Abstract
Biochar represents carbon rich material product obtained from pyrolyzing biomass and has been postulated to enhance soil health and agricultural productivity. This study examined the effect of amending the soil with biochar on yield as well as the physical and chemical properties of Valencia oranges. A control (no biochar) (T1), biochar applied at 2.0 (T2), 4.0 (T3), and 6.0 (T4) kg/tree/year were among the treatments used in a field experiment. Results showed that, when compared to control, biochar significantly (p < 0.05) increased leaf nutrient content in terms of N, P, K, and total chlorophyll content of leaves. The effect was strongest at the highest application rate of 6 kg/tree/year (T4). Biochar treatments also enhanced physical properties of fruit; the most marked improvements again being observed in T4. Yield was observed to increase progressively with increased biochar application rates. In the first year, yield increases over control were 52.9% in T2, 69.0% in T3, and 73.3% in T4. For T2, T3, and T4, the corresponding increases in the second season were 47.7%, 59.9%, and 67.9%. Biochar application also improved fruit chemical properties. Therefore, it was demonstrated that biochar could be utilized as a significant soil amendment to enhance Valencia orange production by increasing the soil’s nutrient availability, increasing leaf chlorophyll content, fruit physical attributes, and ultimately fruit yield. In conclusion an application rate of biochar at the rate of 6 kg/tree/year is recommended for fulfilling the productivity of Valencia orange orchards.
Similar content being viewed by others
Introduction
Oranges (Citrus sinensis L. Osbeck) represent one of the most economically important fruit crops worldwide and are a major component of Egypt’s fruit industry, contributing substantially to national income and export revenues. Among citrus cultivars, Valencia orange holds a dominant position due to its adaptability, late maturity, and high juice quality, which meet both domestic consumption and export demands1. However, sustaining high productivity and fruit quality in Egyptian citrus orchards remains a challenge due to adverse soil conditions and climatic constraints. The predominance of sandy soils, low organic matter content, rapid nutrient leaching, and limited microbial activity frequently lead to nutrient imbalances and reduced fruit yield and quality2. To overcome these limitations, growers commonly rely on soil amendments and organic inputs to improve soil fertility, structure, and water-holding capacity. On the other hand, it has been reported that the use of organic fertilizers gives superior results in fruit quality and has positive effects on yield3. In the present study, biochar was produced from locally available citrus pruning residues, providing a practical example of recycling agricultural waste and promoting sustainability. While biochar’s benefits in soil improvement are well-documented, limited information exists regarding its direct influence on leaf nutrient composition, chlorophyll content, fruit yield, and quality in Valencia orange under Egyptian orchard conditions. By focusing on this region-specific application, the study addresses a knowledge gap in sustainable citrus management, linking biochar amendments to both local resource utilization and improved citrus productivity. Although biochar research has expanded rapidly in recent years, most studies have focused primarily on soil improvement rather than its direct influence on perennial fruit crops, particularly citrus. In fruit trees, the leaf nutrient composition serves as a sensitive indicator of nutrient uptake and is closely related to growth performance, yield, and fruit quality4. Therefore, understanding how biochar-induced soil modifications influence leaf chemical composition and subsequent fruit characteristics is essential.
Several studies in different fruit crops have demonstrated positive effects of biochar on tree performance and fruit quality. For instance, growth, blooming, and yield improved in peach trees5; biochar addition (1–4%) enhanced soil properties and yield in Satsuma mandarin6; 10 t ha⁻¹ increased growth of apple trees7,8 and biochar application between 213 and 426 g tree⁻¹ improved the nutritional and quality traits of blueberries9, while 250–500 g tree⁻¹ enhanced grape fruit size and firmness10. These studies collectively demonstrate the potential of biochar to improve nutrient cycling and fruit quality through its effects on soil–plant interactions11. However, information remains scarce regarding biochar application in citrus orchards, especially under Egyptian conditions characterized by sandy soils and arid climates. The extent to which biochar can influence leaf nutrient composition, fruit yield, and quality in fully grown Valencia orange trees cultivated in the El Salheya region has not been fully explored. Considering the region’s unique soil texture, irrigation system, and environmental setting, biochar may behave differently than in other ecosystems. Therefore, the present study was designed to evaluate the effect of biochar soil application on leaf chemical composition, fruit yield, and quality of Valencia orange trees grown under the conditions of El Salheya, Egypt. This work aims to bridge the knowledge gap regarding biochar–citrus interactions and provide insights into the potential of biochar as a sustainable soil amendment for enhancing citrus productivity and fruit quality in sandy soils.
