Abstract
In view of the limitations of single-point temperature measurement and single-factor analysis in soil resistivity research, this study takes the Malan loess in the southeast of the Loess Plateau in Shaanxi Province as the research object, and uses the four-electrode method to conduct dynamic monitoring of the resistivity variation process of soil samples with different dry densities and moisture contents throughout the full temperature range. By means of the grey relational degree algorithm and entropy weight method, the influence weights of each factor on the resistivity of loess are quantitatively analyzed. From both macro and micro dimensions, the coupling mechanism of temperature, moisture content and dry density on the resistivity of loess is comprehensively revealed. The experimental results show that there is a significant inflection point for the resistivity of loess near 0℃. Soil samples with high moisture content will experience a temperature plateau period lasting approximately 2 h, during which the resistivity shows a continuous downward trend. Further research has found that the influence of moisture content on resistivity near 0℃ shows an opposite effect: when the temperature is below 0℃, temperature is the primary factor affecting resistivity. As the moisture content increases, the freezing of pore water hinders ion migration, and the resistivity of the soil increases. When the temperature is above 0℃, the increase in moisture content enhances the electrical conductivity of the soil, and the resistivity shows a slow downward trend. There is a very strong correlation between temperature and the resistivity of loess, showing a significant exponential decay relationship. Furthermore, when the temperature exceeds 0℃, the unique collapsibility of loess will significantly alter the correlation between its resistivity and moisture content. An increase in moisture content leads to soil collapsibility, which in turn causes the resistivity to decrease exponentially at a slow rate. When the temperature is 0℃ and the soil is in a frozen state, the freezing of pore water hinders ion migration, causing the resistivity to increase exponentially with the increase of moisture content. Soil moisture content reshapes the electrical conductivity of soil through water phase change and affects the ion migration process. Soil dry density acts on resistivity by altering pore structure and reconstructing the current conduction path. The influence of temperature on the resistivity of soil with different dry densities shows bidirectional differences, which reveals the complex interaction relationship among various soil factors. This research achievement not only deepens the understanding of the electrical evolution law of loess, but also provides a key theoretical support for the application of resistivity tomography (ERT) technology in complex environments.
Similar content being viewed by others
Introduction
In recent years, geophysical exploration technologies have developed rapidly. Electrical Resistivity Tomography (ERT) technology, with its unique technical advantages such as non-invasiveness, low cost, fast response speed, and wide application range, has demonstrated great application potential in resource exploration (e.g., minerals, oil and natural gas, groundwater, etc.), engineering investigation (e.g., underground goafs, faults, weak strata, ground fissures, etc.), environmental monitoring (e.g., soil and groundwater pollution), etc1,2. ERT technology is widely applied in the field of soil science. By arranging electrodes on the soil surface and applying an electric current field, it measures the resistivity distribution to achieve visual imaging of the soil interior. It can monitor soil water migration, accurately capture the location and path of rainfall infiltration, determine soil moisture content, and establish resistivity reference values for different soil types3. Meanwhile, it can real-time monitor the migration and diffusion processes of pollutants, and investigate the influence mechanisms of multiple factors on pollutant migration behaviors4. Additionally, it plays a significant role in evaluating soil remediation effects and monitoring soil structure changes5, capable of analyzing key physical properties of soil, effectively monitoring dynamic changes in soil salinity, and facilitating the grasp of soil salinization degree and scope6. However, in practical applications, ERT technology is faced with many challenges that need to be solved urgently. Affected by various factors such as the accuracy limitations of measurement equipment, the high heterogeneity of soil media, the interference of complex environmental noise, and the limitations of the inversion algorithm itself, it is inevitable that the obtained resistivity data have accuracy deviations, which seriously affect the reliability of the detection results7,8. To improve the acquisition accuracy and correction effect of resistivity data, many scholars have conducted extensive research on soil properties and environmental factors affecting soil resistivity. Existing studies have shown that factors such as soil density9, porosity10, and ion concentration11,12 all have significant effects on soil resistivity. The influence of density on soil resistivity is mainly at the micro-physical mechanism level. High-density soil samples usually exhibit lower resistivity due to closer particle contact13,14. For long-term monitoring, the effect of temperature changes on soil resistivity cannot be ignored. Studies have shown that with every 10 °C change in temperature, the fluctuation range of soil resistivity can reach approximately 27%15. For instance, near the phase transition point of 0 °C, abrupt changes in soil resistivity occur16,17,18. Such resistivity anomalies caused by temperature changes are likely to be misinterpreted as structural anomalies in geological bodies, thus severely affecting the timeliness of disaster early warning and the scientificity of prevention strategies. For natural soils, under the condition of constant ion concentration, their resistivity is mainly affected by density, water content, and temperature19. Focusing on the synergistic effects of these three factors, many scholars have carried out relevant research through means such as single-point temperature measurement: Sangprasat20 used a multivariate nonlinear regression model to verify the correlation between resistivity and soil water content, plastic index, and dry density. Follow-up studies Sangprasat21 also analyzed the interactive effects of salt content and temperature. Lyu22 established a Sigmoid function relationship model between resistivity and temperature under different temperature and ionic environments. Shan23 constructed a resistivity prediction model coupling water content and dry density of frozen soil. Chen24 explored the resistivity response of phosphate tailings under the combined action of water content, dry density, and temperature. Kouchaki15 found that bulk density and saturation are the most critical parameters for identifying soil types. Although these studies have covered the influence laws of macroscopic parameters, there are obvious deficiencies in the analysis of micro-mechanisms and temperature measurement technologies: On the one hand, the quantitative analysis of micro-action mechanisms such as ion migration paths and mineral surface charge effects is relatively weak17,25. On the other hand, existing studies mostly use single-point or limited-point temperature measurement18,22, leaving a gap in the continuous temperature measurement of the 0 °C ice-water mixed interface. This makes it difficult to capture the resistivity abrupt change characteristics in the phase transition interval of -5 °C to 5 °C, resulting in the failure to systematically reveal the conduction mechanism during the ice-water mixing stage.
