., Farewell, D. M., Maguire, S. & Kemp, A. M. Methodological standards for the development and evaluation of clinical prediction rules: a review of the literature. Diagn. Prognostic Res. 3 (1), 16 (2019).
Segev, G., Aroch, I., Savoray, M., Kass, P. H. & Bruchim, Y. A novel severity scoring system for dogs with heatstroke. J. Veterinary Emerg. Crit. Care. 25 (2), 240–247 (2015).
Pegram, C. et al. Proportion and risk factors for death by euthanasia in dogs in the UK. Sci. Rep. 11 (1), 9145 (2021).
Williams, R. How the cost of veterinary care impacts the wellbeing, learning and practice of early career vets. Vet. Rec. 196 (2), 1–7 (2025).
Hemmelgarn, C. & Gannon, K. Heatstroke: clinical signs, diagnosis, treatment, and prognosis. Compend Contin Educ. Vet. 35 (7), E3 (2013).
Hanel, R. M. et al. Best practice recommendations for prehospital veterinary care of dogs and cats. J. Veterinary Emerg. Crit. Care. 26 (2), 166–233 (2016).
Carter, A. J. et al. Post-exercise management of exertional hyperthermia in dogs participating in dog sport (canicross) events in the UK. J. Therm. Biol. 121 (November 2023), 103827 (2024).
Parnes, S. C., Mallikarjun, A., Ramos, M. T., Stone, T. A. & Otto, C. M. A randomized Cross-Over study comparing cooling methods for Exercise-Induced hyperthermia in working dogs in training. Animals 13 (23), 3673 (2023).
Brownlow, M. & Streckfuss, E. Hot dogs : thermoregulatory function and dysfunction in the racing Greyhound (Canis familiaris) and the rationale for cooling strategies. Australian Veterinary Practitioner. 54 (2), 83–115 (2024).
Chen, L. et al. Association between cooling temperature and outcomes of patients with heat stroke. Intern. Emerg. Med. ; (2023). (0123456789).
Tracy, A., Lynch, A., Messenger, K., Vaden, S. & Vigani, A. Use of extracorporeal therapy in a dog with heatstroke. J. Veterinary Emerg. Crit. Care. 32 (4), 512–519 (2022).
Aroch, I., Segev, G., Loeb, E. & Bruchim, Y. Peripheral nucleated red blood cells as a prognostic indicator in heatstroke in dogs. J. Vet. Intern. Med. 23 (3), 544–551 (2009).
Acknowledgements
Thanks to Noel Kennedy (RVC) for VetCompass software and programming development. We acknowledge Vets Now for contributing data for the current study and collaborating with the VetCompass programme. We also acknowledge the Medivet Veterinary Partnership, Vets4Pets/Companion Care, Goddard Veterinary Group, CVS Group, IVC Evidensia, Beaumont Sainsbury Animal Hospital, Blue Cross, PDSA, Dogs Trust, Vets Now and the other UK practices who collaborate in VetCompass. We thank Dogs Trust for funding the current work. We are also grateful to The Royal Kennel Club, The Kennel Club Charitable Trust and Agria Pet Insurance for wider support for VetCompass.
Funding
This study was funded by a Dogs Trust Canine Welfare Grant. Dogs Trust did not have any input in the design of the study, the collection, analysis and interpretation of data, or in writing the manuscript.
Author information
Authors and Affiliations
Contributions
DGO, SG and LL were responsible for the acquisition of the clinical data used in the study. EJH, AJC, SG and DGO were responsible for sourcing funding for the project. EJH, SB, AJC, SG and DGO were responsible for the conception and design. SB, EJH, JB and DGO were responsible for the extraction and collation of data. SB and EJH carried out the analysis. SB, EJH. JB and DGO were mainly responsible for drafting the manuscript. SB, EJH, JB, AJC, SG, LL, DB and DGO were involved in interpreting the results, revising the manuscript and gave final approval of the version to be published. SB, EJH, JB, AJC, SG, LL, DB and DGO agree to be accountable for all aspects of the accuracy and integrity of the work.
Corresponding author
Ethics declarations
Competing interests
The authors declare no competing interests.
Additional information
Publisher’s note
Springer Nature remains neutral with regard to jurisdictional claims in published maps and institutional affiliations.
Supplementary Information
Below is the link to the electronic supplementary material.
Rights and permissions
Open Access This article is licensed under a Creative Commons Attribution-NonCommercial-NoDerivatives 4.0 International License, which permits any non-commercial use, sharing, distribution and reproduction in any medium or format, as long as you give appropriate credit to the original author(s) and the source, provide a link to the Creative Commons licence, and indicate if you modified the licensed material. You do not have permission under this licence to share adapted material derived from this article or parts of it. The images or other third party material in this article are included in the article’s Creative Commons licence, unless indicated otherwise in a credit line to the material. If material is not included in the article’s Creative Commons licence and your intended use is not permitted by statutory regulation or exceeds the permitted use, you will need to obtain permission directly from the copyright holder. To view a copy of this licence, visit http://creativecommons.org/licenses/by-nc-nd/4.0/.
About this article
Cite this article
Beard, S., Hall, E.J., Bradbury, J. et al. Evaluation and validation of a revised VetCompass clinical grading tool for heat-related illness in dogs. Sci Rep 16, 4661 (2026). https://doi.org/10.1038/s41598-025-34768-9
Received:
Accepted:
Published:
Version of record:
DOI: https://doi.org/10.1038/s41598-025-34768-9






