Abstract
The optoelectronic and biophysical properties of Piperidine with a monoclinic crystal structure are investigated under hydrostatic pressure and temperature. The full potential-linearized augmented plane wave method and the molecular docking approach are used. The exchange-correlation potentials are calculated by the Perdew-Burke-Ernzerhof generalized gradient approximation as implemented in the WIEN2k package. The results indicate that Piperidine exhibits an indirect band gap of 4.55 eV at zero pressure, confirming its insulating nature. Upon increasing the pressure to 2.76 GPa, the band gap increases to 4.85 eV. At zero pressure, the static dielectric constants in the x, y and z directions are 2.27, 2.21, and 2.30, respectively. In the ultraviolet spectral range, the main peaks of the dielectric function demonstrate a blue shift (a shift to higher energies) under pressure. Optical spectra show dielectric behavior in the ultraviolet region and metallic behavior in the extreme ultraviolet region. The maximum value of the absorption coefficient is observed in the extreme ultraviolet region. Furthermore, increasing pressure causes a sharp decrease in the ultraviolet and visible regions, accompanied by a blue shift in the absorption threshold. The obtained absorption coefficient values for Piperidine are in good agreement with experimental results. The electron energy loss spectrum indicates that the plasmon frequency increases with pressure, suggesting the potential for high-performance optoelectronic devices. Furthermore, temperature variations did not significantly affect the optical properties of the Piperidine compound. Molecular docking studies reveal that Piperidine exhibits inhibitory effects on the Beta-secretase enzyme and cannabinoid receptor in Alzheimer’s disease. The negative formation energy shows that the structure of the Piperidine compound is thermodynamically stable and will maintain its structural integrity during experimental syntheses. This stability makes it a promising candidate for pharmaceutical and industrial applications.
Similar content being viewed by others
Introduction
Research into pressure and heat-induced phases of drugs has attracted considerable attention to determine environmental factors such as the stability, efficacy, and safety of pharmaceutical compounds1. These studies aimed to develop a model to predict drug behavior under diverse conditions and to optimize formulation processes through the control of experimental and therapeutic parameters. Therefore, the effects of pressure and temperature on heterocyclic compounds can be valuable due to their significant roles in industrial applications and biological processes2. Pressure plays a decisive role in tailoring the structural, electronic, optical, mechanical, thermodynamic, and thermoelectric properties of materials. As an external parameter, pressure is a powerful tool for the development of next-generation optoelectronic and thermoelectric devices3, as it does not require chemical doping or structural modification. Piperidine is a saturated heterocyclic compound with the molecular formula (CH2)5NH. Its reactivity is reflective of the general chemistry of nitrogen. Its structure is characterized by a six-membered heterocyclic ring consisting of five methylene bridges (\(\:{\text{\--CH}}_{2}\text{\--}\)) and one amine bridge (\(\:\text{\--NH\--}\))4,5,6. Piperidine and its derivatives can mimic the function of acetylcholine at synaptic sites in the mammalian brain, thereby affecting neural mechanisms involved in the regulation of emotional behavior and sleep. Furthermore, these are essential heterocyclic compounds in both medicine and industry. Drugs such as Ritalin (Methylphenidate) and Risperidone contain a piperidine nucleus and are utilized in the treatment of conditions like attention deficit hyperactivity disorder (ADHD) and schizophrenia, respectively7.
Piperine and Piperidine are key compounds associated with black pepper; specifically, Piperine is an alkaloid isolated from Piper nigrum that functions as an NF-kappaB inhibitor, a human serum metabolite, and a common food additive. These derivatives exhibit anticancer biological activities, such as inducing ROS release, activating mitochondrial cytochrome c, promoting Bax protein release from mitochondria, and downregulating Bcl-2 protein6,8.
In Sr₃AsF₃ and Sr₃SbF₃ compounds, pressure noticeably narrows the band gap, shifts the optical response from the ultraviolet to the visible region, and improves light absorption9. In addition to its influence on electronic and optical behavior, pressure also enhances the mechanical performance of compounds, leading to improved ductility and increased hardness10,11. Moreover, pressure enhances thermodynamic stability under extreme pressure and temperature conditions. This highlights the materials’ capability for efficient thermal-to-electrical energy conversion12.
Temperature and pressure can significantly influence crystalline structure and stability of pharmaceutical compounds such as Piperidine13. Variations in temperature and pressure can affect the physical and chemical properties of drugs, including their solubility, bioavailability, and optical characteristics, thereby altering their efficacy and safety.