This experiment, by means of full-temperature-range continuous monitoring technology, has meticulously depicted the dynamic interaction between temperature and resistivity response, effectively filling the gap in temporal continuity caused by discrete data. This study systematically analyzes the complex nonlinear interactions among multi-dimensional environmental variables by integrating physical mechanisms and mathematical frameworks, while deciphering the conduction mechanisms of various factors at the microscale. This innovative study not only promotes the research on soil electrical properties to leap from “single-factor analysis” to “exploration of multi-field action mechanisms”, but also establishes a new research paradigm of “multi-dimensional collaborative analysis” in the fields of geological disaster monitoring and soil physical property prediction. This achievement not only contributes to a deep understanding of the evolution laws of soil electrical characteristics, but also provides a solid theoretical foundation and methodological support for relevant engineering applications.
Materials and methods
Test equipment and materials
Test device
To meet the experimental requirements, several cylindrical acrylic barrels were designed and fabricated, with a length of 20 cm and a radius of 3 cm. Three holes were evenly drilled on the barrel surface: two electrode holes (2 mm diameter) and one temperature measurement hole (3 mm diameter), with a spacing of 10 cm between the two electrode holes (Fig. 1c). An independently developed circuit board was used as the current transmission and testing device, capable of stably delivering constant-voltage DC power to the soil column. It measures current data with extremely high precision (1 µA) through adjustable sampling resistors, ensuring both high accuracy and excellent temporal resolution. For voltage acquisition, an ME010 six-and-a-half-digit high-precision digital voltmeter is employed, which can detect voltage changes as low as 1 µV and supports RS232 protocol for rapid data transmission to a PC via an interface. Temperature monitoring is achieved by PT100 sensors, which measure temperatures from − 50 °C to + 200 °C with a precision of 0.01 °C (Fig. 1d). To address the issue of asynchronous current and voltage data, both the current and voltage acquisition devices adopt a timestamping method for data collection, ensuring strict temporal correspondence through precise timestamp marking. The electrodes are made of red copper rods with a diameter of 1.8 mm and a length of 5 cm. The high electrical conductivity of red copper effectively reduces the electrode’s own Resistivity, avoiding inaccurate measurement data caused by excessive electrode Resistivity. This not only ensures efficient current transmission between the electrodes and soil but also significantly improves the reliability of measurement results (Fig. 1d).
Experimental process.
Test soil sample
The soil samples used in the experiment were collected from the Malan loess stratum in the southeastern part of the Loess Plateau, Shaanxi Province, China, with a sampling depth ranging from 2 to 5 m. In accordance with the current Geotechnical Test Methods Standard (GB/T 50123 − 2019)26, a series of physical property tests were conducted on the soil samples, and the measured soil parameters are shown in Table 1. Before the experiment, the collected soil samples were subjected to screening treatment, and screened through a standard sieve to a particle size of less than 2 mm. Given that the dry density of loess in the northern Shaanxi Loess Plateau ranges from 0.8 to 1.8 g/cm³ with a natural water content of 3%-24%27, soil samples with dry densities of 1.3 g/cm³, 1.5 g/cm³, and 1.7 g/cm³ were prepared, with water contents of 5%, 10%, 15%, and 20%, respectively. That is, 12 groups of soil samples with the same dry density but different moisture contents and the same moisture content but different dry densities were configured. For each combination of dry density and moisture content, 3 parallel samples were set to ensure the reliability and repeatability of experimental data. Meanwhile, each parallel sample was subjected to 2 rounds of repeated tests during the freeze-thaw resistivity monitoring process, and the average value of the valid test results was used for subsequent data analysis. During the filling process, the soil samples were layered and uniformly filled into acrylic barrels, ensuring that the density of each layer was equal to avoid measurement errors caused by density non-uniformity (Fig. 1a). After the soil samples were prepared, each sample was sealed with polyethylene film and placed in a constant temperature box (25 ± 0.5 °C) for static balance treatment. The equilibrium time is set at 48 h to ensure that the sample is relatively stable.
Test method
The experiment further investigates the influence mechanisms of soil temperature and density on resistivity based on the research of analyzing soil moisture content by high-density resistivity method. Deionized water was selected as the pore solution of samples to exclude the interference of external ions on measurement results, so that the measured resistivity changes only originate from the changes in soil self-density and temperature. High-precision temperature monitoring devices were employed to continuously record the sample temperature in real time, establishing a data foundation for investigating the quantitative relationship between temperature and resistivity. In the dynamic freezing-thawing resistivity monitoring experiment of soil (Fig. 1b), custom electrodes were vertically inserted into the center of the soil sample to ensure intimate contact with soil particles. Subsequently, the soil sample surface was sealed with plastic wrap to physically block moisture evaporation, thereby rigorously controlling the critical variable of water content. After encapsulation, the entire soil sample was placed into a low-temperature freezer, where the temperature was programmed to uniformly decrease to -15 °C and maintained constant, promoting the formation of a stable frozen state within the soil. The pre-buried electrode technique effectively prevented electrode displacement caused by soil expansion during the freezing stage. Upon complete freezing, the soil sample was promptly transferred to a 25 °C ambient environment. A multi-channel data acquisition system was utilized to synchronously monitor three key physical parameters: (1) resistivity was derived from real-time voltage and current signals collected via electrodes using Ohm’s law; (2) temperature variations during the freezing-thawing transition were recorded using a micro-thermocouple embedded in the sample’s core region.
In the measurement of soil resistivity, the classic four-electrode Wenner Method is the most widely used28. By separating the current electrodes from the measuring electrodes29, this method can effectively reduce the influence of electrode polarization effects and contact Resistivity on the measurement results30, thereby improving the accuracy and reliability of resistivity measurements. n specific operations, a constant-voltage current is applied between the two ends of electrodes a and b, while electrodes m and n are connected to a voltage measuring device. The current value I and voltage value U of the circuit are synchronously read through a serial port, and then combined with the soil resistivity calculation formula (1), the resistivity of the soil sample in the current state can be calculated.
In the formula, ρ represents the soil resistivity (Ω·m), R denotes the Resistivity of the soil sample (Ω), A is the cross-sectional area of the electrode (m²), and L is the electrode spacing (m). The resistivity of the soil sample in the current state can be calculated using this formula.
Result
By adopting the four-electrode method, we tested the resistivity of frozen soil samples with different densities and moisture contents during the thawing process at room temperature. Based on the 3 parallel samples and 2 rounds of repeated tests for each combination, valid data were screened out to eliminate abnormal values caused by accidental factors, and the resistivity changes of soils with different moisture contents and densities during the freeze-thaw process were obtained.