Materials and methods
Soil analysis
Study site and experimental design
In the typical subtropical climate of the El Salheya region, Sharqia Governorate, Egypt, this study intends to examine the effects of applying biochar at different rates on the fruit production and quality of mature Valencia orange (Citrus sinensis L. Osbeck) trees. This study was conducted at a commercial citrus orchard located in the El Salheya, Sharqia Governorate, 30°46’30"N 32°00’47"E, which has a subtropical climate characterized by warm temperatures and sea-sonal rainfall (Fig. 1) during the successive seasons 2023 and 2024. The experimental site was chosen for its uniform soil type, similar water availability, and history of Valencia orange cultivation. At the beginning of the experiment, the Valencia orange trees were ten years old, and the orchard was maintained according to accepted agronomic procedures. The trees were planted at a spacing of 3 × 5 m apart (633 tree ha− 1), and the soil in the orchard is classified as sandy. Surface methods of drip irrigation were used in the research farm with 8 adjustable discharge emitters/trees (8 L/h), through 2 irrigation lines.
The monthly average of Climatic conditions at El Salheya region, Sharqia Governorate, Egypt. (T2M): temperature (°C), (TMIN): minimum temperature (°C), (TMAX) maximum temperature (°C) and (rain) precipitation (mm) during the growing seasons.
Biochar application and soil preparation
A randomized complete block design (RCBD) was employed with four biochar treatments (0, 2, 4, and 6 kg tree⁻¹ year⁻¹) and three replications, giving a total of 12 experimental plots. Each replication (block) represented a uniform section of the orchard to account for potential field variability. Within each block, the four treatments were randomly assigned to individual plots, each consisting of 10 Valencia orange trees of uniform vigor and age, making a total of 30 trees per treatment. The outermost rows were used as borders to minimize edge effects. Data were collected from the central six trees in each plot. The statistical model for ANOVA included both treatment and block as fixed effects to account for spatial variation among replicates. The treatments were as follows:
T1: Control: No biochar application (conventional management practices).
T2: Biochar applied at a rate of 2.0 kg/tree/year.
T3: Biochar applied at a rate of 4.0 kg/tree/year.
T4: Biochar applied at a rate of 6.0 kg/tree/year.
The biochar used in the study was produced from biomass source, citrus pruning agricultural waste, using a pyrolysis process at a temperature of 550˚C for 40 min12,13. The physicochemical properties of the biochar (Table 2), including surface area, pH, total carbon content, and ash content, were characterized using standard methods14,15. Citrus pruning agricultural waste, a plentiful and underutilized feedstock in the area, is used in this study to make biochar. This method helps with sustainable waste management in the citrus industry in Egypt in addition to investigating the potential benefits of biochar in citrus production. Investigating the effectiveness of biochar made from this particular feedstock gives the study an additional level of originality.
Measurements
Biochar was applied during winter, prior to the onset of the growing season, so that it could interact with the soil before tree growth started accelerating16. Before the application of biochar, soil within each plot was tilled to a depth of 20 cm to facilitate mixing. For orange trees, biochar was applied by placing it into a pit (40 cm x 30 cm x 30 cm) located under the drip emitters. The biochar was mixed with soil that had been excavated from the pit and the pit was backfilled. The pit was carefully positioned on the drip line (outer edge of the tree canopy) to avoid harming the fine, absorbent roots. The application was done in the middle of October of each season. One application each trial of the active microorganisms (EM) at a dose of 0.5 L was used as a soil treatment for each tree. The micronutrient mix, presented in a chelated form to promote uptake, was administered to the Valencia orange trees in March, May, and August; it consisted of 300 mg iron (Fe), 150 mg manganese (Mn), 100 mg zinc (Zn), 50 mg copper (Cu), and 50 mg boron as boric acid (B). This micronutrient application was a continuation of the standard fertilization program recommended by the Egyptian Ministry of Agriculture (1000 g N, 1500 g P2O5, and 500 g K2O per tree annually), which was administered uniformly to all experimental trees. Additionally, Valencia orange trees are impacted when biochar is added to the soil in addition to the standard drip irrigation techniques and fertilization schedule recommended by the Egyptian Ministry of Agriculture. A more realistic understanding of how adding biochar can affect citrus production in Egypt under normal farming conditions will be provided by this evaluation.