Additionally, studying these variations can be beneficial in the design and development of optoelectronic devices and sensors sensitive to temperature and pressure1. Density functional theory (DFT) can be employed to investigate the effects of temperature and pressure14,15 on the electronic and optical properties of the Piperidine compound. Furthermore, numerous studies have employed DFT calculations to investigate the biophysical and electro-optic properties of pharmaceutical substances, including the assessment of the biophysical properties of compounds such as metoprolol16, pyrazinamide17, and sertraline18, as well as the variations in the biophysical properties of fluorinated compounds such as ferrocene19, resveratrol20, piceatannol21, and tetrahydroaltersolanol22.
In this study, the physical properties of Piperidine under variations of hydrostatic pressure and temperature were predicted using DFT. Furthermore, the detailed interactions of Piperidine were obtained through Molecular Docking (MD) simulations, and these results were subsequently compared with the DFT predictions.
The remainder of this paper is organized as follows. Section 2 explores the theoretical methods and computation details of DFT and Molecular Docking. Section 3 presents the results obtained across three subsections. Subsection (3. I) discusses the electronic properties of Piperidine under applied hydrostatic pressure and temperature. Subsection 3. II describes the effect of increasing pressure and temperature on the optical properties of Piperidine. Subsequently, subsection 3. III presents the molecular docking results. Finally, Sect. 4 briefly concludes our findings.
Computational details
DFT calculations
Optoelectronic properties of Piperidine (C5H11N) under variation of hydrostatic pressure and temperature have been calculated by the generalized gradient approximation (GGA) in the Perdew- Burke- Ernzernhof (PBE) functional as implemented in WIEN2k package23,24. The Tran and Blaha modified Becke-Johnson potential (TB-mBJ) approach was used to obtain more accurate band gap values. The muffin-tin radii (RMT, in Bohr) of the elements C, H, and N are 1.18, 0.55, and 1.02, respectively. The cut-off parameter of RMT× Kmax = 3 is used for plane wave in the self-consistent calculations where RMT is the smallest of all atomic sphere radii and Kmax is the most significant value of plane wave. The valence and core states are separated by − 6.0 Ry and the cut-off Gmax in the plane-wave Fourier expansion is chosen 20 Bohr− 1. The total energy convergence was set to 0.0001 Ry. In the first Brillouin zone, we have used the k- points of 100 and 500 for calculation of electronic and optical spectra, respectively. The unit for the wave vector component k is inverse length (L− 1). These values were selected after careful convergence test and ensures reliable accuracy while keeping the computational cost reasonable. The lattice parameters of the monoclinic crystal structure of Piperidine with P21/c space group at the ambient conditions are a = 8.5969 Å, b = 5.21506 Å, c = 11.93271Å, α = γ = 90°, and β = 96.879° (Fig. 1). The lattice parameters under applied hydrostatic pressure and or temperature are extracted from ref13.
The optical properties can be calculated from the complex dielectric function, ε(ω), to describe the optical response of the crystal to the electromagnetic field at all energies as
Where Reε(ω) and Imε(ω) are real and imaginary parts of complex dielectric function, and α and β are related to the x-, y-, and z-directions, respectively. They are obtained from each other using the Kramers- Kronig25 relation as
And
\(\:Im{\varepsilon\:}_{\alpha\:\beta\:}\left(\omega\:\right)\) shows the direct interband transitions contributions by integration over all possible transitions from the occupied valence (νk) to the unoccupied conduction (ck) band states.
Other optical properties such as the refractive index, n(ω), reflection coefficient, R(ω), electron energy loss function, Eloss(ω), absorption coefficient, α(ω) and effective number of electrons, Neff(ω), are calculated in terms of the real and imaginary parts of the dielectric function25.
Molecular docking approach
Molecular docking of macromolecule-ligand the interaction of Beta-secretase enzyme and cannabinoid receptor CB1 with Piperidine was docked using AutoDock Vina software. Piperidine was the ligand and Beta-secretase enzyme and cannabinoid receptor CB1 were the macromolecule. Molecular docking using AutoDock Vina software, PDBQT files of macromolecules and ligand was done. The PDB files of Beta-secretase enzyme (1m4h) and cannabinoid receptor CB1 (6kqi) were downloaded from the RCSB (https://www.rcsb.org/) website. The ChemDraw and Chem3D software was used to prepare the PDB file of ligand. The PDB file of the ligand was energetically optimized. Vina uses the complex gradient optimization method in the local optimization process. The speed and accuracy of prediction of binding in this software have increased compared to other software introduced. In this step, configuration files were prepared for molecular docking. The size and location of the grid box were determined one unit. The information was registered and saved in the config file. To implement docking, a folder was assigned to each ligand containing ligand and macromolecule. The PDBQT files and config file. Finally, Autodock Vina software was used to implement the docking operation using the Command Prompt section and folder information.