Given the large number of experimental groups and the high repeatability of the experimental results, presenting all data would lead to redundancy in the article. Therefore, only two sets of data were selected for presentation: one is the data of soil samples with different dry densities under the optimal moisture content (15%), and the other is the data of soil samples corresponding to the most commonly observed dry density (1.5 g/cm³).
The variation of soil resistivity with different moisture contents
Through analyzing the results of resistivity variation with temperature during the thawing process of soil samples with different moisture contents (Fig. 2), it is found that the resistivity exhibits significant inflection point characteristics around 0 °C during the thawing process, a phenomenon universal in freezing-thawing cycles: when the soil sample is heated from the frozen state to 0 °C, the resistivity decreases rapidly, while the decline rate significantly slows down when the temperature continues to rise after complete thawing. For soil samples with 10% and 15% moisture contents, obvious temperature plateaus (ice-water mixed phase stage) occur at 0 °C during thawing (Stage Ⅱ in Fig. 2). At this time, the soil temperature remains constant, and solid-liquid phase transition of pore water occurs. The phase transition of the 15% moisture content sample lasts about 34 min, and that of the 10% moisture content sample lasts about 25 min. This stage is not observed in the 5% moisture content sample due to the excessively low ice content. Although the temperature remains constant during the ice-water mixed phase stage, the resistivity continues to decrease.
Results of the resistivity of loess with different moisture contents varying with temperature (ρd = 1.5 g/cm3).
Due to the differences in the thawing rates of different soil samples, their temperature-resistivity characteristics also show obvious differentiated performances within the same time. In this study, by collecting the resistivity data corresponding to every 1 °C and calculating the average value, the relationship curves between temperature and resistivity under different moisture contents (Fig. 3.a) and the three-dimensional relationship Figure (Fig. 3.b) among temperature, moisture content and resistivity were drawn. As shown in Fig. 3, near the temperature node of 0 °C, the influence of soil moisture content on resistivity exhibits significant differences in temperature sensitivity. When the temperature is in the low-temperature stage from − 15 °C to 0 °C, the resistivity of soils with different moisture contents shows a significant downward trend with the increase of temperature. Moreover, the higher the moisture content of the soil sample, the more obvious the decrease in resistivity. The proportional change in resistivity can reach about 50% for every 5 °C increase, and this decrease generally shows a diminishing trend. At 0 °C, the resistivity of high-moisture-content soil differs significantly from that of low-moisture-content soil, with an obvious inflection point appearing in the resistivity curve. In contrast, the inflection point characteristics of low-moisture-content soil are not very distinct. When the temperature exceeds 0 °C, the electrical resistivity of all soil samples rapidly decreases to below 100 Ω·m. Although the resistivity continues to decline with increasing temperature, the rate of decrease significantly narrows, with the resistivity changing by approximately 20% for every 5 °C increase. Further investigations reveal that the impacts of temperature and moisture content percentage on electrical resistivity exhibit significant differences across different regions. With 0 °C serving as a critical threshold, the physical laws governing water-soil-electricity interactions demonstrate distinctly divergent characteristics on either side of this threshold.
Resistivity response differences of loess with different moisture contents based on temperature changes (ρd = 1.5 g/cm3).
The variation of soil resistivity at different densities
Based on the experimentally collected resistivity data, with temperature and time as variables, the resistivity-temperature curves during the melting process of soil samples with different moisture contents were plotted (Fig. 4). Moreover, through 1℃-interval data acquisition and mean value calculation, the temperature-resistivity relationship curves were constructed (Fig. 5). The results indicate that under the same moisture content, the trends of electrical resistivity variation with temperature during the melting process of soils with different densities show a high degree of consistency. In the frozen state, there is a significant negative correlation between soil density and electrical resistivity: low-density soils exhibit higher resistivity. Notably, the soil with a density of 1.3 g/cm³ is particularly prominent in the low-temperature stage, with its resistivity value exceeding twice that of the soil with a density of 1.5 g/cm³ and more than twice that of the soil with a density of 1.7 g/cm³. As the temperature rises and exceeds 0 °C, the resistivity differences among the three density soils gradually narrow, demonstrating a distinct convergence trend. When the temperature is above 0 °C, the resistivity of the soil with a density of 1.7 g/cm³ is only approximately 50% of that of the soils with densities of 1.3 g/cm³ and 1.5 g/cm³.
Results of electrical resistivity variation with temperature during the melting process of loess with different densities (ɷ=15%).
Difference diagram of electrical resistivity response of loess with different densities based on temperature variation (ɷ=15%).
Correlation degree calculation and data fitting
Correlation degree calculation
In the process of exploring the influences of different moisture contents, densities, and temperature conditions on the electrical resistivity of loess, the grey correlation degree algorithm was employed to systematically carry out a quantitative analysis of the correlation between each influencing factor and the electrical resistivity of loess. In the study, moisture content, density, frozen-state temperature range (corresponding to temperatures below 0℃), and non-frozen-state temperature range (corresponding to temperatures above 0℃) were set as input characteristic variables, while the electrical resistivity of loess was taken as the target variable. The grey correlation degree method and entropy weight method (Formula 2–5) were comprehensively applied to analyze the weights of each influencing factor. The calculation results are shown in Fig. 6: in the temperature range below 0℃, temperature exhibits an extremely strong correlation with resistivity, occupying an absolutely dominant position, while the influences of density and moisture content on resistivity are extremely low. When the temperature is above 0℃, the correlation between temperature and resistivity remains the highest, maintaining the primary correlation. At this time, the influence of moisture content on resistivity is relatively small, and the influence degree of density is the lowest.
Where \(\:{p}_{\text{ij}}\) is the proportion index of the j-th indicator for the i-th data, \(\:{e}_{j}\) is the entropy value of the j-th indicator, \(\:{g}_{i}\) is the difference coefficient of the j-th indicator, and \(\:{w}_{j}\) is the weight of the j-th indicator.。.
(a) Correlation analysis diagram of temperature, density, moisture content and resistivity below 0℃; (b) Correlation analysis diagram of temperature, density, moisture content and resistivity above 0℃.
