Fig. 1

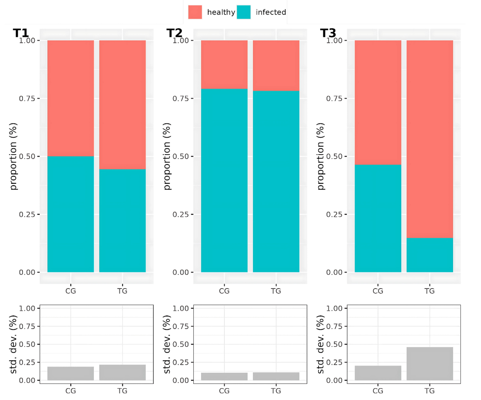
Proportion of healthy and infected udders in the TG (treatment group) and CG (control group) at T1 (dry-off), T2 (colostrum), and T3 (5–10 DIM).

Proportion of healthy and infected udders in the TG (treatment group) and CG (control group) at T1 (dry-off), T2 (colostrum), and T3 (5–10 DIM).