Results and discussion
Formation energy and electronic properties
In addition, to evaluate the theoretical stability of the Piperidine compound (C5H11N), the formation energy given in Eq. 1, was calculated. Piperidine compound has 17 atoms in its structure. Therefore, the formation energy was normalized by dividing by 17, as:
The total energy value of Piperidine compound was obtained as -1992.24 Ry. The ground-state energies of the bulk C, H2, and N2 atoms, which are fixed in the compounds, were obtained as -151.55 Ry, -2.32 Ry, and − 434.52 Ry, respectively. Using these energy values and Eq. 1, the formation energy value of the Piperidine compound is -803.91 eV/atoms. As can be seen, the negative formation energy show that the structure of the Piperidine compound is thermodynamically stable and will maintain their structural integrity during experimental syntheses.
The electronic properties including the band structure, and the total and partial density of states of the Piperidine compound have been investigated under different pressures by GGA. The band structure outlines the energy levels of electrons and holes within the material, influencing its electronic and optical characteristics. In the valence band, the HOMO (Highest Occupied Molecular Orbital) state represents the highest energy level typically occupied by electrons in a molecule. Conversely, the LUMO (Lowest Unoccupied Molecular Orbital) state in the conduction band is the lowest energy level that is typically unoccupied and can receive electrons. The band gap value, defined as the energy difference between the HOMO and LUMO states, indicates the enough energy to excite an electron from the HOMO to the LUMO state. A larger band gap generally signifies greater stability with lower conductivity, resulting in higher activation energy for charge carriers, which is advantageous for charge transport in chemical interactions.
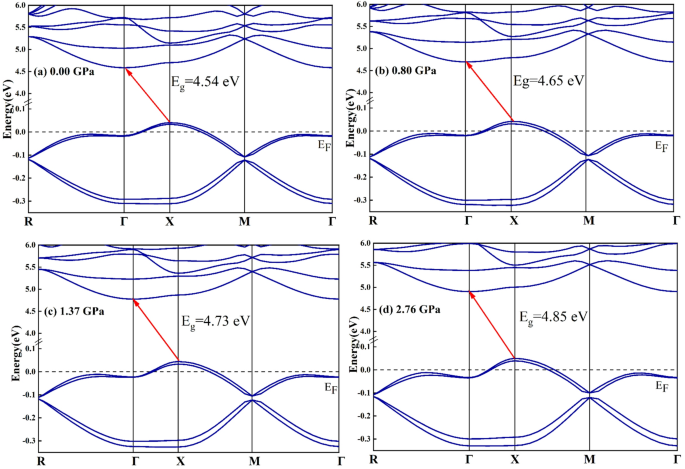
In Fig. 2, the band structure of the Piperidine compound is illustrated under zero pressure and various pressures. The line passing through zero indicates the Fermi energy level. The calculated band gap of the Piperidine compound, derived from the band structure, is 4.55 eV and indirect. So, the Piperidine is an insulator at zero pressure. With an increase in pressure up to 2.76 GPa, the band gap increases to 4.85 eV, which remains indirect. The band gap values at each pressure are reported in Table 1.
Considering the influence of temperature on the crystal structure of the Piperidine compound13, we investigated its electronic properties across a temperature range from 1.90 K to 248.34 K. Figure 3 shows the band structure of the Piperidine compound at four different temperatures. As the temperature increases from 1.90 K to 104 K, 208 K, and 248.34 K, the band gap of Piperidine slightly decreases to 4.55, 4.49, 4.48, and 4.46, respectively. Consequently, Piperidine remains an insulator with an indirect band gap, showing minimal changes in the band gap as the temperature increases.
To understand the electronic properties of crystals, it is crucial to investigate the total density of states (DOS) near the Fermi level, which illustrates the distribution of electrons across the energy spectrum. To analyze the contribution of each atom’s orbital states to the total states of a compound, it is necessary to examine the partial density of states for each atom in the compound. The electronic configuration of the atoms constituting the Piperidine compound is C: [He]2s22p2, H: 1s1, N: [He]2s22p3. Based on electronic configuration of the Piperidine compound, the total and partial DOS at zero pressure are shown in Fig. 4. The line passing through zero indicates the position of the Fermi level. The valence band, which is below the Fermi level, and the conduction band above the Fermi level, are separated by the energy gap. Regions with a density of states indicate active participation in the band structure, while regions with zero density of states show no available electron states. By comparing the density of states of individual orbitals of each atom with the total density of states of the compound, it can be determined which orbital of each atom contributes to the total density of states in each energy range.