Data collection
Total leaf chlorophyll
Foliar total chlorophyll content was determined in September using a non-destructive Minolta SPAD-502 chlorophyll meter, following the methodology described by17. Measurements were performed on the apical fifth leaf from three randomly selected branches per tree. On each leaf, three readings were taken at the base, middle, and tip of the leaf, and the mean of these readings was calculated to represent the chlorophyll content of that leaf. SPAD readings were conducted once throughout the experimental period to monitor changes in leaf chlorophyll content in response to biochar treatments. Measurements were performed between 9:00 and 11:00 a.m. under clear sky conditions to minimize the influence of light intensity on readings. A total of five trees per treatment were measured, and the average SPAD value per treatment was used for statistical analysis. While the SPAD-502 instrument operates by measuring light transmittance at two wavelengths (red, λ = 650 nm, and near-infrared, λ = 940 nm) and converting the ratio into a numerical SPAD value.
Leaf chemical composition
Leaf samples were collected at the end of each growing season (August) from mature, fully expanded leaves from the middle section of the tree canopy. Samples from 5 trees within each plot were pooled to form a composite sample, which was analyzed for various chemical components. Key nutrients (e.g., nitrogen, phosphorus, potassium) were determined as follows: Dried samples were ground using an electric mill. Ground samples were digested according to the method of18. The determinations of various nutrients were as follows:
-
a.
Nitrogen content was determined by the modified micro Kjeldahl method as described by19 data expressed as g/100 g dry weight.
-
b.
Phosphorous content was determined calorimetrically using the method of20.
-
c.
Potassium and calcium contents were determined by using a flame photometer according to the method described by21. Data for all nutrients were expressed as g/100 g dry weight.
Calculations of leaf nutrients
-
Nitrogen (% DW):
-
Phosphorus (% DW):
-
Potassium and Calcium (% DW):
Fruit yield and quality
At harvest, the total fruit yield from each tree was weighed using a digital scale and expressed in (kg/tree) at the end of each growing season, and the yield increasing percentage was recorded as follows: \(\:Yieldincreasing\text{\%}=\frac{\left(Yield\right(treatment)-Yield(control)100}{Yield\left(control\right)}\)
To assess fruit quality, 30 fruits from each replicate were randomly selected and analyzed for the following parameters:
Fruit weight: Measured using an electronic scale. Fruit height: Measured as the average diameter of 10 fruits per replicate, using a caliper.
Juice content: Determined by extracting juice from a known weight of fruit and expressing it as a percentage of total fruit weight.
Chemical properties of the fruits analyzed included total soluble solids (TSS, %), total acidity (%), ripening index, and ascorbic acid content
To assess TSS (total soluble solids) and total acidity, 10 g of pulp from ‘Valencia orange’ fruits were homogenized with 50 mL of distilled water. The TSS content of the filtered juice was determined using a digital refractometer and expressed in percentage. titratable acidity was measured by titration with 0.1 N NaOH and expressed as a percentage of citric acid, following the methods described by Paez et al.22.
Ascorbic acid (vitamin C) content, expressed as mg of ascorbic acid per 100 mL of juice, was determined by titration with 2,6-dichlorophenol-indophenol dye, in accordance with Paez et al.22 procedures.
\(\:\text{VC\:(mg/100\:mL)}=\frac{{V}_{\text{DCPIP}}\times\:{N}_{\text{DCPIP}}\times\:1000\times\:100}{{V}_{\text{juice}}}\)Where:
\(\:{V}_{\text{DCPIP}}\)= volume of dye used to titrate the juice (mL).