Data fitting
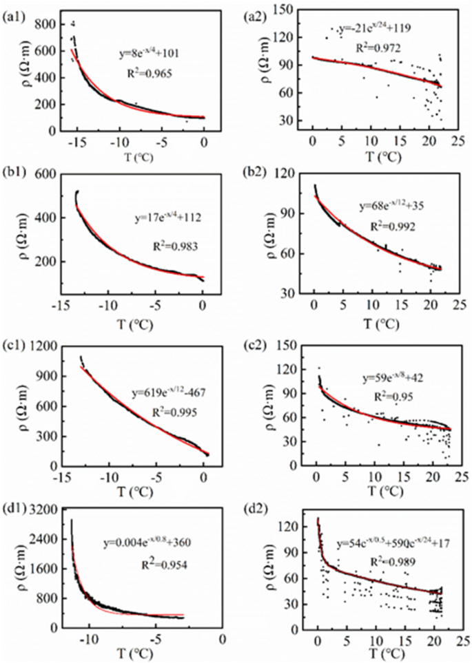
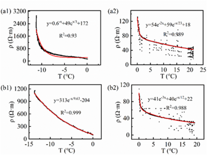
Considering that the soil resistivity is extremely sensitive to temperature changes, especially showing significant differences before and after the critical temperature point of 0 °C, a piecewise fitting strategy was adopted in this study to carry out the correction work for obtaining accurate temperature correction coefficients. Specifically, a mathematical model was constructed based on the exponential decay function formula (such as Formula 6), and the precise characterization of the relationship between temperature and loess resistivity was achieved through a scientific and reasonable piecewise fitting method (for the fitting results, see Figs. 7 and 8).
In Formula (6),\(\:\:\rho\:\left(T\right)\)denotes the electrical resistivity of loess at temperature T. \(\:{\rho\:}_{0}\) is a constant term, representing the basic resistivity component of loess under a certain reference state;\(\:\:{A}_{1},{A}_{2}\): are the coefficients of the exponential terms, reflecting the contribution amplitude of the corresponding exponential decay parts to the overall resistivity. B1,B2 are parameters related to temperature, influencing the decay rate of the exponential function and determining the speed of resistivity change with temperature; T stands for temperature, which is the key variable describing the change of resistivity in this formula.
The calculation shows that the coefficient of determination (R²) of each fitting curve is higher than 0.95. This excellent value intuitively indicates that there is an extremely strong linear correlation between temperature and loess resistivity, and the fitting effect is extremely ideal. The research results confirm that there is a significant exponential decay relationship between the electrical resistivity of loess and temperature, which is highly consistent with the findings in existing literature. For instance, studies by Chen24, Li31, Chen32, and Tang33 have all demonstrated that under similar research conditions, soil electrical resistivity and temperature also follow an exponential decay law, fully verifying the reliability and universality of the conclusions of this study.
Piecewise fitting relationship diagram of resistivity-temperature for soil samples with different moisture contents: (a1, b1, c1, d1) are the resistivities of soil samples with moisture contents of 5%, 10%, 15%, and 20% below 0 °C, respectively; (a2, b2, c2, d2) are the resistivities of soil samples with moisture contents of 5%, 10%, 15%, and 20% below 0 °C, respectively.
Piecewise fitting relationship diagram of resistivity-temperature for soil samples with different densities: (a1, b1) are the resistivities of soil samples with densities of 1.3 g/cm³ and 1.7 g/cm³ below 0 °C, respectively; (a2, b2) are the resistivities of soil samples with densities of 1.3 g/cm³ and 1.7 g/cm³ above 0 °C, respectively.
Analysis and discussion
The influence mechanism of moisture content and temperature on resistivity
The influence of soil moisture content on resistivity is essentially a complex process in which the phase change of water reshapes the conductive properties of soil through multi-scale physicochemical mechanisms. At the micro level, when soil freezes, pore water gradually solidifies into ice due to temperature decrease, and water molecules form a regular hexagonal lattice structure34. This ice crystal network not only occupies the pore space but also firmly binds ions in the lattice gaps through hydrogen bonding, significantly reducing the activation energy for ion migration35. Studies have shown that the ion diffusion coefficient in ice is only 1/10⁴ to 1/10⁶ of that in liquid water, causing the soil’s conductivity to decay exponentially and the resistivity to surge by 2–3 orders of magnitude36. Therefore, for frozen loess, the higher the moisture content, the larger the space occupied by frozen ice crystals, the weaker the conductivity, and the greater the resistivity. The melting process exhibits reverse kinetic characteristics. As the temperature rises, water molecules on the surface of ice crystals gain sufficient energy to break free from hydrogen bond constraints and re-form liquid water with fluidity37. The appearance of liquid water provides a migratory solvent environment for ions, and the ion diffusion rate rapidly recovers, leading to a gradual recovery of soil conductivity38. The quantitative relationship between moisture content and phase transition duration essentially lies in the regulatory effect of latent heat release and absorption characteristics of water on heat transfer. When the soil moisture content is high, a large number of water molecules transform from liquid to solid during the freezing process, and the solidification latent heat of 334 kJ is released per kilogram of water, which is equivalent to constructing a “heat storage layer” inside the soil to delay the temperature drop rate. The melting process is the opposite: soils with high moisture content need to absorb more heat to break the ice crystal structure, resulting in a significant extension of the isothermal stage39. As ice continues to melt, liquid water gradually forms a connected conductive network in the pores..