Above the valence band (at the Fermi level), in the range from 0 to -1 eV, the p orbitals of N atoms, p orbitals of C atoms, and s orbitals of H atoms play a role. In the range from − 2 to -10 eV, the p orbitals of N atoms, p orbitals of C atoms, and s orbitals of H atoms contribute. In the ranges from − 11 to -12 eV, -14 to -16 eV, and − 18 to -19 eV, the s orbitals of N atoms, s orbitals of C atoms, and s orbitals of H atoms have a more significant role. By analyzing the significant contributions of the N-p orbital near the Fermi level and the C-p orbital in the conduction band, it can be inferred that there is a strong covalent bond between these two atoms in the Piperidine compound.
Figure 5a shows the effect of pressure on the density of states near the Fermi level. Under pressure, the energy states in the valence band and at the Fermi level remain almost constant, while those in the conduction band shift to higher energies. Consequently, as illustrated in the figure, increasing pressure results in a larger band gap due to the greater separation between the valence and conduction bands. With increasing temperature (Fig. 5b), the states in the conduction band (LUMO) shift slightly to lower energies and the states in the valence band remain unchanged. So, the changes in DOS confirms minimal changes in bandgap with increasing temperature.
It was found that the Piperidine compound has an indirect band gap of 4.55 eV at zero pressure, which increases with applying pressure, while noticeable changes cannot be seen with temperature. It can be suggested that Piperidine under pressure shows greater stability and reduced conductivity. The p orbitals of nitrogen and carbon and the s orbitals of hydrogen are significant near the Fermi level, and applied pressure changes the p orbitals of the C atom above the Fermi level, and the energy of LUMO states further.
Using the TB- mBJ method, electronic properties and density of states calculations for this system showed a band gap of approximately 8.5 eV. Consistent with GGA calculations, these results reveal that the band gap increases with pressure but decreases with temperature.
Optical properties
The study of the optical properties of solids reveals various applications, particularly in the construction of optoelectronic devices. The optical properties, including the dielectric function, absorption coefficient, reflection coefficient, refractive index, and energy loss spectrum for the Piperidine compound, have been computed.
The complex dielectric function, ε(ω,k), describes the crystal’s response to the electromagnetic field, which depend on frequency and wave vector. This function consists of two parts: the real part (Re ε) and the imaginary part (Im ε), which describe interband and intraband transitions. Intraband transitions are significant in conductive materials like metals and semimetals, while interband transitions are crucial for semiconductors and insulators. The imaginary part of the dielectric function is used to study interband transitions. Using Kramers-Kronig transformations, the real part of the dielectric function can be obtained across all frequencies by knowing the imaginary part. It has components εxx, εxy, εxz, εyy, εyz, and εzz. Due to the symmetries in the crystal structure, some of these components are zero. Because the consistent trend observed in the dielectric function changes under pressure, the optical properties at different pressures are reported only along the z-direction. Figure 6a and b show the real and imaginary parts of the dielectric function for the Piperidine compound at different pressures along the z-direction.
At zero energy, the value of the real part of the dielectric function indicates the static dielectric constant (Fig. 6a). This value for the Piperidine compound at zero pressure is 2.27, 2.21, 2.30 at the x-, y-, and z-directions. The static dielectric constant at different pressures is reported in Table 1. In the figure, it is noticeable that the static constant value slightly increases as the pressure rises. As the energy increases, peaks are observed. At zero pressure, the largest peak, corresponding to the highest level of electric polarization in the Piperidine compound, occurs at 9.61 eV in the ultraviolet region. With increasing pressure, this peak shifts to higher energies. The value of the real part of the dielectric function then decreases until it reaches negative values, indicating forbidden regions for electrons. The electromagnetic response of materials to the incident photons is described by the real part of the dielectric function Re (ε). The negative values of Re (ε) are due to the metallic-like behavior of the material. It originates from the collective oscillation of free carriers (plasmons) over inter- band transitions.