\(\:{N}_{\text{DCPIP}}\)= normality of 2,6-dichlorophenol-indophenol solution (mol/L).
\(\:{V}_{\text{juice}}\)= volume of juice used (mL).
Total soluble solids (TSS): Measured using a refractometer, with results reported in percentage. Titratable acidity (TA): Determined by titrating a juice sample with a standard sodium hydroxide solution, expressed as a percentage of citric acid.
Total acidity calculation
\(\:\text{TA\:(\%\:citric\:acid)}=\frac{{V}_{\text{NaOH}}\times\:{N}_{\text{NaOH}}\times\:{M}_{\text{citric\:acid}}\times\:100}{{W}_{\text{sample}}}\)Where:
\(\:{V}_{\text{NaOH}}\)= volume of NaOH used (mL).
\(\:{N}_{\text{NaOH}}\)= normality of NaOH (eq/L).
\(\:{M}_{\text{citric\:acid}}\)= 192.12 g/mol.
\(\:{W}_{\text{sample}}\)= weight of pulp (g).
The ripening index was calculated using the formula:
Ripening Index (RI):
\(\:\text{RI}=\frac{\text{TSS\:(\%)}}{\text{TA\:(\%)}}\)
Statistical analysis
Data were analyzed using one-way analysis of variance (ANOVA) was performed, and treatment means were compared using the Least Significant Difference (LSD) test at the 5% level of significance (p ≤ 0.05) according to23, to evaluate the effects of biochar application, on leaf chemical composition, fruit yield, and quality parameters. All data were checked for normality and homogeneity of variances prior to analysis. Statistical analyses were performed using co-stat software according to Stern24.
Results
Effect of biochar application on leaf nutrients content
The soil application of biochar significantly boosted leaf nutrient content in Valencia orange trees, particularly when applied at the start of the growing season Fig. 2A–D. All biochar treatments demonstrably increased macronutrient levels (nitrogen, phosphorus, and potassium), as well as total leaf chlorophyll contents, compared to the control group. The leaf nitrogen, phosphorus, and potassium contents increased by 18.7%, 22.5%, and 35.4%, respectively, while (SPAD values increased by 16.3%, Fig. 2D) compared to the control (Fig. 2A–C). The 6 kg/tree/year application rate yielded the best results for these key leaf chemical parameters. A clear positive correlation emerged between biochar concentration and leaf nutrient content: higher biochar application levels resulted in increased nutrient uptake. These findings align with recent research25, which also demonstrated that varying biochar application rates significantly increased nitrogen, phosphorus, potassium, and total chlorophyll content in citrus.
Effect of biochar soil application on some of leaf chemical properties of Valencia orange trees during 2023 and 2024 seasons. T1: control, T2: Biochar at a rate of 2.0 kg/tree/year, T3: Biochar at a rate of 4.0 kg/tree/year, T4: Biochar at a rate of 6.0 kg/tree/year, (A): Leaf N% content, (B): Leaf P% content, (C): Leaf K% content and (D) Total chlorophyll content. Different letters depict statistically significant changes (p ≤ 0.05, LSD test) and error bars depict standard error.
Effect of biochar on fruit physical characteristics
Biochar treatments (Fig. 3A–F) significantly enhanced key physical attributes of the Valencia orange fruit, including weight, volume, height, firmness, and juice weight. Notably, while these parameters increased, the fruit’s specific gravity decreased compared to the untreated control. This positive impact was consistent across both growing seasons studied. Furthermore, a clear trend emerged: higher biochar concentrations correlated with greater improvements in these fruit characteristics. These findings align with existing research on biochar application in citrus cultivation. Our results indicate that a biochar application rate of 6.0 kg/tree/year (T4) yielded the best results for all measured fruit physical parameters compared to other treatments and the control group. This suggests a specific application rate is crucial for maximizing the benefits of biochar.