It is worth noting that in the above process, the double electric layer on the surface of soil particles has a non-negligible influence on soil resistivity. The surface of soil particles is negatively charged, and when it comes into contact with pore water solution, it will attract cations in the solution, thus forming a double electric layer on the surface of soil particles40. The double electric layer is composed of a compact layer and a diffusion layer. Cations in the compact layer are firmly adsorbed by the surface charge of soil particles and hardly participate in conduction, while cations in the diffusion layer can migrate under the action of an electric field, making important contributions to soil conductivity. When the soil moisture content changes, the structure and properties of the double electric layer will also change accordingly, as shown in Fig. 9 When the moisture content is low, pore water mainly exists in the form of film water on the surface of soil particles, and the double electric layers overlap with each other at this time41. The overlapping double electric layers generate electrostatic repulsion, hindering ion migration. Meanwhile, they compress the thickness of the diffusion layer, reducing the number of migratory ions, which leads to an increase in soil resistivity. With the increase of moisture content, the amount of pore water increases, the double electric layers are diluted, the degree of overlap between them decreases, the electrostatic repulsion weakens, the thickness of the diffusion layer increases, more ions can participate in conduction, the conductivity of the soil is enhanced, and the resistivity is reduced. During the soil freezing process, the freezing of pore water restricts ions and affects the stability of the double electric layer. The formation of ice crystals compresses soil particles, altering the distance and relative position between particles, thereby influencing the structure of the double electric layer42. Some ions originally in the diffusion layer may be squeezed into the compact layer, failing to participate in conduction and further reducing the soil’s conductivity. During the melting process, with the recovery of liquid water, the double electric layer gradually restores its normal structure, and the ion migration capacity also rebounds, promoting a decrease in soil resistivity. In the ice-water mixed phase stage, although the temperature remains around 0 °C, the dynamic change in liquid water content continuously drives the decrease of resistivity by altering the thickness of the diffusion layer and compact layer of the ion double electric layer. This also explains why the resistivity shows opposite changes around 0 °C due to different moisture contents.
Schematic diagram of structural changes in soil double electric layer under different moisture contents and temperature conditions.
The influence mechanism of density and temperature on resistivity
The influence of soil density on resistivity essentially originates from the change in current conduction paths caused by variations in soil density. When soil density increases, soil particles are more closely arranged, and pore spaces significantly shrink. Such changes in the microstructure directly reshape the current conduction paths within the soil. The originally dispersed and tortuous conductive channels tend to become continuous due to the enhanced connection of the soil skeleton, making the geometric path of current conduction smoother43. The conductive process in soil relies on the migration of ions in pore water, and the changes in pore structure caused by density variations profoundly affect the ion migration paths. In soils with high density, pore water is relatively concentrated, allowing ions to migrate along shorter and more direct paths. This reduces collision losses caused by circuitous routes, significantly enhancing the efficiency of current conduction. For instance, in frozen soil environments, low-density soil has abundant pores. During freezing, a large amount of pore water freezes into ice, and the insulating network formed by ice crystals blocks the migration paths of ions, destroying the continuity of conductive channels. In contrast, high-density soil has a small pore proportion. During freezing, the “water film” near the contact points of soil particles becomes a “nanoscale channel” for ion migration, ensuring the smoothness of current transmission paths, making its resistivity much lower than that of low-density soil44. When the temperature rises and the ice layer thaws, the tight pore structure of high-density soil promotes the formation of an efficient connected network of liquid water, weakening the boundary effect of ion migration and further optimizing the current conduction path. In low-density soil, due to the dispersion of pores, the ion migration path remains tortuous and complex, and the conductivity is significantly weaker than that of high-density soil (Fig. 10). Thus, it can be seen that soil density fundamentally alters the current conduction path by changing the pore structure, thereby influencing soil resistivity, which reveals the complex relationships among multiple factors in soil.
Comparison diagram of current paths in soil particles with different densities under freeze-thaw conditions.
Thus, it can be seen that the influence of temperature on the resistivity of soils with different densities presents significant two-way differences: during the freezing stage, the resistivity of low-density soil increases sharply due to the large amount of pore water freezing, making it more sensitive to temperature; while in the unfrozen state, high-density soil, with its tight pore structure and efficient conductive channels, shows a more significant response of resistivity to temperature changes. This characteristic reveals the complex interaction relationship among soil density, pore structure, water phase change, ion migration and soil-water interaction.
The influence mechanism of density and moisture content on resistivity
Based on the comprehensive effects of temperature-moisture content and temperature-density on soil particle conductivity, the relationship among density, moisture content, temperature, and resistivity is established as follows: When the temperature of soil samples exceeds 0 °C, the resistivity demonstrates significant sensitivity to moisture content changes at the low moisture stage. As the moisture content gradually increases, the soil resistivity shows a monotonous decreasing trend, and the variation law of the two is highly consistent with the exponential function model. It is noteworthy that with the continuous increase of moisture content, the decreasing rate of resistivity gradually slows down, exhibiting typical nonlinear variation characteristics (Fig. 11).
Schematic diagram of soil resistivity at the same temperature: (a) relationship between moisture content and resistivity, (b) relationship between density and resistivity.
Studies have shown that as soil moisture content increases, hydrophilic clay minerals—abundant in loess—undergo vigorous hydration reactions with water molecules. Notably, this type of loess has a natural collapsibility moisture content threshold of 18%: when the soil’s moisture content falls below this value, the loess exhibits significant collapsibility. Therefore, the composition of the samples in this test was analyzed, and the results are shown in Table 2. The proportion of cohesive minerals in the loess reached 23.4%. Among these clay minerals, illite accounted for 65%, montmorillonite for 20%, while the proportions of kaolinite and chlorite were relatively low. These clay minerals exert a certain degree of influence on the collapsibility behavior. When loess undergoes collapsibility, the original structure between soil particles rapidly disintegrates, and the soil particles rearrange and approach each other, resulting in a decrease in pore volume and an increase in soil density. As shown in Fig. 12, the increase in soil density promotes the gradual connection of originally dispersed pores, forming a more complex and dense conductive channel network. Although the increase in pore water content enhances soil conductivity and reduces resistivity, with the advancement of the collapsibility process, when the soil density reaches a certain threshold, the soil structure tends to be dense. At this time, the further increase in pore water gradually weakens the effect of improving the conductivity, thereby making the decrease range of resistivity slow down, showing the variation characteristics of exponential function. When the soil sample is in a frozen state at 0℃, the relationship between resistivity and moisture content undergoes a significant transformation. Contrary to conventional understanding, as the moisture content increases, the resistivity of the soil sample not only fails to decrease but instead exhibits an almost twofold increase. This phenomenon is mainly attributed to the freezing of pore water into ice during soil freezing. The dielectric constant of ice (approximately 3.3) is much lower than that of liquid water (approximately 80), which significantly inhibits the dissociation and migration of ions. Meanwhile, the insulating network structure formed by ice crystals severely hinders the migration paths of ions, causing a sharp decline in soil conductivity and a substantial increase in resistivity. Additionally, during the freezing of high-moisture-content loess, a large amount of pore water condenses into ice, and the expansion of ice causes the rearrangement of soil particles, destroying the original compact structure and leading to a decrease in soil density. The formation of ice crystals not only occupies pore spaces but also reshapes the soil’s micro-porous structure, making conductive pathways tortuous and circuitous. Although soil particles are compressed by the expansion force of ice crystals, the low conductivity of ice becomes the primary obstacle to current conduction. It is analogous to setting up layers of “barriers” in the current transmission path, further exacerbating the upward trend of loess resistivity.
