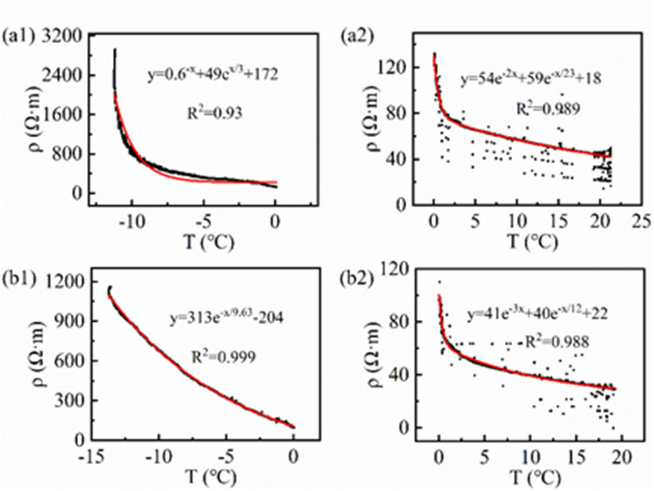
Fig. 8

Piecewise fitting relationship diagram of resistivity-temperature for soil samples with different densities: (a1, b1) are the resistivities of soil samples with densities of 1.3 g/cm³ and 1.7 g/cm³ below 0 °C, respectively; (a2, b2) are the resistivities of soil samples with densities of 1.3 g/cm³ and 1.7 g/cm³ above 0 °C, respectively.