Effect of biochar soil application on some of fruit physical properties of Valencia orange trees during 2023 and 2024 seasons. T1: control, T2: Biochar at a rate of 2.0 kg/tree/year, T3: Biochar at a rate of 4.0 kg/tree/year, T4: Biochar at a rate of 6.0 kg/tree/year, (A) fruit weight, (B) fruit volume, (C) fruit height, (D) fruit firmness, (E) juice weight and (F) specific gravity. Different letters depict statistically significant changes (p ≤ 0.05, LSD test) and error bars depict standard error.
Effect of biochar on fruit yield
Figure 4A and B illustrates the impact of biochar treatments on Valencia orange fruit yield. Our study revealed that all biochar treatments significantly increased fruit production compared to the control, with the total fruit yield increasing by 21.5% over the control (Fig. 3B). This higher yield directly correlates with a greater number of fruits retained per tree at harvest. The most significant yield increase occurred with the biochar treatment at 6.0 kg/tree/year (T4), outperforming both the control and other biochar concentrations. This yield increase compared to the control was statistically significant. Our results also demonstrated a clear trend: higher biochar concentrations led to greater percentage increases in yield. Over two seasons, the percentage yield increase in Valencia oranges progressively rose with increasing biochar application. In the first season, increases were 52.9% (T2), 69.0% (T3), and 73.3% (T4). The second season saw increases of 47.7%, 59.9%, and 67.9% for T2, T3, and T4, respectively, compared to the control. These findings align with previous research.
Effect of biochar soil application on some of fruit physical properties of Valencia orange trees during 2023 and 2024 seasons. T1: control, T2: Biochar at a rate of 2.0 kg/tree/year, T3: Biochar at a rate of 4.0 kg/tree/year, T4: Biochar at a rate of 6.0 kg/tree/year, (A) fruit yield and fruit yield increasing percentage. Different letters depict statistically significant changes (p ≤ 0.05, LSD test) and error bars depict standard error.
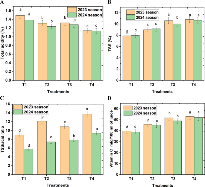
Effect of biochar application on fruit chemical properties
The results presented in Fig. 5A–D show that applying biochar to soil significantly reduces total acidity (%) in citrus fruits. In contrast, biochar treatments increased the total soluble solids (TSS%), TSS/acid ratio, and vitamin C content in Valencia orange juice at harvest compared to the untreated control across both study seasons, with vitamin C concentration increasing by 12–18% (Fig. 5D). Especially, biochar concentrations of 3% and 5% notably enhanced fruit quality in Kinnow mandarin, aligning with findings from previous research26. Similarly, biochar treatment proved effective in improving the fruit quality of Satsuma mandarin6. Biochar application improves citrus juice quality through several mechanisms. These include enhancing soil properties, boosting nutrient availability, and fostering microbial diversity. These improvements contribute to better fruit development and more desirable quality attributes. As highlighted by Shani et al.26, biochar’s ability to supply essential nutrients to citrus plants directly impacts juice volume and other critical juice quality parameters, including ascorbic acid levels.
Effect of biochar soil application on some of fruit chemical properties of Valencia orange trees during 2023 and 2024 seasons. T1: control, T2: Biochar at a rate of 2.0 kg/tree/year, T3: Biochar at a rate of 4.0 kg/tree/year, T4: Biochar at a rate of 6.0 kg/tree/year, (A) total acidity (%), (B) TSS (%), (C) TSS/acid ratio and (D) vitamin c. Different letters depict statistically significant changes (p ≤ 0.05, LSD test) and error bars depict standard error.
Discussion
The results of this study demonstrate that biochar application significantly improved leaf nutrient content, chlorophyll levels, fruit yield, and quality in Valencia orange trees. Soil amendments with biochar at 6 kg/tree/year produced the most pronounced effects, increasing leaf nitrogen, phosphorus, and potassium by 18.7%, 22.5%, and 35.4%, respectively compared to the control (Fig. 2A–C). These enhancements in nutrient status were accompanied by a significant increase in leaf chlorophyll content (SPAD values increased by 16.3%, Fig. 2D), reflecting improved photosynthetic capacity, which likely contributed to the observed yield and fruit quality improvements.