In this region, waves incident on the material are entirely reflected. In the regions where the real part of the dielectric function is negative, the material behaves like a metal. Conversely, in the regions where it is positive, the compound behaves like a dielectric. Therefore, the Piperidine compound acts as a dielectric in the ultraviolet region and behaves like a metal in the extreme ultraviolet region.
Figure 6b shows the imaginary part of the dielectric function for the Piperidine compound at different pressures. In the imaginary part of the dielectric function, the function value is zero up to a specific energy, which indicates the optical gap, corresponding to the energy gap calculated in the band structure (Table 1). The peaks represent allowed optical transitions between occupied states in the valence band and unoccupied states in the conduction band. The energies associated with these peaks correspond to the photon energy acquired by the electron participating in the optical transition. According to the graph, these transitions occur in the ultraviolet region, and as the pressure increases, the peaks shift to higher energies.
Figure 6c, d illustrate the real and imaginary parts of the dielectric function for the Piperidine compound at different temperatures. It is observed that at low energies up to 10 eV, applying temperatures from 1.09 to 248.34 does not change the real and imaginary parts of the dielectric function, and there are no significant changes at higher energies either. This trend is also observable in other optical quantities. Therefore, it can be concluded that applying temperature to the Piperidine compound does not signification affect the compound’s response to the electromagnetic wave field. In the following, we will further investigate the optical properties of the Piperidine compound under hydrostatic pressure.
Figures 7, 8 and 9 show the calculated refractive index, n(ω), reflection coefficient, R(ω), electron energy loss function, Eloss(ω), absorption coefficient, α(ω) and effective number of electrons, Neff(ω), in terms of the real and imaginary parts of the dielectric function as following:
(a) The Blue shift in absorbance spectrum of Piperidine under applied pressure. (b) The comparisons between calculated absorption coefficient and experimental results26. (c) The calculated absorption coefficient of Piperidine at the z- direction at different temperatures by GGA.
The refractive index determines how electromagnetic waves propagate in a medium (Fig. 7a). The refractive index at zero energy indicates the static refractive index (n0) equal to the square root of the static dielectric constant. The n0 for the Piperidine compound at zero pressure in all three directions are 1.51, 1.49, and 1.51. This value remains constant at different pressures. According to the graph, the refractive index in the ultraviolet region increases with rising energy, indicating the highest light scattering in this area. Then, with increasing energy, the refractive index decreases, where anomalous dispersion and absorption occur, and the refractive index at higher energies drops below 1, indicating the occurrence of superluminal phenomena. In this graph, pressure does not cause significant changes.
When electromagnetic waves interact with a material, some photons are absorbed by the material, and some are reflected. The refractive index and extinction coefficient of the material are two factors that affect its reflectivity. Figure 7b shows the reflectivity of the Piperidine compound at different pressures along the z-axis. The peaks indicate the highest reflectivity, showing that as energy increases in the ultraviolet region, reflectivity rises up to the peaks, reflecting about 24% of the incident light. In this energy range, the interactions between incident photons and conduction electrons are weaker, resulting in fewer reflected rays. In areas where reflectivity is at its peak, the compound cannot act as a transparent material. With increasing pressure, reflectivity decreases at lower energies and increases at higher energies, with the maximum reflectivity of about 25% occurring at 2.76 GPa at 24 eV.
Plasmons are fluctuations in charge density that can be excited by incoming electrons. Plasmon frequency is the frequency at which free electrons in a material oscillate. This frequency plays a crucial role in determining the optical properties of materials. The plasmon frequency can be determined from the electron energy loss spectrum (Eloss). Figure 7c shows the electron energy loss spectrum for the Piperidine compound along the z-axis at different pressures. According to the graph, no loss occurs with an increase in energy up to about 5 eV. After that, with an increase in energy up to 20 to 25 eV, the amount of Eloss reaches its maximum. The maximum value of this function for the three directions x, y, and z is approximately 2.55, 2.47, and 2.90, respectively, occurring at an approximate energy (EP) of 23.94, 24.28, and 24.11 eV, corresponding to the plasmon frequency. With increasing pressure, the intensity of the loss and the plasmon frequency increase, such that along the z-direction at the pressure of 2.76 GPa, it reaches a value of 3.42 at an energy of 25.62 eV. The values of the plasmon frequency in the x, y, and z directions at different pressures are reported in Table 1. At frequencies below the plasmon frequency, the real part of the dielectric function (Re ε) is positive. In this case, the material behaves as a dielectric, and electromagnetic waves can propagate through it. At frequencies above the plasmon frequency, the real part of the dielectric function (Re ε) becomes negative. In this case, the material behaves like a metal, preventing electromagnetic waves from propagating through it and causing them to be entirely reflected.