Diagram of soil resistivity under the combined action of density and moisture content.
Soil density plays a key regulatory role in the functional relationship among resistivity, moisture content, and temperature. An increase in moisture content triggers loess collapsibility, promoting an increase in density, and the pore structure of loess becomes more compact in a high-density state. On the one hand, this shortens the spacing between soil particles and changes the morphology of conductive channels; on the other hand, the tight pore structure helps pore water form relatively continuous conductive pathways. However, with the improvement of soil compactness after collapsibility, the promoting effect of increased pore water on conductivity is gradually limited. This study further verifies the significant influence of temperature and moisture content on the soil pore structure by carrying out mercury intrusion porosimetry tests on soil samples under different moisture contents and temperature conditions (Fig. 13).
Mercury intrusion porosimetry test diagrams of soil under different conditions.
In summary, the study of loess resistivity requires the construction of a multivariate interaction model that comprehensively considers factors such as dynamic density changes and microstructural evolution caused by soil-water interactions. Only by doing so can the interaction mechanisms among these factors be accurately analyzed, providing a solid foundation for relevant engineering applications and theoretical research.
Conclusion
This study deeply explores the influence mechanisms of soil temperature, density, and moisture content on resistivity. Through four-electrode tests, the resistivity changes of soil samples with different moisture contents and densities during the freezing-thawing process were measured, and the following research results were obtained:
-
1.
Variation Law of Resistivity: During the thawing process of soil samples, a significant inflection point in resistivity occurs around 0 °C. Soil samples with high water content exhibit an obvious temperature plateau at 0 °C, and resistivity continues to decrease during this stage. For soil samples with different water contents, the magnitude of resistivity variation differs in distinct temperature intervals, with more pronounced changes in the low-temperature stage. The resistivity variation is positively correlated with the water content, while the decline significantly narrows in the interval above 0 °C. At the same water content, the resistivity variation is inversely correlated with the water content, and the relationship between resistivity and temperature shows opposite trends before and after 0 °C. The variation trends of resistivity during thawing are basically consistent for soils with different densities. In the frozen state, the resistivity of low-density soil is significantly higher than that of high-density soil. When the temperature exceeds 0 °C, the resistivities of the three density soils gradually approach, following the relationship that “the higher the density, the smaller the resistivity”.
-
2.
Quantitative Analysis of Influencing Factors: Using the grey correlation degree algorithm and entropy weight method to conduct quantitative analysis of each influencing factor, in the temperature interval below 0 °C, temperature and resistivity show an extremely strong correlation degree, occupying an absolutely dominant correlation, while the influences of density and water content on resistivity are extremely low; when the temperature is above 0 °C, the correlation degree between temperature and resistivity is still the largest, maintaining the main correlation. At this time, the influence of water content on resistivity is relatively small, and the influence degree of density is the lowest. A piecewise fitting strategy is adopted to construct an exponential decay function model, and it is found that there is an extremely strong correlation between temperature and loess resistivity. The determination coefficients R² of the fitting curves are all higher than 0.95, and the two show a significant exponential decay relationship.
-
3.
The unique collapsibility of loess significantly affects the relationship between its resistivity and moisture content. When the temperature is above 0℃, the increase in water content promotes the hydration of hydrophilic clay minerals in loess, leading to the occurrence of collapsibility. Soil particles are rearranged, pores decrease, density increases, and connected conductive channels are formed, causing the resistivity to drop exponentially and the rate of decline to slow down. At 0℃ freezing conditions, the freezing of pore water hinders ion migration, intensifies the squeezing and repulsive effects on soil particles, and leads to a decrease in soil density. Therefore, when the moisture content increases, the resistivity doubles and grows.
-
4.
Soil moisture content reshapes soil electrical conductivity through water phase transition. As moisture content changes, the structure and properties of the electric double layer on the surface of soil particles also vary, thereby affecting ion migration and ultimately influencing soil resistivity. Soil density alters the pore structure, reconstructs the current conduction path, and impacts ion migration, which in turn changes the resistivity. The influence of temperature on the resistivity of soils with different densities shows bidirectional differences (with the threshold at 0 °C), revealing the complex interaction relationships among various soil factors.
Prospects
Our study primarily focuses on Malan loess, and the findings may have limitations in their direct application to other loess types with different genetic backgrounds (such as Lishi loess or Wucheng loess). The unique sedimentary environment and physical properties of Malan loess could result in specific responses that may not be fully representative of all loess categories. Therefore, caution should be exercised when extrapolating our conclusions to other regions or loess types. Future research should expand the scope to include multiple loess types and geographical areas to verify the generalizability of these findings.
Data availability
The datasets generated and/or analysed during the current study are not publicly available due to the fact that they contain unpublished geological characteristic parameters of the loess area and exclusive calibration data from the experimental process, which are crucial for ensuring the continuity of subsequent series of studies and protecting technical details. However, the data are available from the corresponding author (Professor Gu) on reasonable request.
References
Wunderlich, T. et al. Constraining electric resistivity tomography by direct push electric conductivity logs and vibracores: an exemplary study of the Fiume Morto silted riverbed (Ostia Antica, Western Italy)[J]. Geophysics 83 (3), B87–B103. https://doi.org/10.1190/geo2016-0660.1 (2018).
Gautier, M., Gautier, S., Cattin, R. & PyMERRY A python solution for an improved interpretation of electrical resistivity tomography images[J]. Geophysics 89 (1). https://doi.org/10.1190/geo2023-0105.1 (2024). F23-F39.
Herring, T. et al. Best practices for using electrical resistivity tomography to investigate permafrost[J]. Permafrost Periglac. Process. 34 (4), 494–512. https://doi.org/10.1002/ppp.2207 (2023).