Fruit yield responded positively to biochar application, with the 6 kg/tree/year treatment increasing total fruit yield by 21.5% over the control (Fig. 3). Fruit physical characteristics, including weight and volume, were significantly enhanced, consistent with findings in other fruit crops where biochar improved fruit development by increasing nutrient availability and water retention5;6. The increase in fruit size and weight may be attributed to enhanced cell expansion, driven by better nutrient supply and photosynthetic efficiency26,27.
Biochar also improved fruit chemical quality. Total soluble solids (TSS), juice content, and vitamin C concentration increased by 12–18% compared to control trees (Fig. 5B and D), while total acidity decreased, resulting in higher TSS/TA ratios. These improvements correlate with increased soil and leaf P and K concentrations, supporting previous reports that higher P and K levels enhance sugar accumulation and reduce acidity in citrus fruits28. Biochar’s effects may also be mediated through interactions with the citrus microbiome, influencing carbohydrate metabolism and nutrient signaling29.
The findings of this study align with previous research showing that biochar enhances nutrient uptake, soil fertility, and fruit quality in citrus and other perennial fruit crops10,30,31. Importantly, our study provides novel insights for Valencia orange trees under the sandy soil and subtropical conditions of El Salheya, Egypt, highlighting the consistency of biochar effects across two consecutive growing seasons.
It could be conclusion, these results demonstrate that biochar at 6 kg/tree/year is an effective soil amendment for improving leaf chemical composition, yield, and fruit quality in Valencia oranges. Adoption of biochar in citrus orchards could reduce reliance on synthetic fertilizers, improve water use efficiency, and enhance fruit marketability, supporting sustainable citrus production in Egypt.
Conclusions
In conclusion, the application of biochar as a soil amendment significantly improved the performance of Valencia orange trees under the conditions of El Salheya, Egypt. The treatment enhanced leaf nitrogen, phosphorus, and potassium contents by 18.7%, 22.5%, and 35.4%, respectively, and increased total chlorophyll content. Moreover, biochar application raised total fruit yield by 21.5% and improved key fruit quality parameters, including TSS, TSS/acid ratio, and vitamin C content (by 12–18%) compared to the control. The highest application rate of 6 kg tree⁻¹ year⁻¹ proved most effective across both seasons. These results confirm that biochar not only enhances nutrient uptake and fruit quality but also contributes to sustainable citrus production through better soil fertility and resource use efficiency. Further research on long-term field performance and integration with other organic amendments is recommended to optimize biochar utilization in Egyptian citrus orchards.
Data availability
The data generated and/or analysed during the current study are available per request to the corresponding author. [https://figshare.com/s/3425b23b31977e75aa83](https:/figshare.com/s/3425b23b31977e75aa83).
Abbreviations
- N:
-
Nitrogen
- P:
-
Phosphorus
- K:
-
Potassium
- TA:
-
Total acidity
- TSS:
-
Total soluble solids
References
Richa, R. et al. Citrus fruit: Classification, value addition, nutritional and medicinal values, and relation with pandemic and hidden hunger. J. Agric. Food Res. 14, 100718 (2023).
Hussain, S. B., Karagiannis, E., Manzoor, M. & Ziogas, V. From stress to success: Harnessing technological advancements to overcome climate change impacts in citriculture. CRC. Crit. Rev. Plant Sci. 42, 345–363 (2023).
Turhan, A. & Özmen, N. Effects of chemical and organic fertilizer treatments on yield and quality traits of industrial tomato. Tekirdağ Ziraat Fakültesi Dergisi. 18, 213–221 (2021).
Agegnehu, G., Nelson, P. N. & Bird, M. I. Crop yield, plant nutrient uptake and soil physicochemical properties under organic soil amendments and nitrogen fertilization on Nitisols. Soil Tillage. Res. 160, 1–13 (2016).
Sun, J. et al. Effects of Biochar on soluble sugar content in Peach seedlings. E3S Web Conf. 136, 07010 (2019).
Wu, S. et al. Biochar is superior to lime in improving acidic soil properties and fruit quality of Satsuma Mandarin. Sci. Total Environ. 714, 136722 (2020).
Ventura, M. et al. Effect of Biochar addition on soil respiration partitioning and root dynamics in an Apple orchard. Eur. J. Soil. Sci. 65, 186–195 (2014).