The number of photons absorbed per unit length indicates the absorption coefficient of a material. This coefficient is one of the evaluation criteria for using photoelectric materials. Interband absorption occurs due to the absorption of photons by electrons, where electrons are excited from the valence band to the conduction band upon absorbing photons. Figure 6d shows the absorption coefficient graph of the Piperidine compound as a function of wavelength. Initially, with increasing wavelength, no absorption occurs. According to the graph, the absorption coefficient then increases and reaches its maximum at the peaks. The maximum absorption coefficient is observed in the wavelength range of 50 to 100 nanometers, with values of 175 (104 cm− 1), 165 (104 cm− 1), and 179 (104 cm− 1) in the x-, y-, and z- directions, respectively. The peaks in the absorption coefficient, which correspond to the imaginary part of the dielectric function, indicate electronic transitions from unoccupied states in the valence band to occupied states in the conduction band. With increasing wavelength up to the ultraviolet and visible regions, absorption decreases sharply, and no absorption occurs in the visible region. Applying pressure increases the maximum absorption value. Additionally, with increasing pressure, we observe that the absorption threshold increases, resulting in a blue shift (Fig. 8a). A blue shift, which is manifested as the displacement of absorption peaks toward higher energies (shorter wavelengths), generally indicates an increase in the band gap energy. This phenomenon can be attributed to compression of lattice parameters under external pressure. The mechanism reduces the interatomic distances and consequently enhances the transition energy.
On the other hand, Fig. 8b shows that the absorption coefficient graph along the z-direction in the wavelength range of 300 to 400 nanometers is in good agreement with the data extracted from experimental measurements26. As observed, the calculated absorption coefficients match well within the wavelength range of 340 to 400 nanometers. The absorption coefficient in terms of wave length at different temperatures is illustrated in Fig. 8c. Thers is no considerable change in the absorption curve. At the inset figure is observed that with an increase in temperature, the threshold energy slightly decreases, or in other words, a red shift occurs, which confirms the results derived from the DOS and the electronic structure. Red shift corresponds to the movement of spectral features toward lower energies (longer wavelengths), which signifies a decrease in the band gap. This behavior can arise from lattice expansion or thermally induced narrowing of the band gap.
Overall, the competition between these mechanisms determines whether the optical spectrum exhibits a red or blue shift under external perturbations. Our results demonstrate that the studied materials show a clear trend of blue or red shift with increasing pressure or decreasing temperature, which is consistent with previous experimental reports26.
In Fig. 9, by comparing the changes in the number of effective electrons in optical transitions due to applying pressure and temperature, it can be concluded that increasing pressure reduces the number of effective electrons. In contrast, increasing temperature does not cause significant changes in the number of electrons.
Docking results
The results of this study were showed that Piperidine can interact with both macromolecules: enzyme and receptor. Based on Table 2; Fig. 10 the best binding energy of the Piperidine with enzyme and receptor interactions is -3.5 and − 3.6 kcal/mole respectively. The obtained binding energies confirm the DFT results. These energies correspond to the values of -0.15 and − 0.16 eV on the density of states curve near the Fermi level, where active electrons are present to participate in the reaction. This confirms that the pyridine compound interacts with other molecules at these energy levels. Piperidine exhibited docking binding energies of − 3.5 kcal/mol with the enzyme and − 3.6 kcal/mol with the receptor, reported separately. The discussion regarding their relative strengths and biological relevance confirms that Piperidine establishes stable interactions with both macromolecules.
Rather than performing a direct one-to-one comparison with the DOS values, we clarified that the Density of States (DOS) analysis offers a qualitative insight into the availability of electronic states near the Fermi level, which may facilitate molecular interactions. Specifically, the observed DOS peaks near − 0.15 and − 0.16 eV signify the presence of active electronic states, thereby qualitatively supporting the possibility of favorable binding.