Haas, A., Rucker, D. F. & Levitt, M. T. Investigating the effective resistivity of reinforced concrete waste storage tanks at the Hanford Site[J]. Geophysics 87 (1), B31–B43. https://doi.org/10.1190/geo2021-0187.1 (2022).
Cui, B. et al. Analysis of seepage and hysteresis effect mechanism of unsaturated loess based on resistivity test[J]. J. Hydrol. 653, 132749. https://doi.org/10.1016/j.jhydrol.2025.132749 (2025).
Ahn, Y., Han, M. & Choi, J. Monitoring the mobility of heavy metals and risk assessment in mine-affected soils after stabilization[J]. J. Hazard. Mater. 400, 123231. https://doi.org/10.1016/j.jhazmat.2020.123231 (2020).
Feng, L. et al. The general patterns of water flow in loess slope system and implications for slope geological security[J]. Sci. Total Environ. 945, 174041. https://doi.org/10.1016/j.scitotenv.2024.174041 (2024).
Parr, K., Kulesza, S. E. & Bernhardt-Barry, M. L. Modified complex electrical resistivity technique: applications to saturated and unsaturated Soils[J]. Geotech. Test. J. 47 (6), 1298–1312. https://doi.org/10.1520/GTJ20230491 (2024).
Dafalla, M. A. & AlFouzan, F. A. Influence of physical parameters and soil chemical composition on electrical resistivity: a guide for geotechnical soil profiles[J]. Int. J. Electrochem. Sci. 7 (4), 3191–3204. https://doi.org/10.1016/s1452-3981(23)13946-0 (2012).
Lee, J. K. & Shang, J. Q. Influencing factors on electrical conductivity of compacted Kaolin clay[J]. Geomech. Eng. 3 (2), 131–151. https://doi.org/10.12989/gae.2011.3.2.131 (2011).
Duan, Z. et al. New models for calculating the electrical resistivity of loess affected by moisture content and NaCl concentration[J]. Environ. Sci. Pollut. Res. 29 (12), 17280–17294. https://doi.org/10.1007/s11356-021-16971-z (2022).
Wiwattanachang, N., Vichalai, C. & Giao, P. H. Influence of calcium carbonate sludge on cement-stabilized subgrade quality as investigated by means of electrical resistivity measurements[J]. Sci. Rep. 13 (1), 19392. https://doi.org/10.1038/s41598-023-46282-x (2023).
Xu, X. et al. Effects of temperature, dry density and water content on the thermal conductivity of Genhe silty clay[J]. Results Phys. 16, 102830. https://doi.org/10.1016/j.rinp.2019.102830 (2020).
Memon, M. B. et al. Assessing soil bulk Density, plasticity Index, Porosity, and degree of saturation through electrical resistivity using correlation Analysis[J]. Malaysian J. Soil. Science, 28. (2024).
Kouchaki, B. M. et al. A laboratory investigation of factors influencing the electrical resistivity of different soil types[J]. Geotech. Test. J. 42 (4), 829–853. https://doi.org/10.1520/GTJ20170364 (2019).
Zhou, M. et al. Laboratory investigations on factors affecting soil electrical resistivity and the measurement[J]. IEEE Trans. Ind. Appl. 51 (6), 5358–5365. https://doi.org/10.1109/TIA.2015.2465931 (2015).
Sun, Q., Lyu, C. & Zhang, W. The relationship between thermal conductivity and electrical resistivity of silty clay soil in the temperature range – 20 C to 10 C[J]. Heat Mass Transf. 56, 2007–2013. https://doi.org/10.1007/s00231-020-02813-0 (2020).
Xiong, B. et al. Conductivity characteristics of landslide considering porosity, saturation, temperature and ion concentration[J]. J. Mt. Sci. 20 (8), 2133–2148. https://doi.org/10.1007/s11629-023-7908-x (2023).
Pei, X. et al. Physicochemical and index properties of loess stabilized with lime and fly Ash piles[J]. Appl. Clay Sci. 114, 77–84. https://doi.org/10.1016/j.clay.2015.05.007 (2015).
Sangprasat, K., Puttiwongrak, A. & Inazumi, S. Comprehensive analysis of correlations between soil electrical resistivity and index geotechnical properties[J]. Results Eng. 23, 102696. https://doi.org/10.1016/j.rineng.2024.102696 (2024).
Sangprasat, K., Puttiwongrak, A. & Inazumi, S. Review of correlations between soil electrical resistivity and geotechnical Properties[J]. Geosciences 15 (5), 166. https://doi.org/10.3390/geosciences15050166 (2025).
Lyu, C. et al. Effects of NaCl concentration on electrical resistivity of clay with cooling[J]. J. Appl. Geophys. 170, 103843. https://doi.org/10.1016/j.jappgeo.2019.103843 (2019).
Shan, W. et al. A model for the electrical resistivity of frozen soils and an experimental verification of the model[J]. Cold Reg. Sci. Technol. 119, 75–83. https://doi.org/10.1016/j.coldregions.2015.07.010 (2015).
Chen, Y. et al. Laboratory investigation of the relationship between electrical resistivity and geotechnical properties of phosphate tailings[J]. Measurement 126, 289–298. https://doi.org/10.1016/j.measurement.2018.05.095 (2018).
Chen, B. et al. Study of the low-temperature responses of the resistivity and P-wave velocity of the loess–red clay composite[J]. Bull. Eng. Geol. Environ. 84 (3), 153. https://doi.org/10.1007/s10064-025-04151-z (2025).
Ministry of Housing and Urban-Rural & Development, P. R. C. GB/T 50123 – 2019 Standard for Test Methods of Soil Engineering [S] (China Planning, 2019).
Hao, Y., Wang, T. & Wang, J. Structural properties of unsaturated compacted loess for various sample moisture contents[J]. Arab. J. Geosci. 12, 1–10. https://doi.org/10.1007/s12517-019-4421-1 (2019).
Kalinski, R. J. & Kelly, W. E. Electrical-resistivity measurements for evaluating compacted-soil liners[J]. Journal Geotech. Engineering, 120(2): 451–457. https://doi.org/10.1061/(ASCE)0733-9410(1994)120:2(451) (1994).