Zhang, M., Zhang, L., Riaz, M., Xia, H. & Jiang, C. Biochar amendment improved fruit quality and soil properties and microbial communities at different depths in citrus production. J. Clean. Prod. 292, 126062 (2021).
Zhang, C. et al. Evolution of the functionalities and structures of Biochar in pyrolysis of Poplar in a wide temperature range. Bioresour. Technol. 304, 123002 (2020).
Wei, H., Xu, C., Hawkins, B. J., Ma, L. & Jiang, L. Organic amendment and inorganic fertilization affect soil properties and quality of larix olgensis bareroot stock. New Forest. 43, 155–168 (2012).
Alkharabsheh, H. M. et al. Biochar and its broad impacts in soil quality and Fertility, nutrient leaching and crop productivity: A review. Agronomy 11, 993 (2021).
Weber, K. & Quicker, P. Properties of Biochar. Fuel 217, 240–261 (2018).
Pariyar, P., Kumari, K., Jain, M. K. & Jadhao, P. S. Evaluation of change in Biochar properties derived from different feedstock and pyrolysis temperature for environmental and agricultural application. Sci. Total Environ. 713, 136433 (2020).
Gabhane, J. W., Bhange, V. P., Patil, P. D., Bankar, S. T. & Kumar, S. Recent trends in Biochar production methods and its application as a soil health conditioner: a review. SN Appl. Sci. 2, 1307 (2020).
Choi, J. H., Kim, S. S., Ly, H. V., Kim, J. & Woo, H. C. Effects of water-washing Saccharina Japonica on fast pyrolysis in a bubbling fluidized-bed reactor. Biomass Bioenerg. 98, 112–123 (2017).
Zheng, X. et al. The effects of Biochar and its applications in the microbial remediation of contaminated soil: A review. J. Hazard. Mater. 438, 129557 (2022).
Wood, C. W., Reeves, D. W. & Himelrick, D. G. Relationships between chlorophyll meter readings and leaf chlorophyll concentration, N status, and crop yield: A review. 9.
Jackson, G. D. & Sims, J. R. Comprehensive nitrogen fertilizer management model for winter Wheat1. Agron. J. 69, 373–377 (1977).
Brown, J., Lilleland, O. & Jackson, R. Further notes on the use of flame methods for the analysis of plant material for potassium, calcium, magnesium and sodium. In Proceedings. American Society for Horticultural Science 56 12–22. (American Society for Horticultural Science, 1950).
Murphy, J. & Riley, J. P. A modified single solution method for the determination of phosphate in natural waters. Anal. Chim. Acta. 27, 31–36 (1962).
Thomas, R. L., Sheard, R. W. & Moyer, J. R. Comparison of conventional and automated procedures for Nitrogen, Phosphorus, and potassium analysis of plant material using a single Digestion1. Agron. J. 59, 240–243 (1967).
Paez, V. et al. AOAC SMPR® 2016.002. J. AOAC Int. 99, 1122–1124 (2016).
Ridgman, W. J. & Snedecor, G. W. Statistical Methods, 8th edn, by & W. G. Cochran. xx + 503. Ames: Iowa State University Press $(1989). 44.95 (hard covers). ISBN 0 8138 1561 6. J. Agric. Sci. 115, 153–153 (1990).
Stern, R. Review of co-stat-statistical software. 27, 87 (1991).
Ding, Z. et al. Effects of Biochar on soil organic carbon mineralization in citrus orchards. Sustainability 16, 9967 (2024).
Shani, M. Y. et al. Nano-Biochar suspension mediated alterations in Growth, Physio-Biochemical activities and nutrient content in wheat (Triticum aestivum L.) at the vegetative stage. Plants 13, 2347 (2024).
Zhao, Z. et al. Removal performance, mechanisms, and influencing factors of Biochar for air pollutants: a critical review. Biochar 4, 30 (2022).
Arshad, I. et al. Enhancing fruit retention and juice quality in ‘Kinnow’ (Citrus reticulata) through the combined foliar application of Potassium, Zinc, and plant growth regulators. Horticulturae 10, 1245 (2024).