Conclusion
First-principles DFT calculations, coupled with molecular docking analysis, were employed to systematically investigate the structural, electronic, optical, and biological properties of Piperidine under hydrostatic pressure and varying temperatures. Our electronic structure analysis revealed that Piperidine is an insulator with an indirect band gap of 4.55 eV at zero pressure. The band gap increases to 4.85 eV at 2.76 GPa, indicating enhanced stability and reduced electrical conductivity. The density of states analysis confirmed the dominant role of N–p, C–p, and H–s orbitals near the Fermi level. Applied pressure shifts the conduction states toward higher energies, while by increasing temperature slightly the band gap narrows, without altering the insulating nature. Optical studies showed that Piperidine exhibits dielectric behavior in the ultraviolet region and metallic behavior in the extreme ultraviolet range. By increasing pressure, a blue shift is observed in the absorption edge and an increase in the absorption coefficient, while the dielectric constant and refractive index exhibited slight enhancements. The plasmon energy also increased with pressure, suggesting stronger charge density fluctuations. These findings highlight Piperidine’s potential for ultraviolet optoelectronic applications. Molecular docking results demonstrated that Piperidine interacts effectively with both the Beta-secretase enzyme and cannabinoid receptor, showing similar inhibitory activity. This suggests that Piperidine may have potential as a supportive compound in Alzheimer’s disease therapy. In summary, Piperidine exhibits robust structural, electronic, and optical stability under varying temperature and pressure, without undergoing phase transitions or degradation. Its combined physical and biological stability makes it a promising candidate for both optoelectronic devices and pharmaceutical applications.
Data availability
The datasets used and analyzed during the current study are available from the corresponding authors on reasonable request.
References
Fabbiani, F. P. & Pulham, C. R. High-pressure studies of pharmaceutical compounds and energetic materials. Chem. Soc. Rev. 35 (10), 932–942 (2006).
Kabir, E. & Uzzaman, M. A review on biological and medicinal impact of heterocyclic compounds. Results Chem. 4, 100606 (2022).
Hosen, A., Islam, M. R. & Badhan, S. H. Exploring the influence of pressure-induced semiconductor-to-metal transition on the physical properties of cubic perovskites FrXCl3 (X = Ge and Sn). Heliyon. 10 (7), e27581 (2024).
Haider, S. et al. Emerging pharmaceutical uses of piperidine, pyrrolidine, and its derivatives. World J. Pharm. Res. 3 (7), 2277–7105 (2014).
Sanap, P. T. Review on piperidine and pyrazine containing molecules having different pharmacological activities. (2021).
Mitra, S. et al. Anticancer applications and Pharmacological properties of piperidine and piperine: a comprehensive review on molecular mechanisms and therapeutic perspectives. Front. Pharmacol. 12, 772418 (2022).
Naicker, L. Pharmacological screening of synthetic piperidine derivatives 2016.
Adibah, K. Z. M. & Azzreena, M. A. Plant toxins: alkaloids and their toxicities. GSC Biol. Pharm. Sci. 6 (2), 21–29 (2019).
Hasan, M. et al. A comprehensive analysis of structural, electronic, optical, mechanical, thermodynamic, and thermoelectric properties of direct band gap Sr3BF3 (B = As, Sb) photovoltaic compounds: DFT-GGA and mBJ approach. Inorg. Chem. Commun. 171, 113607 (2025).
Al Yeamin, M. et al. Study on pressure-induced band gap modulation and physical properties of direct band gap Ca3NX3 (X = Cl, Br) for optoelectronic and thermoelectric applications. Surf. Interfaces. 56, 105559 (2025).
Abdulhussein, H. A. et al. B. A comprehensive analysis of the structural, phonon, electronic, mechanical, optical, and thermophysical properties of cubic Ca3SbX3 (X = Cl, Br): DFT-GGA and mBJ studies. Mater. Sci. Semiconduct. Process. 187, 109133 (2025).
Hossain, M. A. et al. Investigation of the physical properties and pressure-induced band gap tuning of Sr3ZBr3 (Z = As, Sb) for optoelectronic and thermoelectric applications: A DFT-GGA and mBJ studies. Results Eng. 24, 103340 (2024).
Budd, L. E., Ibberson, R. M., Marshall, W. G. & Parsons, S. The effect of temperature and pressure on the crystal structure of piperidine. Chem. Cent. J. 9, 1–5 (2015).
Azadparvar, M., Rahnamaye Aliabad, H. A. & Özdemir, E. G. Optoelectronic and thermoelectric properties of Sb2S3 under hydrostatic pressure for energy conversion. AIP Adv. 13 (6), 065218 (2023).
Aliabad, H. R., Amani, M., Azadparvar, M., Arzefooni, A. A. & Sadati, S. Z. Structural and optoelectronic properties of three different phases of Zn2V2O7 compound under pressure: FP-LAPW approach. Phys. B: Condens. Matter. 690, 416257 (2024).