Farkhondeh, M. et al. Transport property measurement of binary electrolytes using a four-electrode electrochemical cell[J]. Electrochem. Commun. 67, 11–15. https://doi.org/10.1016/j.elecom.2016.02.025 (2016).
Kozhevnikov, N. O. & Antonov, E. Y. On the equivalence of the conductivity and resistivity equations in the interpretation of induced polarization data[J]. Geophys. Prospect. 69 (4), 872–877. https://doi.org/10.1111/1365-2478.13066 (2021).
Chen, C. et al. Experimental investigation of thawing behavior of saline soils using resistivity method[J]. J. Geophys. Eng. 21 (3), 854–867. https://doi.org/10.1093/jge/gxae037 (2024).
Li, J. et al. Study on Acoustic–Electric response characteristics of unsaturated loess under different moisture Content[J]. Buildings 14 (3), 819. https://doi.org/10.3390/buildings14030819 (2024).
Tang, L. et al. Measuring the content of unfrozen water in frozen soil based on resistivity[J]. Int. J. Electrochem. Sci. 15 (9), 9459–9472. https://doi.org/10.20964/2020.09.57 (2020).
Wang, S. et al. Volume change behaviour and microstructure of stabilized loess under Cyclic freeze–thaw conditions[J]. Can. J. Civ. Eng. 43 (10), 865–874. https://doi.org/10.1139/cjce-2016-0052 (2016).
Gao, Z. et al. Effect of Freeze–Thaw Action on Mesostructure of Ecological Fiber Reinforced Loess[J]. Advances in Civil Engineering, : 2216404. (2025). (1) https://doi.org/10.1155/adce/2216404 (2025).
Wang, M. et al. Chemical characteristics and reactive transport of soil salt ions in frozen soil during the freeze and thaw period[J]. J. Hydrol. 621, 129580. https://doi.org/10.1016/j.jhydrol.2023.129580 (2023).
Watanabe, K. et al. Freezing experiments on unsaturated sand, loam and silt loam[J]. Ann. Glaciol. 52 (58), 37–43. https://doi.org/10.3189/172756411797252220 (2011).
Ishiguro, M. Water, solute transport, and interfacial electric phenomena in soils[J]. Soil science and plant nutrition, 65(3): 223–227. (2019). https://doi.org/10.1080/00380768.2019.1601501
Wan, X., Lai, Y. & Wang, C. Experimental study on the freezing temperatures of saline silty soils[J]. Permafrost Periglac. Process. 26 (2), 175–187. https://doi.org/10.1002/ppp.1837 (2015).
Yuan, M. et al. Study on adhesion characteristics of Rubber–Soil interface based on electric Double-Layer and water film Theories[J]. Coatings 15 (4), 375. https://doi.org/10.3390/coatings15040375 (2025).
Jin, X. et al. A soil semi-empirical dielectric model based on the dielectric variation characteristics of an electrical double-layer solution[J]. IEEE Trans. Geosci. Remote Sens. 61, 1–18. https://doi.org/10.1109/TGRS.2023.3286342 (2023).
Mahanta, K. K., Mishra, G. C. & Kansal, M. L. Estimation of the electric double layer thickness in the presence of two types of ions in soil water[J]. Appl. Clay Sci. 87, 212–218. https://doi.org/10.1016/j.clay.2013.11.007 (2014).
Abidin, M. H. Z. et al. Soil resistivity measurements to predict moisture content and density in loose and dense soil[J]. Appl. Mech. Mater. 353, 911–917. https://doi.org/10.4028/www.scientific.net/AMM.353-356.911 (2013).
Rinaldi, V. Application of electrical resistivity for the control of water content and density in loess[J]. Adv. Unsaturated Soils. 1, 165 (2013).
Acknowledgements
we sincerely express our gratitude to the National Natural Science Foundation Key R&D Program (2023YFC3008404) and the Major Instrument Special Project of the National Natural Science Foundation (42027806) for providing valuable financial support.We would especially like to thank Dr. Shuai Li for his meticulous guidance during the paper writing process. Once again, we extend our sincere gratitude to all the institutions and individuals who have supported and assisted in this research!
Funding
This study was partially funded by the National Natural Science Foundation of China Key Research and Development Program (2023YFC3008404) and the National Natural Science Foundation of China Major Instrument Project (42027806).
Author information
Authors and Affiliations
Contributions
Yuanlong Bi conceptualized the research, designed the experiments, carried out data collection and analysis, and wrote the first draft of the manuscript. Bo Cui and Shuai Li helped refine the experimental design, gave key insights on data interpretation, and took part in revising the manuscript to enhance its intellectual content.Nannan Fan and Rongxuan Feng processed raw data, performed quality control, and organized the dataset.Tianfeng Gu managed the research budget, oversaw fund allocation across experimental materials, fieldwork, and analytical services, and ensured compliance with financial regulations.
Corresponding author
Ethics declarations
Competing interests
The authors declare no competing interests.
Additional information
Publisher’s note
Springer Nature remains neutral with regard to jurisdictional claims in published maps and institutional affiliations.
Rights and permissions
Open Access This article is licensed under a Creative Commons Attribution-NonCommercial-NoDerivatives 4.0 International License, which permits any non-commercial use, sharing, distribution and reproduction in any medium or format, as long as you give appropriate credit to the original author(s) and the source, provide a link to the Creative Commons licence, and indicate if you modified the licensed material. You do not have permission under this licence to share adapted material derived from this article or parts of it. The images or other third party material in this article are included in the article’s Creative Commons licence, unless indicated otherwise in a credit line to the material. If material is not included in the article’s Creative Commons licence and your intended use is not permitted by statutory regulation or exceeds the permitted use, you will need to obtain permission directly from the copyright holder. To view a copy of this licence, visit http://creativecommons.org/licenses/by-nc-nd/4.0/.
About this article
Cite this article
Bi, Y., Cui, B., Li, S. et al. Study on the combined influence mechanism of temperature, density and moisture content on the resistivity of loess. Sci Rep 16, 4786 (2026). https://doi.org/10.1038/s41598-025-34941-0
Received:
Accepted:
Published:
Version of record:
DOI: https://doi.org/10.1038/s41598-025-34941-0