Xu, C. et al. Non-photosynthetic chemoautotrophic CO2 assimilation microorganisms carbon fixation efficiency and control factors in deep-sea hydrothermal vent. Sci. Total Environ. 862, 160805 (2023).
Guo, J. et al. Characterization of highly stable Biochar and its application for removal of phenol. Biomass Conv Bioref. 14, 13311–13321 (2024).
Dang, R. et al. Biochar reduces gaseous emissions during poultry manure composting: evidence from the evolution of associated functional genes. J. Clean. Prod. 452, 142060 (2024).
Acknowledgements
The authors extend their appreciation to Al-Azhar University, Cairo, Egypt for providing support for this study. And all the members at the Department of Horticulture, Faculty of Agriculture, Al-Azhar University, Cairo, Egypt.
Funding
This research was funded by Ongoing Research Funding Program (ORF-2026-334), King Saud University, Riyadh, Saudi Arabia.
Author information
Authors and Affiliations
Contributions
Authors’ contributions: Conceptualization, Abd El-wahed N. Abd El-wahed (A.N.A.), Hosny F. Abdel-Aziz (H.F.A.), Ibrahim A. Elnaggar (I.A.E.) and Ashraf E. Hamdy (A.E.H.); methodology, A.N.A., H.F.A., I.A.E. Alsayed E. Mekky A.E.M and A.E.H.; software, A.N.A., H.F.A., I.A.E., Eslam A. Seyam E.A.S. and A.E.H.; validation, A.N.A., H.F.A., I.A.E. and A.E.H.; formal analysis, A.N.A., H.F.A., I.A.E., A.E.M, E.A.S., Rasha F. El-Flaah (R.F.E.) and A.E.H. , resources, A.N.A., H.F.A., I.A.E., R.F.E., and A.E.H. data curation, A.N.A., H.F.A., I.A.E., A.E.M and A.E.H. writing—original draft preparation, A.N.A., H.F.A., I.A.E. and A.E.H. writing—review and editing, A.N.A., H.F.A., I.A.E., E.A.S., R.F.E., Mohamed H. Farouk (M.H.F), and A.E.H., visualization, A.N.A., H.F.A., I.A.E., A.E.M and A.E.H.; Funding, Adel M. Al-Saif (A.M.A.), supervision, A.M.A. and A.E.H. All authors have read and agreed to the published version of the manuscript.
Corresponding authors
Ethics declarations
Competing interests
The authors declare no competing interests.
Ethics approval and consent to participate
The authors confirmed that the institutional committee and licensing committee approved the experiments, including all relevant details and that all experiments have been performed in accordance with specified named guidelines and regulations.
Additional information
Publisher’s note
Springer Nature remains neutral with regard to jurisdictional claims in published maps and institutional affiliations.
Supplementary Information
Below is the link to the electronic supplementary material.
Rights and permissions
Open Access This article is licensed under a Creative Commons Attribution-NonCommercial-NoDerivatives 4.0 International License, which permits any non-commercial use, sharing, distribution and reproduction in any medium or format, as long as you give appropriate credit to the original author(s) and the source, provide a link to the Creative Commons licence, and indicate if you modified the licensed material. You do not have permission under this licence to share adapted material derived from this article or parts of it. The images or other third party material in this article are included in the article’s Creative Commons licence, unless indicated otherwise in a credit line to the material. If material is not included in the article’s Creative Commons licence and your intended use is not permitted by statutory regulation or exceeds the permitted use, you will need to obtain permission directly from the copyright holder. To view a copy of this licence, visit http://creativecommons.org/licenses/by-nc-nd/4.0/.
About this article
Cite this article
Al-Saif, A.M., Mekky, A.E., El-wahed, A.Ew.N.A. et al. Improving leaf chemical composition, yield, and fruit quality of Valencia orange trees through biochar soil application. Sci Rep 16, 3256 (2026). https://doi.org/10.1038/s41598-025-34779-6
Received:
Accepted:
Published:
Version of record:
DOI: https://doi.org/10.1038/s41598-025-34779-6