Birjand, S. R., Sabbaghzadeh, R., Azadparvar, M. & Aliabad, H. A. Comparative bioengineering and optoelectronic properties of Metoprolol by DFT, molecular docking, and molecular dynamic approaches. AIP Adv. 14 (9), 095001 (2024).
Rahnamaye Aliabad, H. A. et al. First principle study of the optoelectronic properties of Pyrazinamide drug. Opt. Quant. Electron. 55 (8), 714 (2023).
Aliabad, H. R., Mahdavi, B., Azadparvar, M., Golestani, R. & Choopani, Z. DFT study of Sertraline hydrochloride antidepressant drug. J. Mol. Model. 29 (5), 144 (2023).
Rahnamaye Aliabad, H. A., Tayebee, R. & Boroumand Khalili, M. Ab initio studies of optoelectronic properties of fluorine-substituted ferrocene. Res. Chem. Intermed. 42, 3743–3761 (2016).
Azadparvar, M., Aliabad, H. R., Rezaei-Seresht, E. & Mirzaei, M. Effect of fluorine substitution on the Photobiological and electronic properties of Resveratrol crystal structure: A first-principles study. J. Photochem. Photobiol., A. 429, 113941 (2022).
Azadparvar, M., Aliabad, H. R., Rezaei-Seresht, E., Ahmad, I. & Sharafi, H. Fluorine derivatives of Piceatannol for Photobiological and photophysical applications by DFT approach. Chem. Phys. Lett. 828, 140732 (2023).
Azadparvar, M., Kheirabadi, M. & Aliabad, H. R. Fluorinated derivatives of Tetrahydroaltersolanol molecule on COVID-19, HIV, and HTLV protease by DFT and molecular Docking approaches. J. Mol. Model. 28 (11), 350 (2022).
Blaha, P. et al. WIEN2k: an APW + lo program for calculating the properties of solids. J. Chem. Phys. 152, 7 (2020).
Perdew, J. P., Burke, K. & Ernzerhof, M. Generalized gradient approximation made simple. Phys. Rev. Lett. 77 (18), 3865 (1996).
Ambrosch-Draxl, C. & Sofo, J. O. Linear optical properties of solids within the full-potential linearized augmented Planewave method. Comput. Phys. Commun. 175 (1), 1–4 (2006).
Pickett, L. W., Corning, M. E., Wieder, G. M., Semenow, D. A. & Buckley, J. M. The vacuum ultraviolet spectra of Cyclic compounds III amines. J. Am. Chem. Soc. 75, 1618–1622 (1953). (NIST Chemistry WebBook https://webbook.nist.gov/chemistry)
Acknowledgements
The authors are grateful to P. Blaha (Vienna University of Technology, Austria) for his technical assistance in using the Wien2k code.
Author information
Authors and Affiliations
Contributions
H. A. Rahnamaye Aliabad and Reihaneh Sabbaghzadeh wrote the main manuscript text, and Maliheh Azadparvar and Nahid Doulatpour prepared the figures, and they have performed DFT and MD simulations. All authors reviewed the manuscript.
Corresponding authors
Ethics declarations
Competing interests
The authors declare no competing interests.
Additional information
Publisher’s note
Springer Nature remains neutral with regard to jurisdictional claims in published maps and institutional affiliations.
Rights and permissions
Open Access This article is licensed under a Creative Commons Attribution-NonCommercial-NoDerivatives 4.0 International License, which permits any non-commercial use, sharing, distribution and reproduction in any medium or format, as long as you give appropriate credit to the original author(s) and the source, provide a link to the Creative Commons licence, and indicate if you modified the licensed material. You do not have permission under this licence to share adapted material derived from this article or parts of it. The images or other third party material in this article are included in the article’s Creative Commons licence, unless indicated otherwise in a credit line to the material. If material is not included in the article’s Creative Commons licence and your intended use is not permitted by statutory regulation or exceeds the permitted use, you will need to obtain permission directly from the copyright holder. To view a copy of this licence, visit http://creativecommons.org/licenses/by-nc-nd/4.0/.
About this article
Cite this article
Doulatpour, N., Rahnamaye Aliabad, H.A., Sabbaghzadeh, R. et al. Optoelectronic properties of piperidine under hydrostatic pressure, temperature, and the companion inhibition activity by DFT and molecular docking approaches. Sci Rep 16, 4679 (2026). https://doi.org/10.1038/s41598-025-34873-9
Received:
Accepted:
Published:
Version of record:
DOI: https://doi.org/10.1038/s41598-025-34873-9












