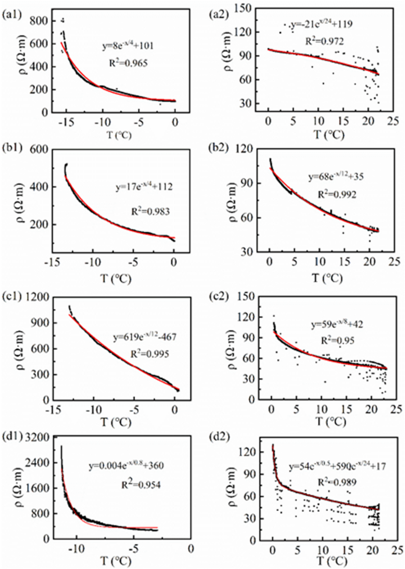
Fig. 7

Piecewise fitting relationship diagram of resistivity-temperature for soil samples with different moisture contents: (a1, b1, c1, d1) are the resistivities of soil samples with moisture contents of 5%, 10%, 15%, and 20% below 0 °C, respectively; (a2, b2, c2, d2) are the resistivities of soil samples with moisture contents of 5%, 10%, 15%, and 20% below 0 °C, respectively.